| ||||||||||||||||||||||||
Скачать ТССЦ Алтайский край Часть 4 Бетонные, железобетонные и керамические изделия. Нерудные материалы. Товарные бетоны и растворы. Территориальные сметные цены на материалы, изделия и конструкции, применяемые в строительствеДата актуализации: 10.08.2017
|
| Обозначение: | ТССЦ Алтайский край Часть 4 |
| Обозначение англ: | Часть 4 |
| Статус: | действует |
| Название рус.: | Бетонные, железобетонные и керамические изделия. Нерудные материалы. Товарные бетоны и растворы. Территориальные сметные цены на материалы, изделия и конструкции, применяемые в строительстве |
| Дата добавления в базу: | 21.05.2015 |
| Дата актуализации: | 05.05.2017 |
| Область применения: | Территориальные сметные цены на материалы, изделия и конструкции, применяемые в строительстве предназначены для определения сметной стоимости строительно-монтажных (ремонтно-строительных) работ, а также при разработке Территориальных единичных расценок на строительные монтажные и ремонтно-строительные работы |
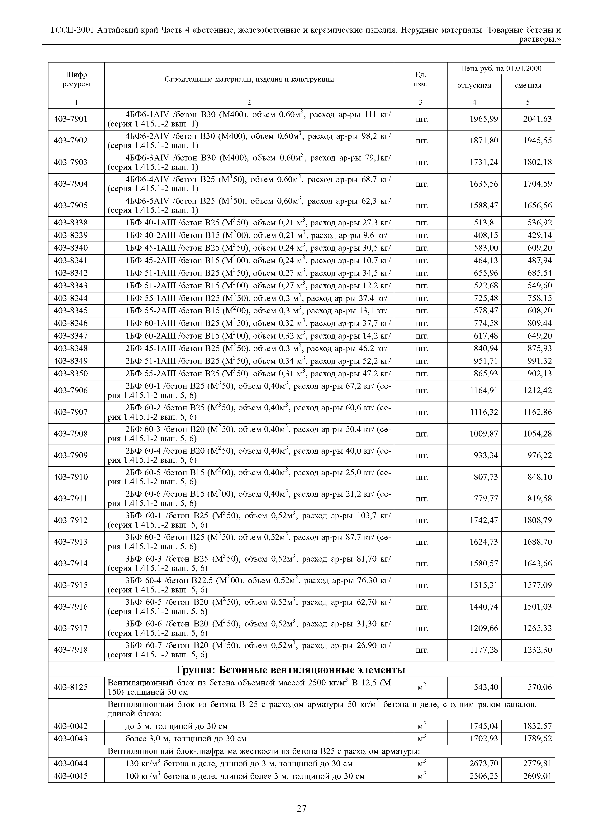
| Оглавление: | Раздел: 4.01. Бетоны Подраздел: Бетоны готовые к употреблению Подраздел: Сухие бетонные смеси Раздел: 4.02. Растворы строительные Подраздел: Растворы готовые к употреблению Подраздел: Сухие растворные смеси Раздел: 4.03. Бетонные и железобетонные изделия Подраздел: Бетонные изделия Подраздел: Железобетонные изделия Раздел: 4.04. Кирпич, камни, черепица Подраздел: Кирпич Подраздел: Камни, черепица Раздел: 4.05. Известь и гипсовые вяжущие Раздел: 4.06. Заполнители керамзитовые, шунгизитовые, аглопоритовые и другие Раздел: 4.07. Земля, глина, торф, грунт, грунтовые смеси Раздел: 4.08. Щебень, гравий, песок и смеси из природных материалов Подраздел: Щебень, гравий Подраздел: Песок Подраздел: Смеси Подраздел: Материалы из отсевов дробления изверженных и осадочных горных пород Раздел: 4.09. Щебень, песок, шлак и смеси из металлургических шлаков Раздел: 4.10. Продукция асфальтобетонная и асфальтобитумная Подраздел: Материалы Подраздел: Смеси асфальтобетонные дорожные, аэродромные и асфальтобетон Подраздел: Асфальт литой Раздел: 4.11. Вода, пар, сжатый воздух, электроэнергия Раздел: 4.12. Изделия облицовочные из природного камня Подраздел: Изделия архитектурно-строительные Подраздел: Плиты декоративные на основе природного камня Раздел: 4.13. Камни бортовые, мостовые и стеновые из природного камня Раздел: 4.14. Материалы для озеленения Раздел: 4.15. Гипсовые и цементные изделия Алфавитный указатель |
| Утверждён: | 17.01.2011 Администрация Алтайского края (Administration of Altay Territory 12) |
| Расположен в: |





















































































































































































































































































































