| ||||||||||||||||||||||||
Скачать ТССЦ Алтайский край Часть 2 Строительные конструкции и изделия. Территориальные сметные цены на материалы, изделия и конструкции, применяемые в строительствеДата актуализации: 10.08.2017
|
| Обозначение: | ТССЦ Алтайский край Часть 2 |
| Обозначение англ: | Часть 2 |
| Статус: | действует |
| Название рус.: | Строительные конструкции и изделия. Территориальные сметные цены на материалы, изделия и конструкции, применяемые в строительстве |
| Дата добавления в базу: | 21.05.2015 |
| Дата актуализации: | 05.05.2017 |
| Область применения: | Территориальные сметные цены на материалы, изделия и конструкции, применяемые в строительстве предназначены для определения сметной стоимости строительно-монтажных (ремонтно-строительных) работ, а также при разработке Территориальных единичных расценок на строительные монтажные и ремонтно-строительные работы |
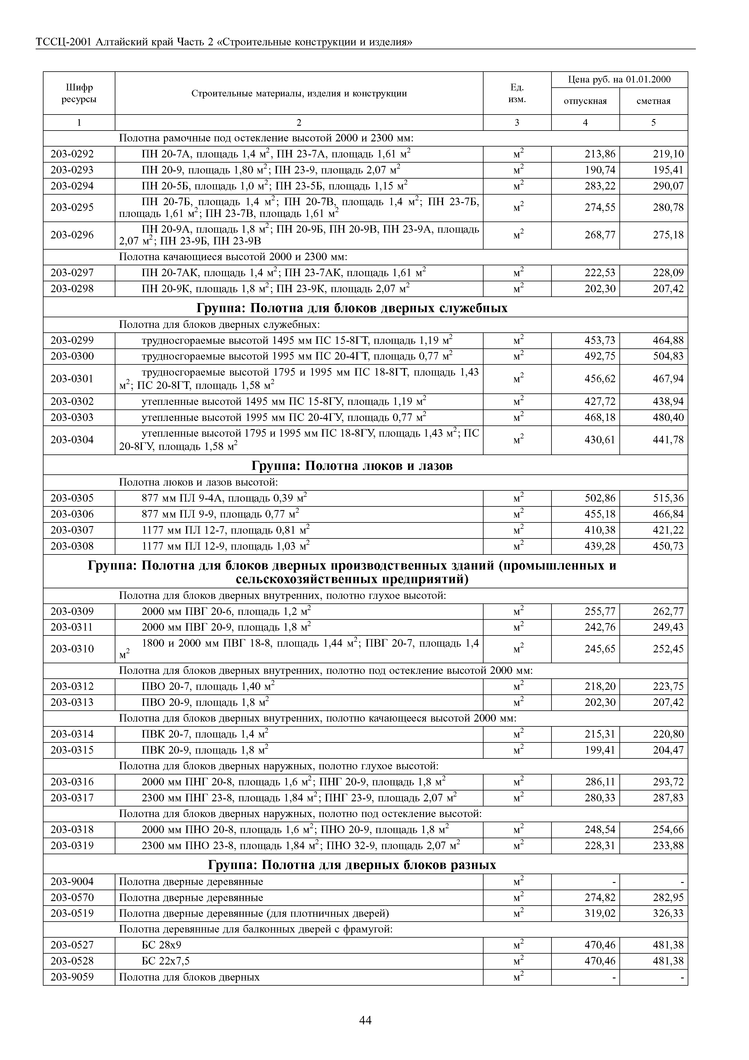
| Оглавление: | Раздел: 2.01. Стальные конструкции промышленных и сельскохозяйственных зданий, сооружений и мостов Подраздел: Конструкции легкие металлические Подраздел: Конструкции ограждающие и встроенные для производственных зданий Подраздел: Резервуарные, рулонированные, и емкости Подраздел: Строительные стальные конструкции, изготавливаемые по индивидуальным проектам (чертежам КМ) для зданий одноэтажных производственных и многоэтажных производственного и непроизводственного назначения Подраздел: Конструкции разных сооружений Подраздел: Радио и телевизионные мачты, башни, антенные устройства Подраздел: Конструкции, заказываемые и поставляемые для комплектации объектов в виде отдельных сборочных единиц Подраздел: Элементы облицовки Раздел: 2.02. Стальные конструкции гидротехнических сооружений Раздел: 2.03. Деревянные конструкции и изделия Подраздел: Блоки оконные Подраздел: Блоки дверные деревянные для жилых, общественных и производственных зданий Подраздел: Сборочные элементы оконных блоков Подраздел: Сборочные элементы дверных блоков Подраздел: Коробки оконные и дверные Подраздел: Детали профильные из древесных материалов для строительства Подраздел: Ворота деревянные распашные для производственных зданий и сооружений с полотнами из деревянных каркасов, с металлическими навесами и накладками, нижняя часть ворот защищена полосами из оцинкованной стали Подраздел: Конструкции деревянные клееные без металлических изделий Подраздел: Балки перекрытий деревянные, предназначенные для устройства чердачных, междуэтажных и цокольных перекрытий в одно- двухэтажных жилых и одноэтажных общественных зданиях Подраздел: Элементы и детали встроенных и антресольных шкафов каркасной конструкции для жилых зданий Подраздел: Разные изделия и конструкции Раздел: 2.04. Арматура товарная для железобетонных конструкций Раздел: 2.05. Литые конструкции промышленных печей и труб Раздел: 2.06. Алюминиевые конструкции Подраздел: Окна и двери балконные из алюминиевых сплавов для общественных зданий Подраздел: Двери из алюминиевых сплавов для общественных зданий Подраздел: Витражи, витрины Подраздел: Тамбуры Подраздел: Панели Подраздел: Перегородки Подраздел: Потолки подвесные Подраздел: Ограждения балконов, лоджий, лестниц Подраздел: Конструкции декоративно-облицовочные Подраздел: Конструкции и изделия прочие Алфавитный указатель |
| Утверждён: | 17.01.2011 Администрация Алтайского края (Administration of Altay Territory 12) |
| Расположен в: |














































































































































