| ||||||||||||||||||||||||||
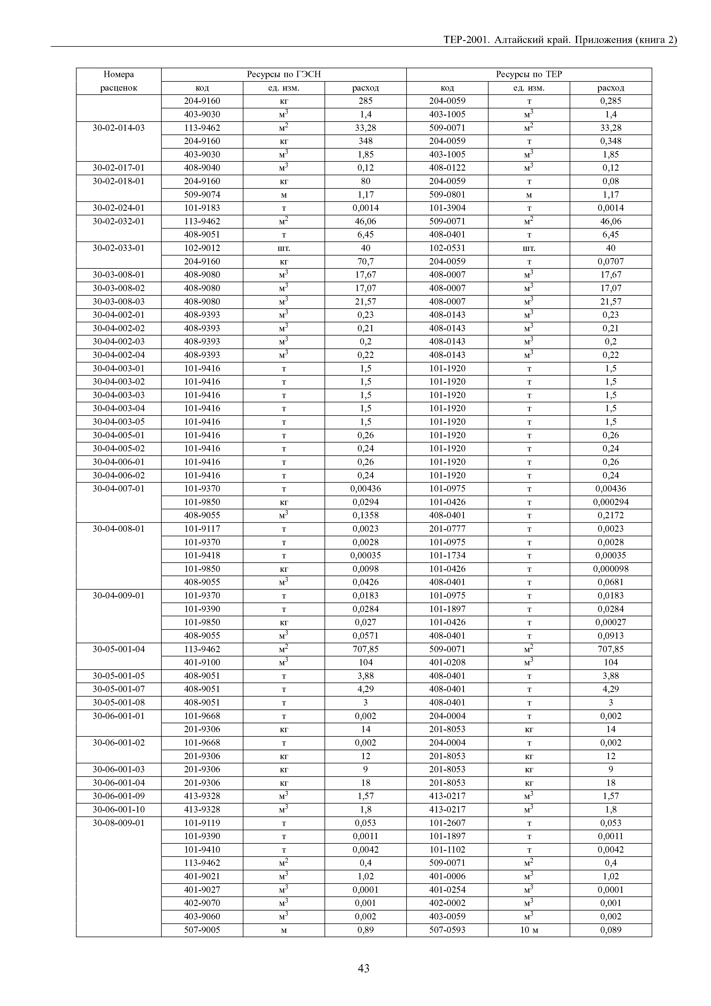
Скачать ТЕР Алтайский край 2001-Пр Приложения. Книга 2 (редакция 2011 года). Территориальные единичные расценки на строительные и специальные строительные работыДата актуализации: 10.08.2017
|
| Обозначение: | ТЕР Алтайский край 2001-Пр |
| Обозначение англ: | TER Altay Kray 2001-Пр |
| Статус: | действует |
| Название рус.: | Приложения. Книга 2 (редакция 2011 года). Территориальные единичные расценки на строительные и специальные строительные работы |
| Название англ.: | Cast-in-Place Concrete and Reinforced Concrete Structures |
| Дата добавления в базу: | 21.05.2015 |
| Дата актуализации: | 05.05.2017 |
| Область применения: | Территориальные единичные расценки на строительные и специальные строительные работы предназначены для определения затрат при выполнении строительных работ и составления на их основе сметных расчетов (смет) на производство указанных работ. |
| Оглавление: | Железные дороги Тоннели и метрополитены Мосты и трубы Аэродромы Трамвайные пути Линии электропередачи Сооружения связи, радиовещания и телевидения Горнопроходческие работы Земляные конструкции гидротехнических сооружений Бетонные и железобетонные конструкции гидротехнических сооружений Каменные конструкции гидротехнических сооружений Металлические конструкции гидротехнических сооружений Деревянные конструкции гидротехнических сооружений Гидроизоляционные работы в гидротехнических сооружениях Берегоукрепительные работы Судовозные пути стапелей и слипов Подводно-строительные (водолазные) работы Промышленные печи и трубы Работы по реконструкции зданий и сооружений Озеленение. Защитные лесонасаждения |
| Утверждён: | 17.01.2011 Администрация Алтайского края (Administration of Altay Territory 12) |
| Расположен в: |














































































































































































































































