| ||||||||||||||||||||||||||||||||
Скачать ГОСТ Р ИСО 26262-10-2014 Дорожные транспортные средства. Функциональная безопасность. Часть 10. Руководящие указания по ИСО 26262Дата актуализации: 10.08.2017
|
| Обозначение: | ГОСТ Р ИСО 26262-10-2014 |
| Обозначение англ: | GOST R ISO 26262-10-2014 |
| Статус: | введен впервые |
| Название рус.: | Дорожные транспортные средства. Функциональная безопасность. Часть 10. Руководящие указания по ИСО 26262 |
| Название англ.: | Road vehicles. Functional safety. Part 10. Guideline on ISO 26262 |
| Дата добавления в базу: | 12.02.2016 |
| Дата актуализации: | 05.05.2017 |
| Дата введения: | 01.10.2015 |
| Область применения: | Стандарт применяется к связанным с безопасностью системам, включающим в себя одну или несколько электрических и/или электронных систем, которые установлены в серийно производимых легковых автомобилях с максимальной массой (брутто) транспортного средства до 3500 кг. |
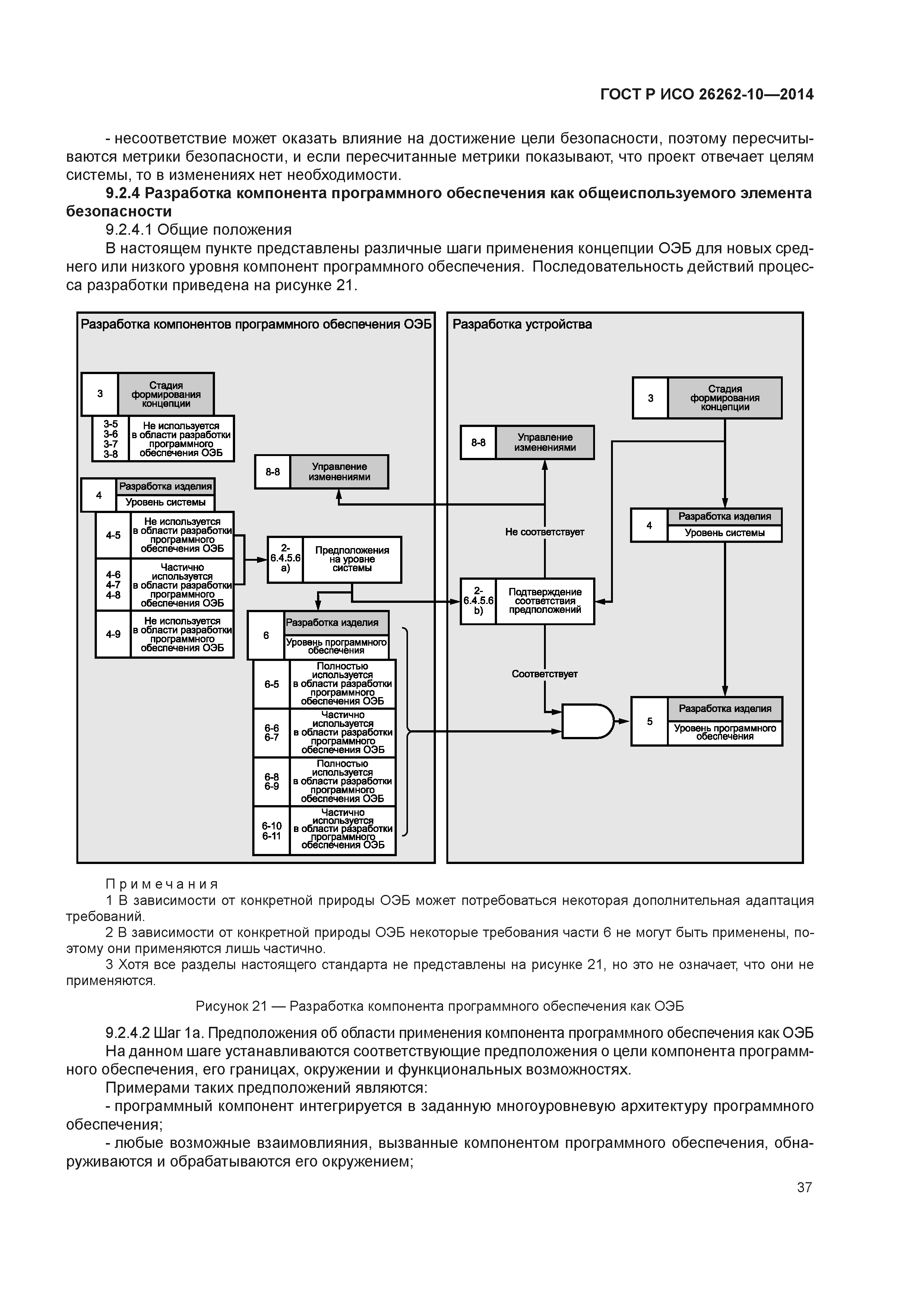
| Оглавление: | 1 Область применения 2 Нормативные ссылки 3 Термины, определения и сокращения 4 Основные понятия ИСО 26262 4.1 Функциональная безопасность систем транспортного средства (связь с МЭК 61508) 4.2 Устройство, система, элемент, компонент, часть аппаратного средства и модуль программного обеспечения 4.3 Отношения между сбоями, ошибками и отказами 5 Отдельные вопросы, связанные с управлением безопасностью 5.1 Результат работы 5.2 Меры подтверждения 5.3 Обоснования безопасности 6 Стадия формирования концепции и разработка системы 6.1 Общие положения 6.2 Пример анализа опасностей и оценки рисков 6.3 Замечания о классификации управляемости 6.4 Внешние меры 6.5 Пример объединения целей безопасности 7 Структура требований к процессу обеспечения безопасности. Последовательность выполнения требований к безопасности 8 Разработка аппаратных средств 8.1 Классификация случайных сбоев аппаратных средств 8.2 Пример оценки интенсивности остаточных отказов и метрики локального одиночного сбоя 8.3 Об аппаратных средствах 9 Общеиспользуемый элемент безопасности 9.1 Разработка общеиспользуемого элемента безопасности 9.2 Сценарии использования 10 Пример подтверждения проверкой эксплуатацией 10.1 Общие положения 10.2 Определение устройства и определение кандидата, проверенного эксплуатацией 10.3 Анализ изменений 10.4 Целевые значения для проверки эксплуатацией 11 О декомпозиции значений УПБА 11.1 Цель декомпозиции значений УПБА 11.2 Описание декомпозиции значений УПБА 11.3 Пример декомпозиции значений УПБА Приложение А (справочное) ИСО 26262 и микроконтроллеры Приложение В (справочное) Формирование и применение дерева неисправностей Приложение ДА (справочное) Сведения о соответствии ссылочных международных стандартов национальным стандартам Российской Федерации Библиография |
| Разработан: | Фирма Интерстандарт ООО Корпоративные электронные системы |
| Утверждён: | 17.11.2014 Федеральное агентство по техническому регулированию и метрологии (1624-ст) |
| Издан: | Стандартинформ (2015 г. ) |
| Расположен в: |




























































































