Информационная система
«Ёшкин Кот»

Скачать базу одним архивом
Скачать обновления
История создания базы
Карта сайта

Скачать ГОСТ 18389-2014 Проволока из платины и сплавов на ее основе. Технические условия

Дата актуализации: 10.08.2017

ГОСТ 18389-2014

Проволока из платины и сплавов на ее основе. Технические условия

Обозначение: ГОСТ 18389-2014
Обозначение англ: GOST 18389-2014
Статус:взамен
Название рус.:Проволока из платины и сплавов на ее основе. Технические условия
Название англ.:Wire made of platinum and its alloys. Specifications
Дата добавления в базу:21.05.2015
Дата актуализации:05.05.2017
Дата введения:01.09.2015
Область применения:Стандарт распространяется на холоднодеформированную проволоку из платины и сплавов на ее основе, применяемую в приборостроении и других отраслях промышленности.
Оглавление:1 Область применения
2 Нормативные ссылки
3 Термины и определения
4 Условные обозначения и сокращения
5 Технические требования
6 Правила приемки
7 Методы контроля
8 Транспортирование и хранение
9 Гарантии изготовителя
Приложение А (справочное) Расчетная масса 1 м проволоки из платины и сплавов на ее основе
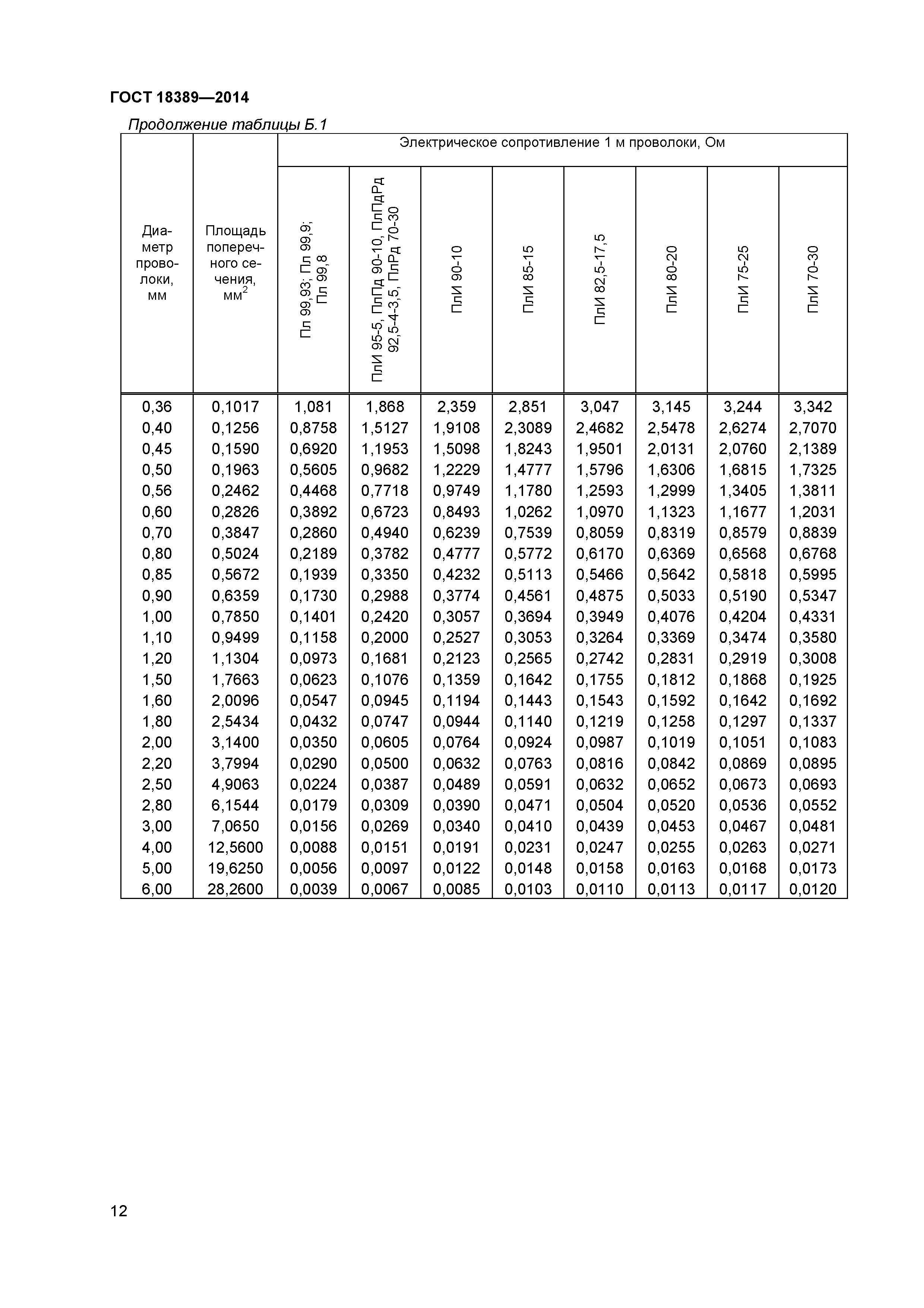
Приложение Б (справочное) Электрическое сопротивление проволоки из платины и сплавов на ее основе
Приложение В (справочное) Физические свойства проволоки из платины и сплавов на ее основе
Разработан: МТК 304 Благородные металлы, сплавы и промышленные изделия из них
ОАО Екатеринбургский завод по обработке цветных металлов
Утверждён:22.12.2014 Межгосударственный Совет по стандартизации, метрологии и сертификации (Inter-Governmental Council on Standardization, Metrology, and Certification 73-П)
27.01.2015 Федеральное агентство по техническому регулированию и метрологии (21-ст)
Издан: Стандартинформ (2015 г. )
Расположен в:Техническая документация Электроэнергия МЕТАЛЛУРГИЯ Продукция из цветных металлов Продукция из цветных металлов прочая Экология МЕТАЛЛУРГИЯ Продукция из цветных металлов Продукция из цветных металлов прочая
Заменяет собой:
Нормативные ссылки:
ГОСТ 18389-2014ГОСТ 18389-2014ГОСТ 18389-2014ГОСТ 18389-2014ГОСТ 18389-2014ГОСТ 18389-2014ГОСТ 18389-2014ГОСТ 18389-2014ГОСТ 18389-2014ГОСТ 18389-2014ГОСТ 18389-2014ГОСТ 18389-2014ГОСТ 18389-2014ГОСТ 18389-2014ГОСТ 18389-2014ГОСТ 18389-2014

© 2013 Ёшкин Кот :-) Карта сайта