Обозначение: | Постановление 832-ПП |
Обозначение англ: | Resolution 832-ПП |
Статус: | действует |
Название рус.: | О региональной программе капитального ремонта общего имущества в многоквартирных домах на территории города Москвы |
Дата добавления в базу: | 21.05.2015 |
Дата актуализации: | 05.05.2017 |
Дата введения: | 29.12.2014 |
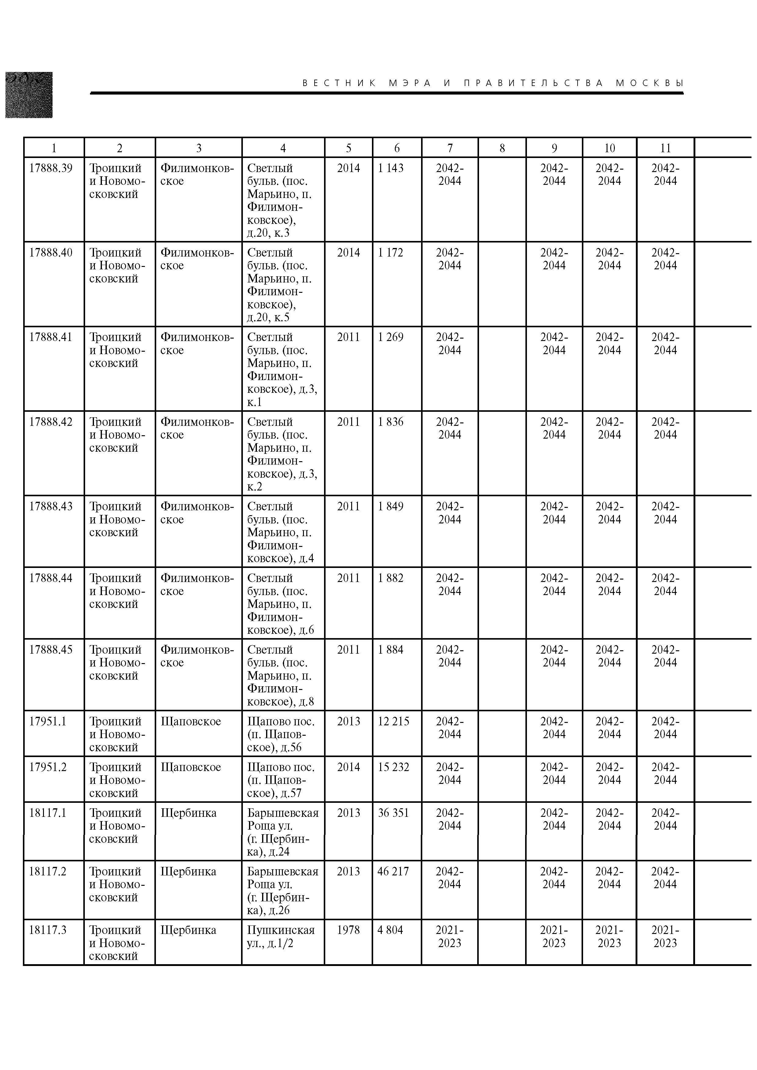
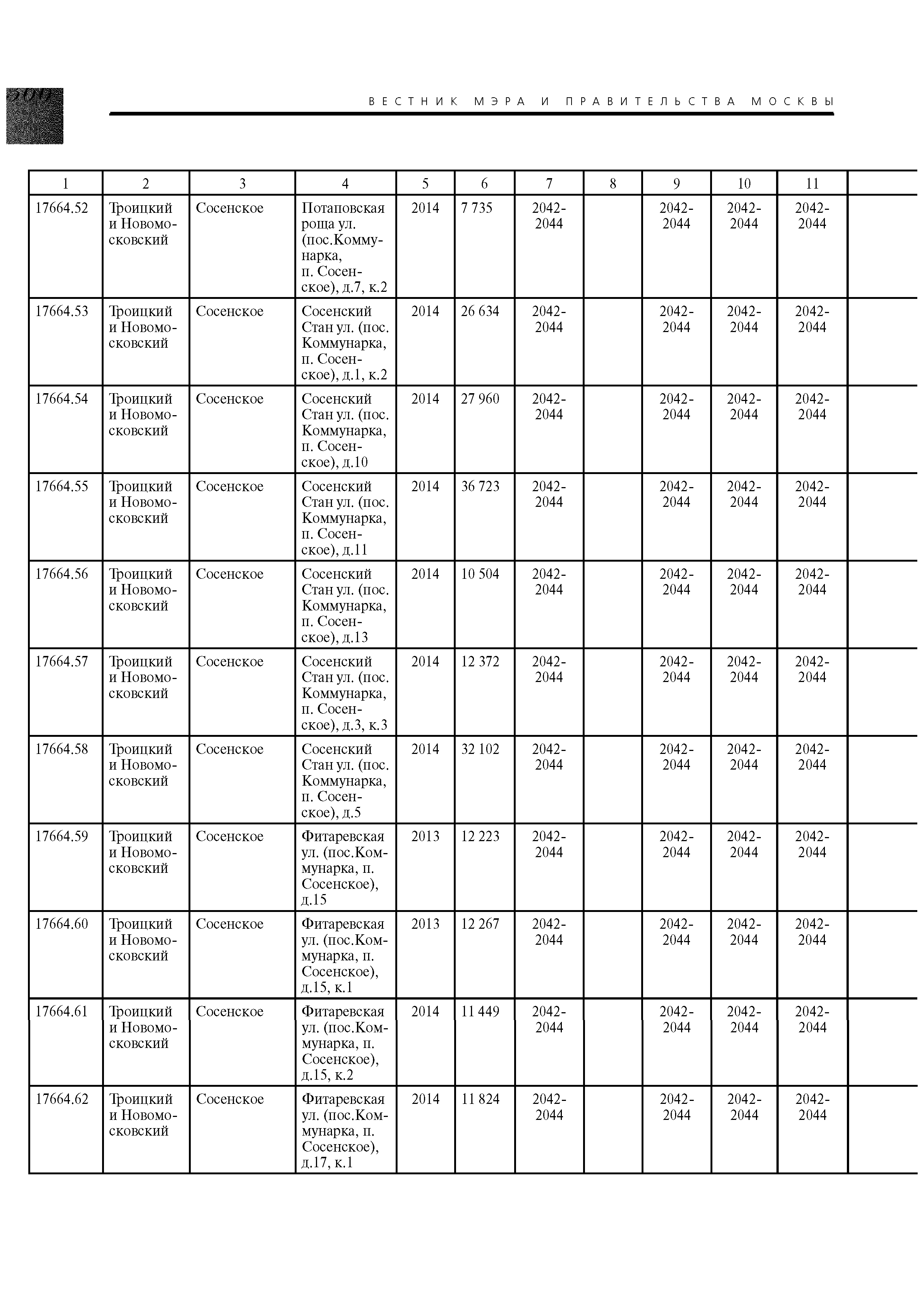
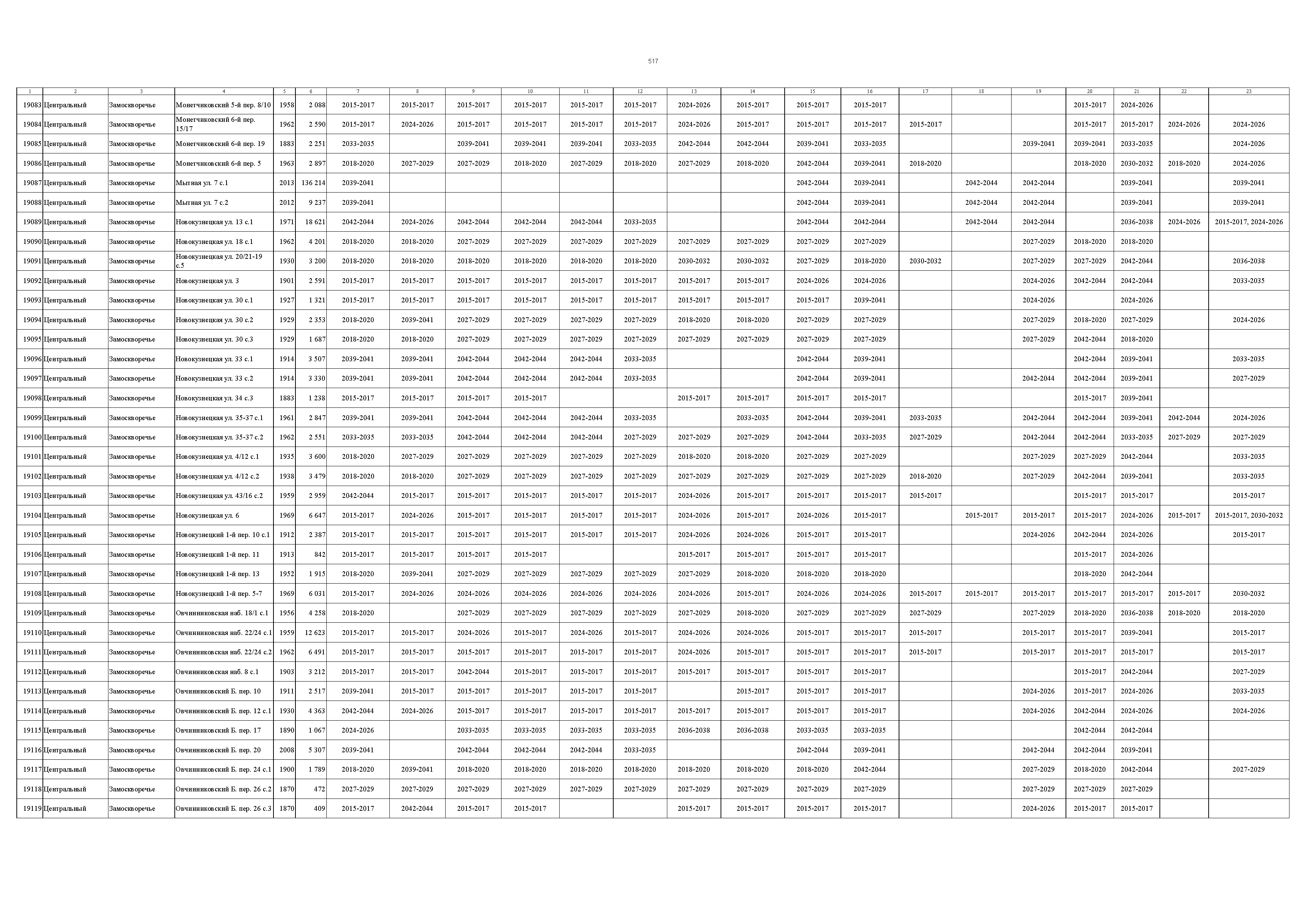
Оглавление: | Приложение 1 Порядок применения критериев очередности проведения капитального ремонта общего имущества в многоквартирных домах на территории города Москвы Приложение Приложение 2 Региональная программа капитального ремонта общего имущества в многоквартирных домах на территории города Москвы на 2015 - 2044 годы |
Утверждён: | 29.12.2014 Правительство Москвы (Government of the City of Moscow 832-ПП)
|
Издан: | Вестник Мэра и Правительства Москвы (январь 2015, № 2 (том 1 - 7))
|
Расположен в: |
|
Список изменений: | № 2 от 25.12.2015 ("Официальный портал Мэра и Правительства Москвы" (от 30.12.2015 г.)
|
Нормативные ссылки: | |