Информационная система
«Ёшкин Кот»

Скачать базу одним архивом
Скачать обновления
История создания базы
Карта сайта

Скачать ГОСТ 25820-2014 Бетоны легкие. Технические условия

Дата актуализации: 10.08.2017

ГОСТ 25820-2014

Бетоны легкие. Технические условия

Обозначение: ГОСТ 25820-2014
Обозначение англ: GOST 25820-2014
Статус:взамен
Название рус.:Бетоны легкие. Технические условия
Название англ.:Lightweight aggregates concretes. Specifications
Дата добавления в базу:21.05.2015
Дата актуализации:05.05.2017
Дата введения:01.07.2015
Область применения:Стандарт распространяется на легкие бетоны (далее - бетоны), применяемые во всех областях строительства и изготовляемые на цементном вяжущем, пористом неорганическом крупном заполнителе, пористом (природном и/или искусственном) или плотном мелком неорганическом заполнителе и добавках, регулирующих свойства бетонной смеси и бетона, на заводах товарного бетона или заводах сборных бетонных и железобетонных конструкций, а также в условиях строительной площадки. Стандарт устанавливает технические требования к бетонам, правила приемки и методы контроля. Стандарт не распространяется на ячеистые бетоны, бетоны на органических заполнителях (полистиролбетон, арболит) и специальные бетоны (жаростойкие, химически стойкие, радиационно-стойкие, декоративные, напрягающие и др.). Требования стандарта следует соблюдать при разработке новых и пересмотре действующих стандартов и технических условий, проектной и технологической документации на сборные бетонные и железобетонные изделия (далее - изделия) и монолитные конструкции (далее - конструкции), утвержденных в установленном порядке.
Оглавление:1 Область применения
2 Нормативные ссылки
3 Термины и определения
4 Классификация
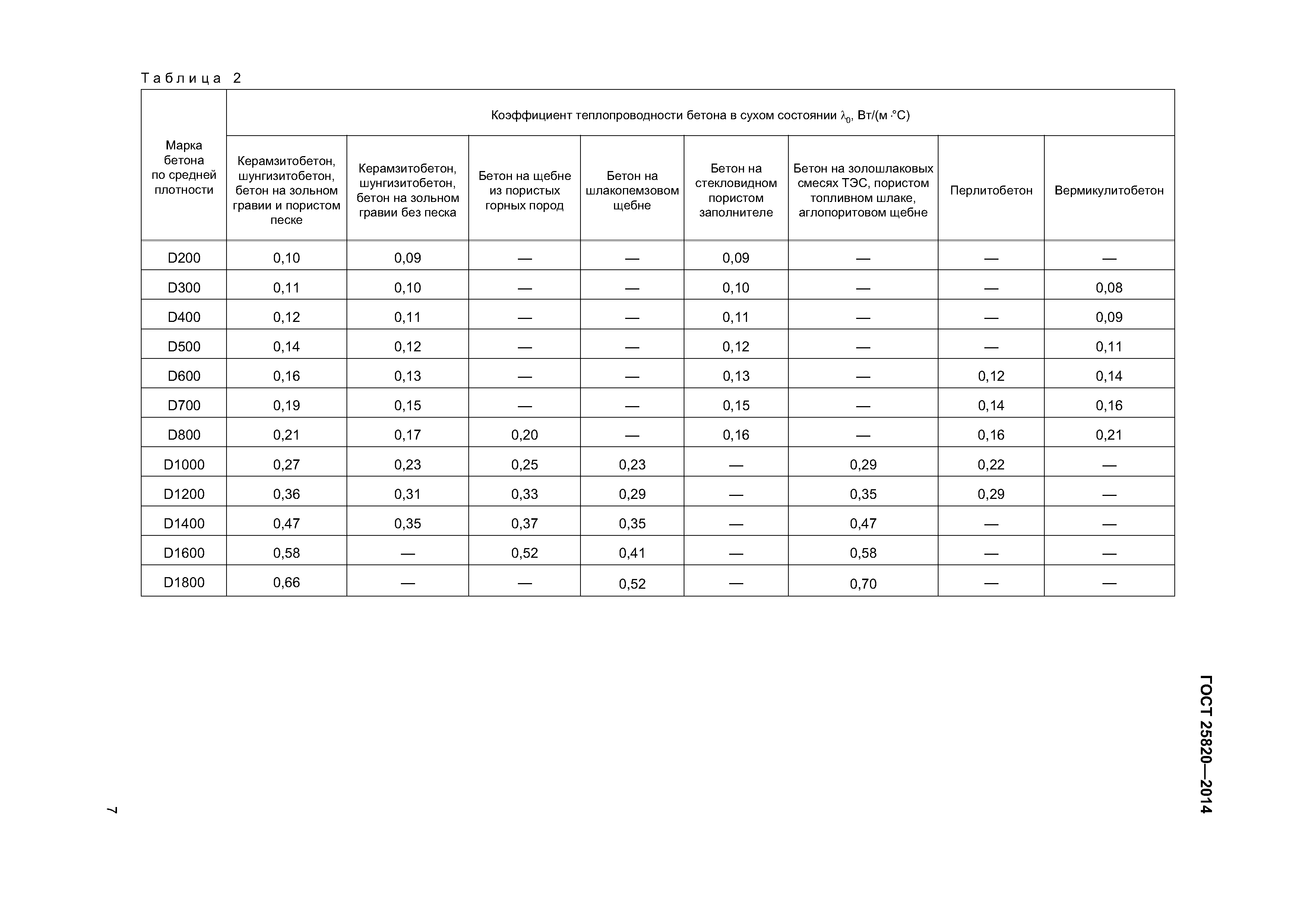
5 Технические требования
6 Правила приемки
7 Методы контроля
Приложение А (рекомендуемое) Назначение легких бетонов на основе различных видов пористых заполнителей
Приложение Б (рекомендуемое) Область применения легких бетонов различного назначения
Приложение В (справочное) Насыпная плотность крупных пористых гравиеподобных заполнителей для конструкционно-теплоизоляционных бетонов классов В2,5—В10
Приложение Г (справочное) Насыпная плотность крупных пористых щебневидных заполнителей для конструкционно-теплоизоляционных бетонов классов В2,5—В10
Приложение Д (справочное) Насыпная плотность крупных пористых заполнителей для конструкционных бетонов классов В12,5—В40
Разработан: НИИЖБ, подразделение ОАО НИЦ Строительство
Утверждён:14.11.2014 Межгосударственный Совет по стандартизации, метрологии и сертификации (Inter-Governmental Council on Standardization, Metrology, and Certification 72-П)
11.12.2014 Федеральное агентство по техническому регулированию и метрологии (1971-ст)
Издан: Стандартинформ (2015 г. )
Расположен в:Техническая документация Электроэнергия СТРОИТЕЛЬНЫЕ МАТЕРИАЛЫ И СТРОИТЕЛЬСТВО Строительные материалы Бетон и изделия из бетона Экология СТРОИТЕЛЬНЫЕ МАТЕРИАЛЫ И СТРОИТЕЛЬСТВО Строительные материалы Бетон и изделия из бетона Строительство Стандарты Другие государственные стандарты, применяемые в строительстве Строительные материалы и строительство Нормативные документы Документы Системы нормативных документов в строительстве Нормативные документы на строительные материалы и изделия к.62 Бетоны и растворы
Заменяет собой:
Нормативные ссылки:
ГОСТ 25820-2014ГОСТ 25820-2014ГОСТ 25820-2014ГОСТ 25820-2014ГОСТ 25820-2014ГОСТ 25820-2014ГОСТ 25820-2014ГОСТ 25820-2014ГОСТ 25820-2014ГОСТ 25820-2014ГОСТ 25820-2014ГОСТ 25820-2014ГОСТ 25820-2014ГОСТ 25820-2014ГОСТ 25820-2014ГОСТ 25820-2014ГОСТ 25820-2014ГОСТ 25820-2014ГОСТ 25820-2014

© 2013 Ёшкин Кот :-) Карта сайта