| ||||||||||||||||||||||||||||||||
Скачать ГОСТ IEC 62087-2014 Методы измерений потребления энергии аудио-, видеоаппаратурой и связанным с ней оборудованиемДата актуализации: 10.08.2017
|
| Обозначение: | ГОСТ IEC 62087-2014 |
| Обозначение англ: | 62087-2014 |
| Статус: | введен впервые |
| Название рус.: | Методы измерений потребления энергии аудио-, видеоаппаратурой и связанным с ней оборудованием |
| Название англ.: | Methods of measurement for the power consumption of audio, video and related equipment |
| Дата добавления в базу: | 12.02.2016 |
| Дата актуализации: | 05.05.2017 |
| Дата введения: | 01.09.2015 |
| Область применения: | Стандарт определяет методы измерения потребления энергии телевизионными приемниками, видео- регистрирующей аппаратурой, телевизионными ресиверами, звуковым оборудованием и многофункциональным оборудованием для потребительского использования. |
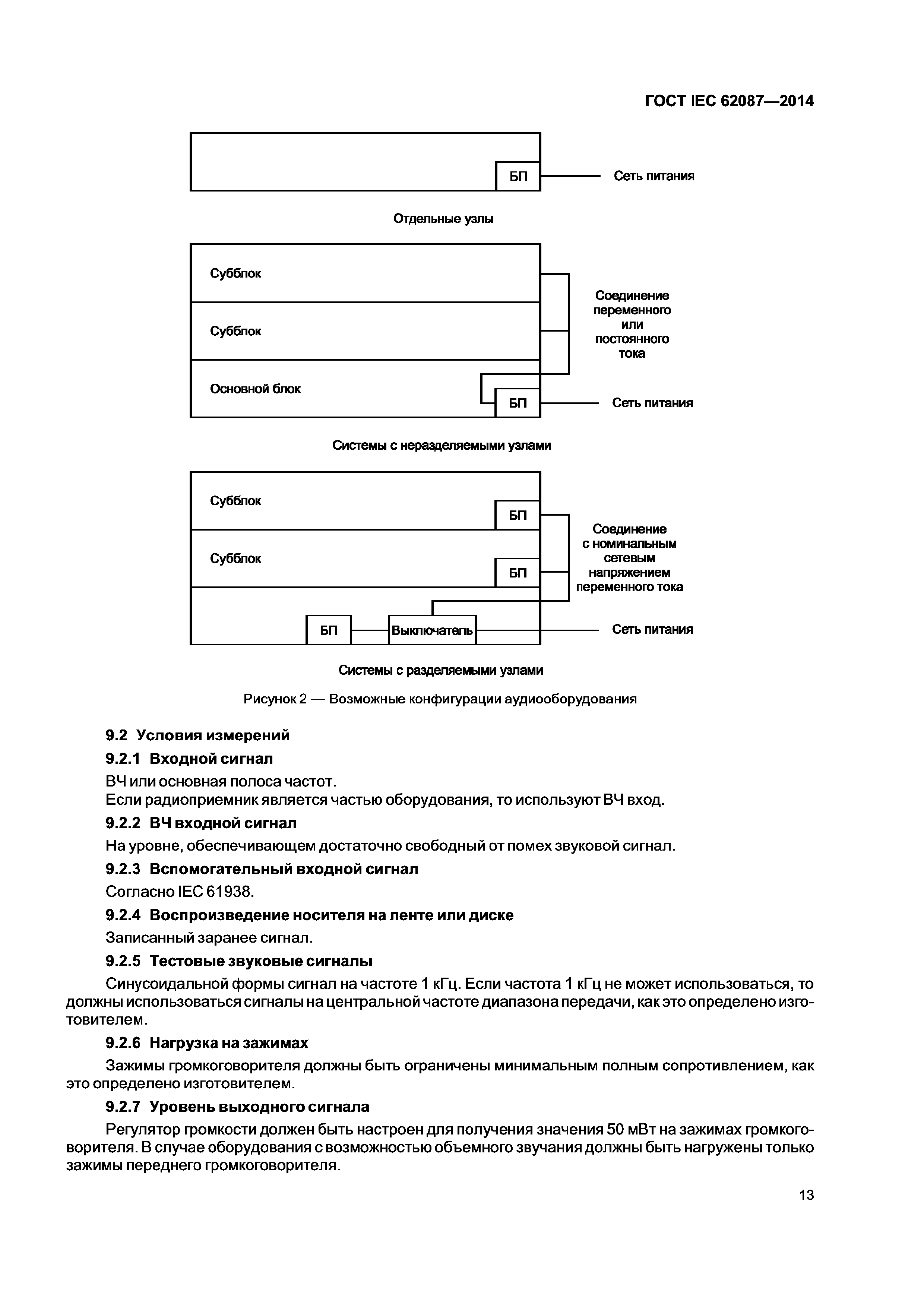
| Оглавление: | 1 Область применения 2 Нормативные ссылки 3 Термины, определения и сокращения 3.1 Термины и определения 3.2 Сокращения 4 Спецификация режимов работы 5 Общие методы измерений 5.1 Общие условия измерений 5.2 Основные методы измерений 6 Условия измерений для телевизионных приемников, за исключением режима "включено" (обычный режим) 6.1 Входной сигнал 6.2 ВЧ входной сигнал 6.3 Уровень входного сигнала основной полосы частот 6.4 Тестовый видеосигнал 6.5 Звуковой тестовый сигнал 6.6 Нагрузка на зажимах 6.7 Режим «включено» (воспроизведение) 6.8 Дежурный режим 6.9 Режим «выключено» 7 Условия измерения видеозаписывающего оборудования 7.1 Входной сигнал 7.2 ВЧ входной сигнал 7.3 Уровень входного сигнала основной полосы частот 7.4 Режим «включено» 7.5 Дежурный режим 7.6 Режим «выключено» 8 Условия измерения для ресивера цифрового телевидения 8.1 Обзор ресиверов цифрового телевидения 8.2 Входной сигнал 8.3 Входные разъемы 8.4 Режимы работы 8.5 Функция автоматического выключения питания 8.6 Процедура измерений 9 Звуковое оборудование 9.1 Общие положения 9.2 Условия измерений 10 Многофункциональное оборудование 10.1 Общие положения 10.2 Условия измерения для комбинированного устройства ТВП-ВМ 10.3 Комбинированное устройство ТВП-РЦТ 11 Условия измерений для телевизионных приемников в режиме «включено» (обычный режим) 11.1 Видеосигналы 11.2 Входные разъемы 11.3 Звуковой тестовый сигнал(ы) 11.4 Основная методика измерений для режима «включено» (обычный режим) 11.5 Испытания в режиме «включено» (обычный режим) с использованием статичного видеосигнала 11.6 Испытания в режиме «включено» (обычный режим) с использованием динамического телетрансляционного видеосигнала 11.7 Испытания в режиме «включено» (обычный режим) с использованием интернет-видеосигнала Приложение А (справочное) Процедура проверки Приложение В (справочное) Анализ измерений энергии телевизионного приемника в режиме «включено» (обычный режим) Приложение С (справочное) Описание видеосигналов режима «включено» (обычный режим) Приложение D (справочное) Основная информация о технологии РЦТ и дополнительные аспекты по испытаниям РЦТ Приложение Е (справочное) Сравнение режимов мощности для IЕС 62087:2008 и IЕС 62087:2011, СЕА—2013А и СЕА—2022 Приложение ДА (справочное) Сведения о соответствии межгосударственных стандартов ссылочным международным стандартам Библиография |
| Разработан: | АНО НТЦ СЭ ИСЭП |
| Утверждён: | 30.07.2014 Межгосударственный Совет по стандартизации, метрологии и сертификации (Inter-Governmental Council on Standardization, Metrology, and Certification 68-П) 11.11.2014 Федеральное агентство по техническому регулированию и метрологии (1506-ст) |
| Издан: | Стандартинформ (2015 г. ) |
| Расположен в: |












































