| ||||||||||||||||||||||||||||||||||
Скачать ГОСТ IEC/TR 62368-2-2014 Аудио-, видеоаппаратура, оборудование информационных технологий и техники связи. Часть 2. Пояснительная информация к IEC 62368-1Дата актуализации: 10.08.2017
|
| Обозначение: | ГОСТ IEC/TR 62368-2-2014 |
| Обозначение англ: | 62368-2-2014 |
| Статус: | введен впервые |
| Название рус.: | Аудио-, видеоаппаратура, оборудование информационных технологий и техники связи. Часть 2. Пояснительная информация к IEC 62368-1 |
| Название англ.: | Audio/video, information and communication technology equipment. Part 2. Explanatory information related to IEC 62368-1 |
| Дата добавления в базу: | 12.02.2016 |
| Дата актуализации: | 05.05.2017 |
| Дата введения: | 01.09.2015 |
| Область применения: | Определение назначения и пределов применения стандарта, а также установление вопросов, не охватываемых стандартом. В стандарт не включены требования по функциональной безопасности. Функциональная безопасность рассматривается в IEC 61508-1. Поскольку область применения стандарта охватывает компьютеры, которые могут управлять системами обеспечения безопасности, требования по функциональной безопасности обязательно должны включать требования, предъявляемые к компьютерным процессам и программному обеспечению. |
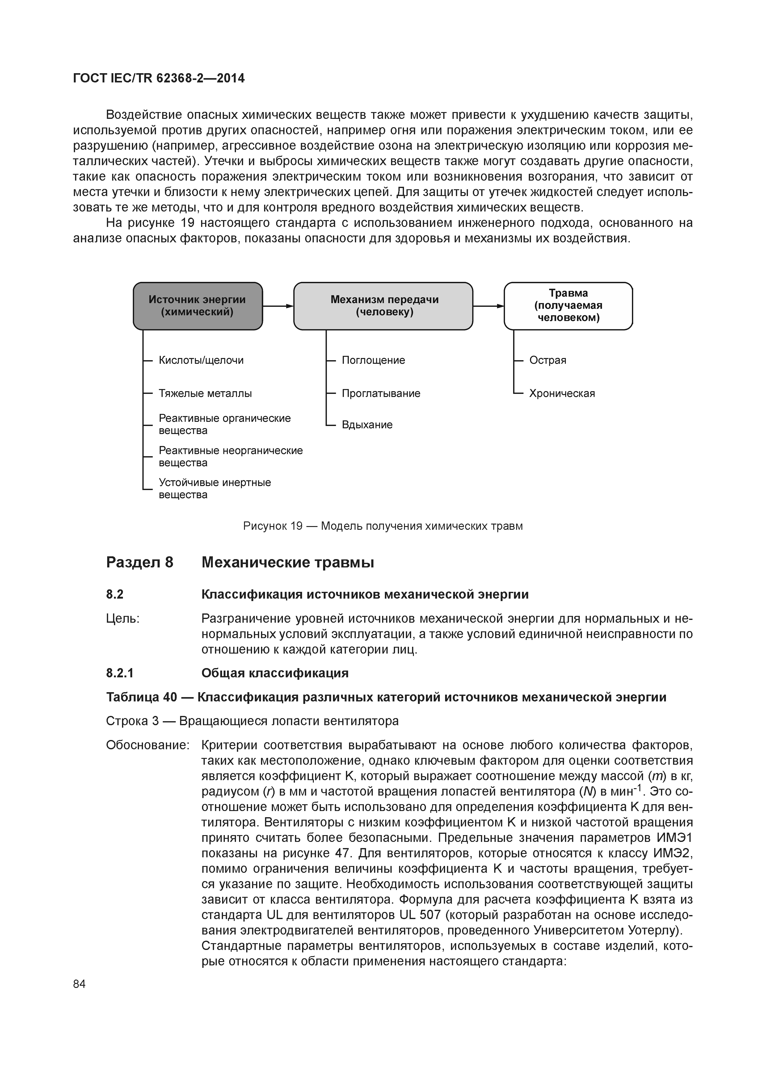
| Оглавление: | 0 Введение — Принципы безопасности изделий, устанавливаемые настоящим стандартом 1 Область применения 2 Нормативные ссылки 3 Термины и определения 4 Общие требования 5 Электрические травмы 6 Возгорание, вызванное электричеством 7 Химические травмы 8 Механические травмы 9 Тепловой ожог 10 Излучение Приложение В Испытания при нормальных и ненормальных условиях эксплуатации и при условиях единичной неисправности Приложение D Испытательные генераторы Приложение Е Условия проведения испытаний для оборудования, оснащенного усилителями звуковой частоты Приложение F Маркировки оборудования, инструкции и указания по защите Приложение G Компоненты Приложение Н Нормы для телефонных вызывных сигналов Приложение J Изолированные провода обмоток для использования без межслоевой изоляции. Приложение K Защитные блокировки Приложение L Отключающие устройства Приложение М Батареи и топливные элементы Приложение О Измерение путей утечки и зазоров Приложение Р Защита от попадания посторонних предметов и жидкостей в оборудование и разливов жидкостей внутри него Приложение Q Подключение к электропроводке здания Приложение R Испытание на ограниченное короткое замыкание Приложение S Испытания на устойчивость к нагреву и огнестойкость Приложение Т Испытания на механическую прочность Приложение U Механическая прочность ЭЛТ и защита от последствий направленного внутрь взрыва Приложение ДА (справочное) Сведения о соответствии межгосударственных стандартов ссылочным международным стандартам Библиография |
| Разработан: | АНО НТЦ СЭ ИСЭП |
| Утверждён: | 30.07.2014 Межгосударственный Совет по стандартизации, метрологии и сертификации (Inter-Governmental Council on Standardization, Metrology, and Certification 68-П) 11.11.2014 Федеральное агентство по техническому регулированию и метрологии (1511-ст) |
| Издан: | Стандартинформ (2015 г. ) |
| Расположен в: | |
| Нормативные ссылки: |
|

































































































































