Информационная система
«Ёшкин Кот»

Скачать базу одним архивом
Скачать обновления
История создания базы
Карта сайта

Скачать Нормативы градостроительного проектирования Московской области

Дата актуализации: 10.08.2017

Нормативы градостроительного проектирования Московской области

Статус:утратил силу
Название рус.:Нормативы градостроительного проектирования Московской области
Дата добавления в базу:01.10.2014
Дата актуализации:05.05.2017
Дата введения:17.09.2015
Область применения:Нормативы содержат расчетные количественные показатели и качественные характеристики обеспечения благоприятных условий жизнедеятельности населения Московской области. Нормативы устанавливают обязательные требования для всех субъектов градостроительных отношений при строительстве и реконструкции объектов капитального строительства в Московской области. Нормативы применяются при подготовке документов территориального планирования Московской области, документов территориального планирования муниципальных образований Московской области, документации по планировке территории.
Оглавление:Общие положения
Раздел I. Расчетные показатели интенсивности использования жилых территорий в населенных пунктах и плотности населения на жилых территориях при различных показателях жилищной обеспеченности и при различных типах застройки
Раздел II. Расчетные показатели интенсивности использования производственных территорий в населенных пунктах
Раздел III. Расчетные показатели плотности сети автомобильных дорог общего пользования
Раздел IV. Расчетные показатели плотности сети общественного пассажирского транспорта
Раздел V. Расчетные показатели потребности в территориях различного назначения
Раздел VI. Расчетные показатели допустимой пешеходной и транспортной доступности объектов социального и культурного обслуживания
Раздел VII. Расчетные показатели при различных планировочных условиях минимально и максимально допустимых расстояний между проектируемыми: улицами, проездами, разъездными площадками применительно к различным элементам планировочной структуры территории; зданиями, строениями и сооружениями различных типов
Раздел VIII. Расчетные показатели обеспеченности жителей Московской области основными видами инженерного обеспечения (энерго-, тепло-, газоснабжение, водоснабжение, водоотведение) в целом по Московской области и дифференцированные по отдельным территориям Московской области
Раздел IX. Допустимые соотношения застроенных, лесных и сельскохозяйственных территорий по Московской области в целом и дифференцированные по отдельным территориям Московской области
Приложение № 1. Типология устойчивых систем расселения Московской области
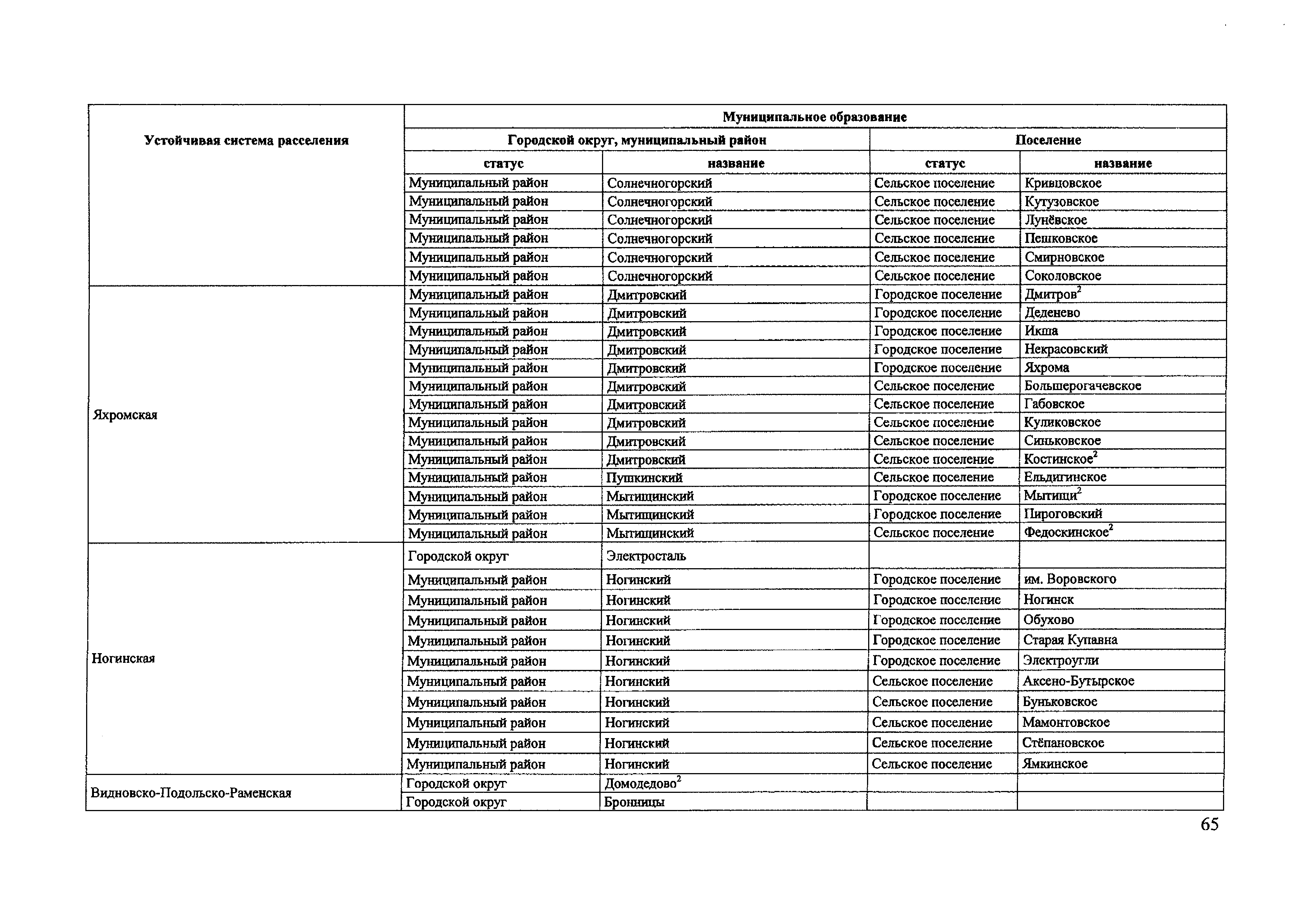
Приложение № 2. Состав устойчивых систем расселения Московской области
Приложение № 3. Дифференциация городов Московской области по численности населения
Приложение № 4. Дифференциация поселков городского типа Московской области по численности населения
Приложение № 5. Примерный состав объектов различного назначения, размещаемых в границах квартала, жилого района и населенного пункта
Утверждён:24.06.2014 Правительство Московской области (Government of the Moscow Region 491/20)
Расположен в:Техническая документация Экология СТРОИТЕЛЬНЫЕ МАТЕРИАЛЫ И СТРОИТЕЛЬСТВО Градостроительство. Планировка и застройка населенных мест Строительство Нормативные документы Нормативные документы субъектов Российской Федерации Нормативные документы Московской области
Заменяет собой:
Чем заменён:
Нормативные ссылки:

© 2013 Ёшкин Кот :-) Карта сайта