Информационная система
«Ёшкин Кот»

Скачать базу одним архивом
Скачать обновления
История создания базы
Карта сайта

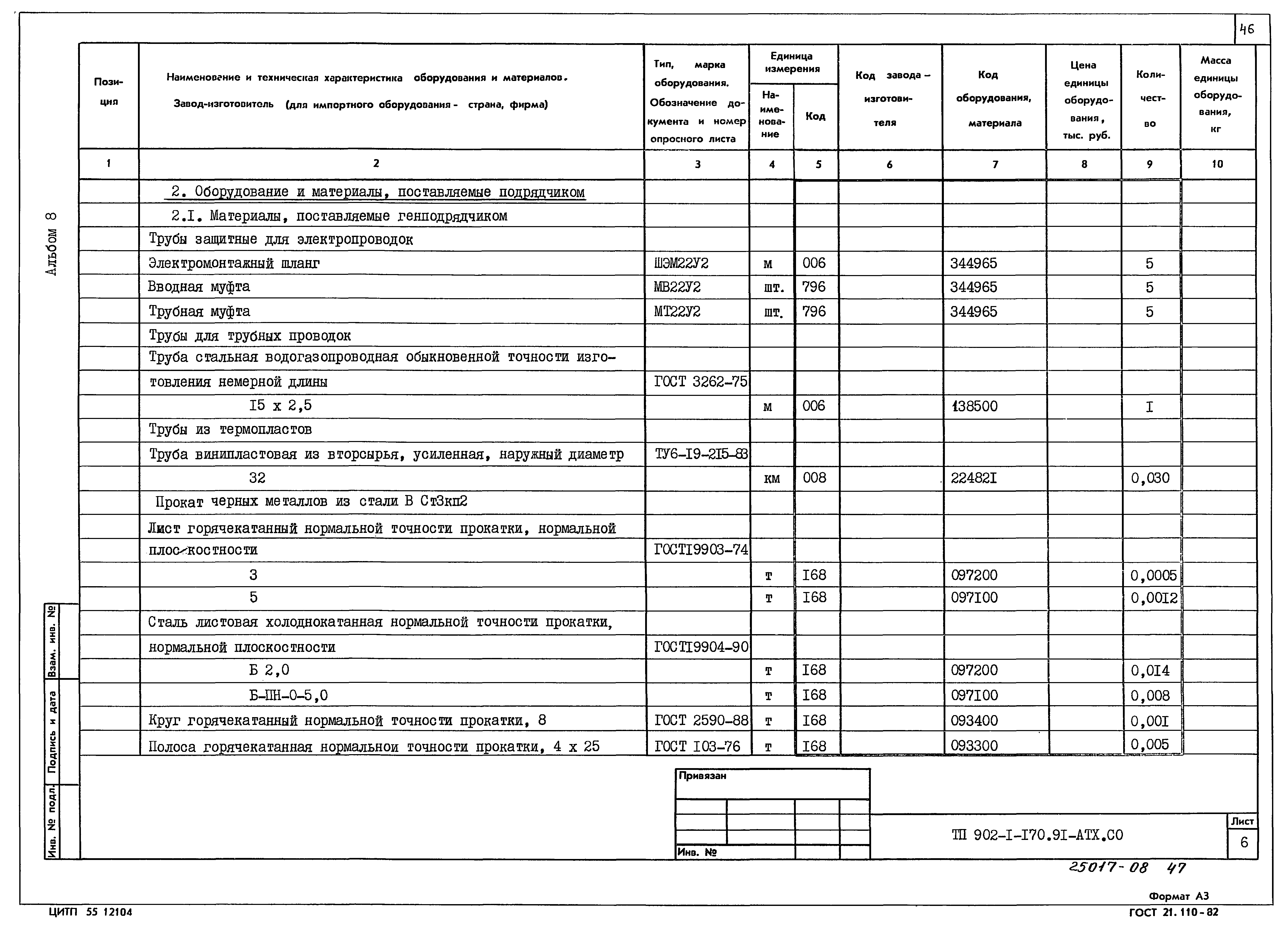
Скачать Типовой проект 902-1-176.91 Альбом 8. Спецификации оборудования (из ТП 902-1-170.91)

Дата актуализации: 10.08.2017

Типовой проект 902-1-176.91

Альбом 8. Спецификации оборудования (из ТП 902-1-170.91)

Обозначение: Типовой проект 902-1-176.91
Обозначение англ: 902-1-176.91
Статус:не определен законодательством
Название рус.:Альбом 8. Спецификации оборудования (из ТП 902-1-170.91)
Дата добавления в базу:01.10.2014
Дата актуализации:05.05.2017
Дата введения:15.05.1991
Оглавление:ТХ.СО Спецификация оборудования к основному комплекту чертежей марки ТХ
ВК.СО Спецификация оборудования к основному комплекту чертежей марки ВК
ОВ.СО Спецификация оборудования к основному комплекту чертежей марки ОВ
ЭМ.СО Спецификация оборудования к основному комплекту чертежей марки ЭМ
АТХ.СО Спецификация оборудования к основному комплекту чертежей марки АТХ
Разработан: Харьковский Водоканалпроект
Утверждён:15.05.1991 СоюзводоканалНИИпроект (SoyuzvodokanalNIIproject 9)
Расположен в:Техническая документация Строительство Справочные документы Типовые строительные конструкции, изделия и узлы Общероссийский строительный каталог Промышленные предприятия, здания и сооружения Здания и сооружения санитарно-технические Канализация Станции насосные Станции насосные для перекачки бытовых сточных вод
Типовой проект 902-1-176.91Типовой проект 902-1-176.91Типовой проект 902-1-176.91Типовой проект 902-1-176.91Типовой проект 902-1-176.91Типовой проект 902-1-176.91Типовой проект 902-1-176.91Типовой проект 902-1-176.91Типовой проект 902-1-176.91Типовой проект 902-1-176.91Типовой проект 902-1-176.91Типовой проект 902-1-176.91Типовой проект 902-1-176.91Типовой проект 902-1-176.91Типовой проект 902-1-176.91Типовой проект 902-1-176.91Типовой проект 902-1-176.91Типовой проект 902-1-176.91Типовой проект 902-1-176.91Типовой проект 902-1-176.91Типовой проект 902-1-176.91Типовой проект 902-1-176.91Типовой проект 902-1-176.91Типовой проект 902-1-176.91Типовой проект 902-1-176.91Типовой проект 902-1-176.91Типовой проект 902-1-176.91Типовой проект 902-1-176.91Типовой проект 902-1-176.91Типовой проект 902-1-176.91Типовой проект 902-1-176.91Типовой проект 902-1-176.91Типовой проект 902-1-176.91Типовой проект 902-1-176.91Типовой проект 902-1-176.91Типовой проект 902-1-176.91Типовой проект 902-1-176.91Типовой проект 902-1-176.91Типовой проект 902-1-176.91Типовой проект 902-1-176.91Типовой проект 902-1-176.91Типовой проект 902-1-176.91Типовой проект 902-1-176.91Типовой проект 902-1-176.91Типовой проект 902-1-176.91Типовой проект 902-1-176.91Типовой проект 902-1-176.91Типовой проект 902-1-176.91Типовой проект 902-1-176.91

© 2013 Ёшкин Кот :-) Карта сайта