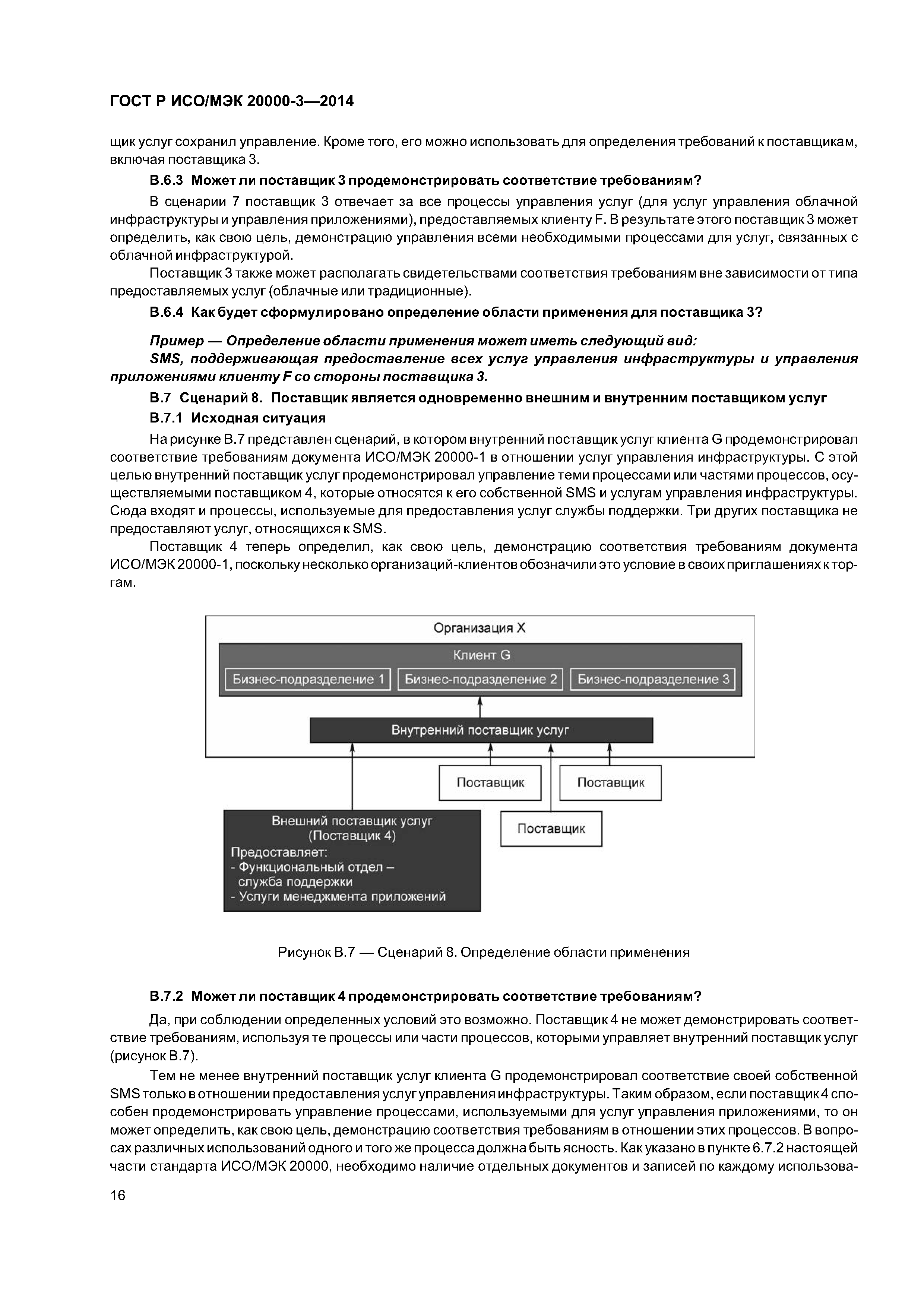
| ||||||||||||||||||||||||||||||||||
Скачать ГОСТ Р ИСО/МЭК 20000-3-2014 Информационная технология. Управление услугами. Часть 3. Руководство по определению области применения и применимости ИСО/МЭК 20000-1Дата актуализации: 10.08.2017
|
| Обозначение: | ГОСТ Р ИСО/МЭК 20000-3-2014 |
| Обозначение англ: | GOST R ISO/IEC 20000-3-2014 |
| Статус: | введен впервые |
| Название рус.: | Информационная технология. Управление услугами. Часть 3. Руководство по определению области применения и применимости ИСО/МЭК 20000-1 |
| Название англ.: | Information technology. Service management. Part 3. Guidance on scope definition and applicability of ISO/IEC 20000-1 |
| Дата добавления в базу: | 21.05.2015 |
| Дата актуализации: | 05.05.2017 |
| Дата введения: | 01.06.2015 |
| Область применения: | В данную часть стандарта ИСО/МЭК 20000 входит руководство по определению области применения и применимости документа ИСО/МЭК 20000-1, а также по демонстрации соответствия описанным в нем требованиям. Принципы, установленные в этой части стандарта ИСО/МЭК 20000, помогут поставщику услуг в планировании улучшения качества услуг и (или) в подготовке к оценке на соответствие требованиям документа ИСО/МЭК 20000-1. Настоящая часть стандарта ИСО/МЭК 20000 поможет определить, применим ли документ ИСО/МЭК 20000-1 к конкретным случаям, встречающимся у поставщиков услуг. В ней на примерах поясняется, как можно определить область применения SMS вне зависимости от того, имеет ли поставщик услуг опыт в определении областей применения других систем управления. В состав документа включено руководство по типам оценки соответствия и стандартам оценки. |
| Оглавление: | 1 Область применения 2 Нормативные ссылки 3 Термины и определения 4 Выполнение требований, указанных в документе ИСО/МЭК 20000-1 5 Применимость документа ИСО/МЭК 20000-1 5.1 Целевая аудитория документа ИСО/МЭК 20000-1 5.2 Управление процессами, осуществляемыми другими сторонами 5.3 Охват технологий, используемых для предоставления услуг 6 Общие принципы для области применения SMS 6.1 Введение 6.2 Область применения SMS 6.3 Соглашения между клиентами и поставщиком услуг 6.4 Параметры определения области применения 6.5 Допустимость определения области применения 6.6 Изменение области применения 6.7 Цепочки поставок и область применения SMS 6.8 Интеграция или согласование с другими системами управления Приложение А (справочное) Основные положения, связанные с областью применения SMS, применимостью и соответствием требованиям документа ИСО/МЭК 20000-1 Приложение В (справочное) Определения области применения на базе сценариев Приложение С (справочное) Типы оценки соответствия Приложение ДА (справочное) Сведения о соответствии ссылочных международных стандартов национальным стандартам Российской Федерации Библиография |
| Разработан: | ЗАО ИТ Эксперт ООО ИАВЦ |
| Утверждён: | 11.06.2014 Федеральное агентство по техническому регулированию и метрологии (553-ст) |
| Издан: | Стандартинформ (2014 г. ) |
| Расположен в: | |
| Нормативные ссылки: |































