| ||||||||||||||||||||||||||
Скачать Государственная программа Российской Федерации Энергоэффективность и развитие энергетикиДата актуализации: 10.08.2017 |
| Статус: | действует |
| Название рус.: | Государственная программа Российской Федерации "Энергоэффективность и развитие энергетики" |
| Дата добавления в базу: | 01.10.2014 |
| Дата актуализации: | 05.05.2017 |
| Дата введения: | 02.05.2014 |
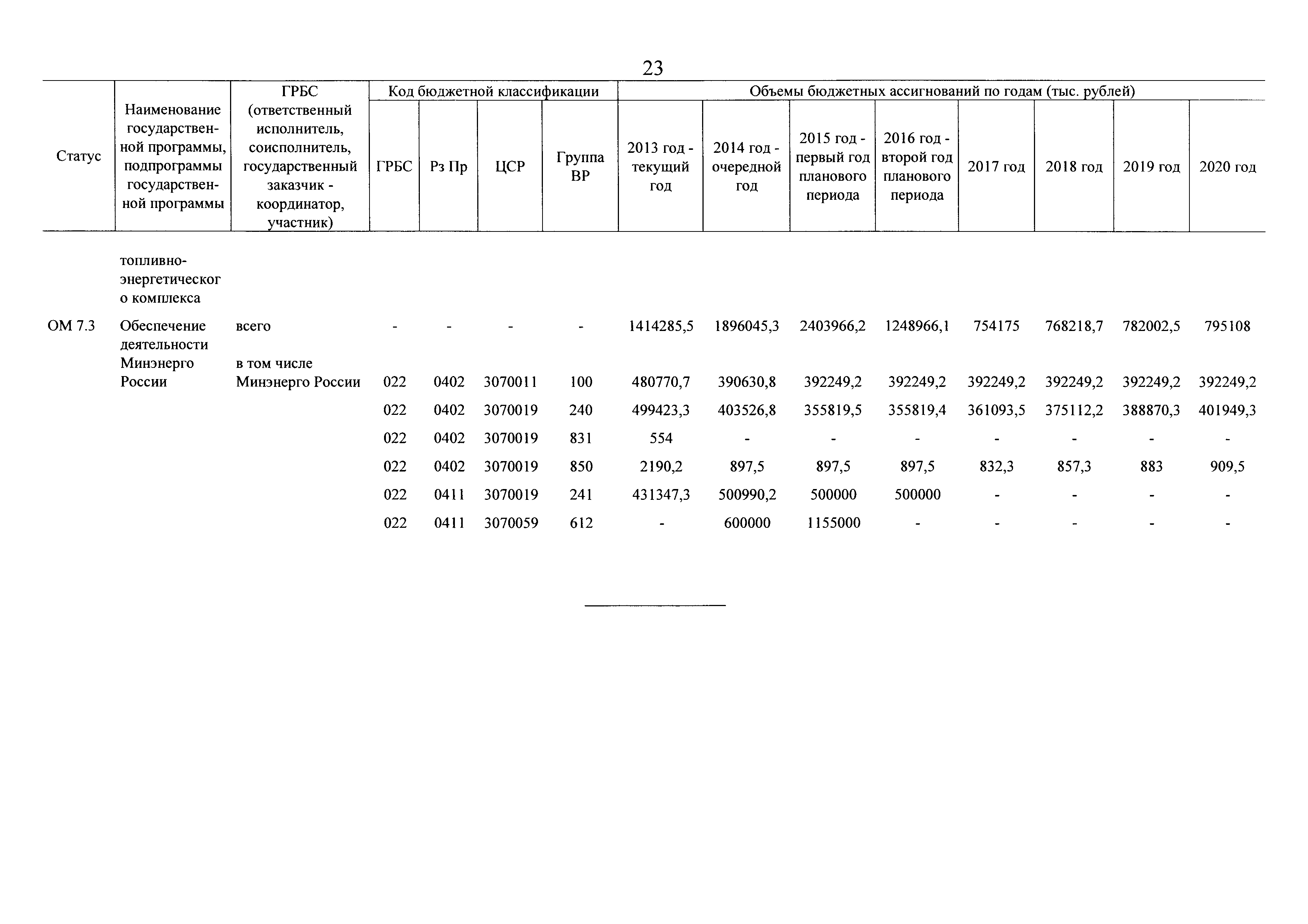
| Оглавление: | Паспорт государственной программы Российской Федерации "Энергоэффективность и развитие энергетики" Паспорт подпрограммы "Энергосбережение и повышение энергетической эффективности" государственной программы Российской Федерации "Энергоэффективность и развитие энергетики" Паспорт подпрограммы "Развитие и модернизация электроэнергетики" государственной программы Российской Федерации "Энергоэффективность и развитие энергетики" Паспорт подпрограммы "Развитие нефтяной отрасли" государственной программы Российской Федерации "Энергоэффективность и развитие энергетики" Паспорт подпрограммы "Развитие газовой отрасли" государственной программы Российской Федерации "Энергоэффективность и развитие энергетики" Паспорт подпрограммы "Реструктуризация и развитие угольной промышленности" государственной программы Российской Федерации "Энергоэффективность и развитие энергетики" Паспорт подпрограммы "Развитие использования возобновляемых источников энергии" государственной программы Российской Федерации "Энергоэффективность и развитие энергетики" Паспорт подпрограммы "Обеспечение реализации государственной программы" государственной программы Российской Федерации "Энергоэффективность и развитие энергетики" I. Приоритеты и цели государственной политики, в том числе общие требования к государственной политике субъектов Российской Федерации II. Общая характеристика участия субъектов Российской Федерации в реализации Программы Приложение № 1. Сведения о целевых показателях (индикаторах) государственной программы Российской Федерации "Энергоэффективность и развитие энергетики" с расшифровкой плановых значений по годам ее реализации, а также сведения о взаимосвязи мероприятий и результатов их выполнения с целевыми индикаторами и показателями государственной программы Приложение № 2. Сведения о показателях (индикаторах) государственной программы Российской Федерации "Энергоэффективность и развитие энергетики" по субъектам Российской Федерации Приложение № 3. Перечень основных мероприятий государственной программы Российской Федерации "Энергоэффективность и развитие энергетики" Приложение № 4. Сведения о нормативных правовых актах, направленных на достижение цели и (или) ожидаемых результатов государственной программы Российской Федерации "Энергоэффективность и развитие энергетики" Приложение № 5. Финансовое обеспечение государственной программы Российской Федерации "Энергоэффективность и развитие энергетики" за счет средств федерального бюджета Приложение № 6. Правила предоставления субсидий из федерального бюджета бюджетам субъектов Российской Федерации на ликвидацию перекрестного субсидирования в электроэнергетике в рамках подпрограммы "Развитие и модернизация электроэнергетики" государственной программы Российской Федерации "Энергоэффективность и развитие энергетики" Приложение. Методика расчета субсидий, предоставляемых в 2015 году из федерального бюджета бюджетам субъектов Российской Федерации на ликвидацию перекрестного субсидирования в электроэнергетике в рамках подпрограммы "Развитие и модернизация электроэнергетики" государственной программы Российской Федерации "Энергоэффективность и развитие энергетики" Приложение № 7. План реализации государственной программы Российской Федерации "Энергоэффективность и развитие энергетики" на 2014 год и на плановый период 2015 и 2016 годов |
| Утверждён: | 15.04.2014 Правительство Российской Федерации (321) |
| Издан: | Официальный интернет-портал правовой информации (www.pravo.gov.ru) (от 24.04.2014 г. Номер опубликования: 0001201404240009) |
| Расположен в: | |
| Список изменений: |
|
| Нормативные ссылки: |
|
















































































































Текстовое изменение № 1 от 21.10.2015




















Текстовое изменение № 2 от 19.12.2015

























































































































Текстовое изменение № 3 от 14.06.2016


Текстовое изменение № 4 от 17.08.2016











































Текстовое изменение № 5 от 10.12.2016

Текстовое изменение № 6 от 14.02.2017















Текстовое изменение № 7 от 13.04.2017






























































