Информационная система
«Ёшкин Кот»

Скачать базу одним архивом
Скачать обновления
История создания базы
Карта сайта

Скачать ГОСТ ISO/TS 22220-2013 Информатизация здоровья. Идентификация субъектов медицинской помощи

Дата актуализации: 10.08.2017

ГОСТ ISO/TS 22220-2013

Информатизация здоровья. Идентификация субъектов медицинской помощи

Обозначение: ГОСТ ISO/TS 22220-2013
Обозначение англ: 22220-2013
Статус:введен впервые
Название рус.:Информатизация здоровья. Идентификация субъектов медицинской помощи
Название англ.:Health informatics. Identification of subjects of health care
Дата добавления в базу:12.02.2016
Дата актуализации:05.05.2017
Дата введения:01.07.2015
Область применения:В стандарте описаны элементы данных и структура данных, пригодные для точной идентификации лиц в здравоохранении, соответствующей процедурам и учитывающей особенности процедур в условиях личного общения с применением компьютерной технологии или при взаимодействии между компьютерными системами.
Оглавление:1 Область применения
   1.1 Общие положения
   1.2 Цель
   1.3 Применение
2 Нормативные ссылки
3 Термины и определения
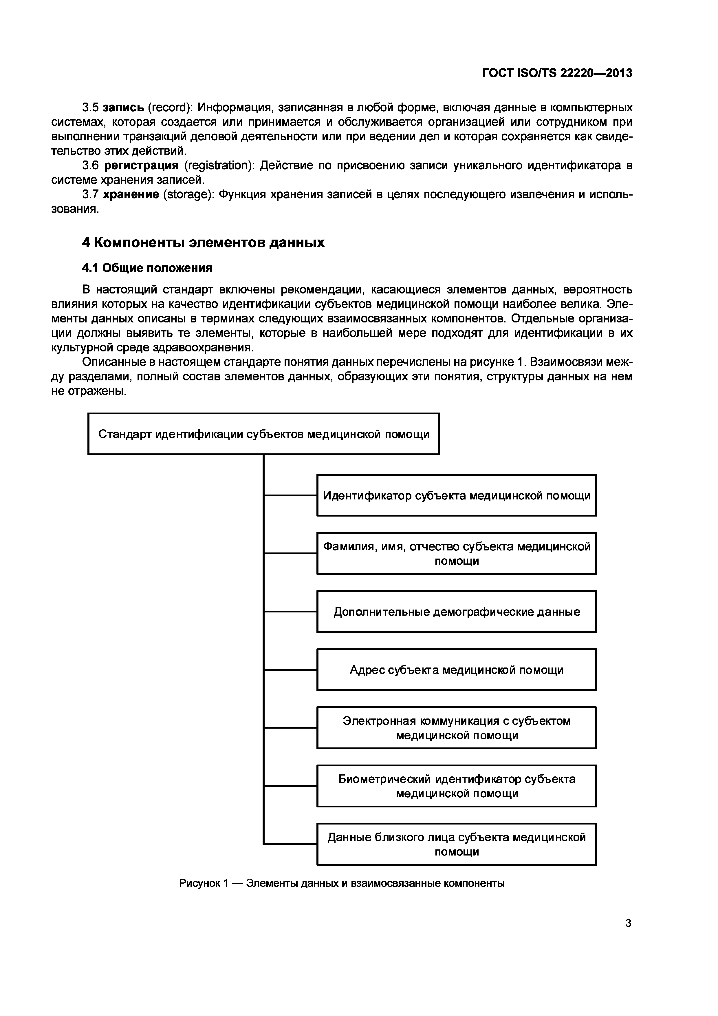
4 Компоненты элементов данных
   4.1 Общие положения
   4.2 Структура элементов данных
   4.3 Общая структура
5 Идентификатор субъекта медицинской помощи
   5.1 Описание идентификатора субъекта медицинской помощи
   5.2 Обозначение идентификатора субъекта медицинской помощи
   5.3 Территория действия идентификатора субъекта медицинской помощи
   5.4 Источник идентификатора субъекта медицинской помощи
   5.5 Тип идентификатора субъекта медицинской помощи
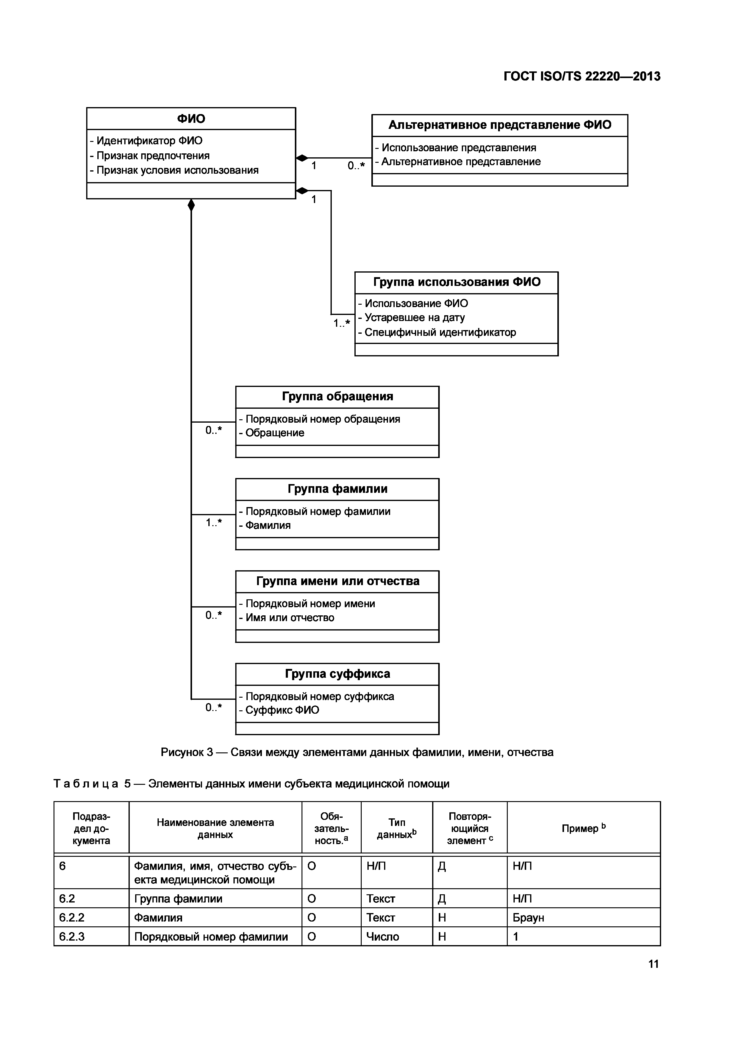
6 Полные фамилия, имя, отчество субъекта медицинской помощи
   6.1 Общая информация
   6.2 Группа фамилии
   6.3 Предпочтительные фамилия, имя, отчества
   6.4 Условие использования
   6.5 Группа обращения
   6.6 Группа имени или отчества
   6.7 Группа суффикса
   6.8 Группа использования ФИО
   6.9 Альтернативное представление ФИО
7 Дополнительные демографические данные
   7.1 Общие положения
   7.2 Дата рождения
   7.3 Дата смерти
   7.4 Пол
   7.5 Девичья фамилия матери
   7.6 Страна (место) рождения
   7.7 Кратность родов
   7.8 Порядок рождения
   7.9 Комментарии к идентификации
8 Адрес субъекта медицинской помощи
   8.1 Общие положения
   8.2 Строка адреса
   8.3 Местность/город/населенный пункт
   8.4 Штат/область/провинция
   8.5 Почтовый индекс
   8.6 Почтовый ящик
   8.7 Идентификатор страны
   8.8 Тип адреса
9 Электронная коммуникация с субъектом медицинской помощи
   9.1 Общие положения
   9.2 Тип среды электронной коммуникации
   9.3 Код предпочтения электронной коммуникации
   9.4 Адрес электронной коммуникации
   9.5 Код назначения электронной коммуникации
10 Биометрические идентификаторы
11 Данные близкого лица субъекта медицинской помощи
   11.1 Общие положения
   11.2 Идентификатор близкого лица субъекта медицинской помощи
   11.3 Тип отношения близкого лица к субъекту медицинской помощи
Приложение А (справочное) Сбор данных
Приложение В (справочное) Обмен сообщениями
Приложение С (справочное) Поиск совпадения данных
Приложение D (справочное) Руководство по внедрению главных регистров пациентов
Приложение Е (справочное) Руководство по поиску субъекта медицинской помощи
Приложение F (справочное) Краткое руководство по именованию
Приложение ДА (справочное) Сведения о соответствии межгосударственных стандартов ссылочным международным стандартам
Библиография
Разработан: ООО Корпоративные электронные системы
ФБУ Консультационно-внедренческая фирма в области международной стандартизации и сертификации - Фирма ИНТЕРСТАНДАРТ
ЦНИИОИЗ Минздрава России
Утверждён:05.11.2013 Межгосударственный Совет по стандартизации, метрологии и сертификации (Inter-Governmental Council on Standardization, Metrology, and Certification 61-П)
11.04.2014 Федеральное агентство по техническому регулированию и метрологии (334-ст)
Издан: Стандартинформ (2015 г. )
Расположен в:Техническая документация Электроэнергия ИНФОРМАЦИОННЫЕ ТЕХНОЛОГИИ. МАШИНЫ КОНТОРСКИЕ Применение информационных технологий Применение информационных технологий в здравоохранении Экология ИНФОРМАЦИОННЫЕ ТЕХНОЛОГИИ. МАШИНЫ КОНТОРСКИЕ Применение информационных технологий Применение информационных технологий в здравоохранении
ГОСТ ISO/TS 22220-2013ГОСТ ISO/TS 22220-2013ГОСТ ISO/TS 22220-2013ГОСТ ISO/TS 22220-2013ГОСТ ISO/TS 22220-2013ГОСТ ISO/TS 22220-2013ГОСТ ISO/TS 22220-2013ГОСТ ISO/TS 22220-2013ГОСТ ISO/TS 22220-2013ГОСТ ISO/TS 22220-2013ГОСТ ISO/TS 22220-2013ГОСТ ISO/TS 22220-2013ГОСТ ISO/TS 22220-2013ГОСТ ISO/TS 22220-2013ГОСТ ISO/TS 22220-2013ГОСТ ISO/TS 22220-2013ГОСТ ISO/TS 22220-2013ГОСТ ISO/TS 22220-2013ГОСТ ISO/TS 22220-2013ГОСТ ISO/TS 22220-2013ГОСТ ISO/TS 22220-2013ГОСТ ISO/TS 22220-2013ГОСТ ISO/TS 22220-2013ГОСТ ISO/TS 22220-2013ГОСТ ISO/TS 22220-2013ГОСТ ISO/TS 22220-2013ГОСТ ISO/TS 22220-2013ГОСТ ISO/TS 22220-2013ГОСТ ISO/TS 22220-2013ГОСТ ISO/TS 22220-2013ГОСТ ISO/TS 22220-2013ГОСТ ISO/TS 22220-2013ГОСТ ISO/TS 22220-2013ГОСТ ISO/TS 22220-2013ГОСТ ISO/TS 22220-2013ГОСТ ISO/TS 22220-2013ГОСТ ISO/TS 22220-2013ГОСТ ISO/TS 22220-2013ГОСТ ISO/TS 22220-2013ГОСТ ISO/TS 22220-2013ГОСТ ISO/TS 22220-2013ГОСТ ISO/TS 22220-2013ГОСТ ISO/TS 22220-2013ГОСТ ISO/TS 22220-2013ГОСТ ISO/TS 22220-2013ГОСТ ISO/TS 22220-2013ГОСТ ISO/TS 22220-2013ГОСТ ISO/TS 22220-2013ГОСТ ISO/TS 22220-2013ГОСТ ISO/TS 22220-2013ГОСТ ISO/TS 22220-2013ГОСТ ISO/TS 22220-2013ГОСТ ISO/TS 22220-2013ГОСТ ISO/TS 22220-2013ГОСТ ISO/TS 22220-2013ГОСТ ISO/TS 22220-2013ГОСТ ISO/TS 22220-2013ГОСТ ISO/TS 22220-2013ГОСТ ISO/TS 22220-2013ГОСТ ISO/TS 22220-2013ГОСТ ISO/TS 22220-2013ГОСТ ISO/TS 22220-2013ГОСТ ISO/TS 22220-2013ГОСТ ISO/TS 22220-2013ГОСТ ISO/TS 22220-2013ГОСТ ISO/TS 22220-2013ГОСТ ISO/TS 22220-2013ГОСТ ISO/TS 22220-2013ГОСТ ISO/TS 22220-2013ГОСТ ISO/TS 22220-2013ГОСТ ISO/TS 22220-2013ГОСТ ISO/TS 22220-2013ГОСТ ISO/TS 22220-2013ГОСТ ISO/TS 22220-2013ГОСТ ISO/TS 22220-2013ГОСТ ISO/TS 22220-2013ГОСТ ISO/TS 22220-2013ГОСТ ISO/TS 22220-2013ГОСТ ISO/TS 22220-2013ГОСТ ISO/TS 22220-2013ГОСТ ISO/TS 22220-2013ГОСТ ISO/TS 22220-2013ГОСТ ISO/TS 22220-2013ГОСТ ISO/TS 22220-2013ГОСТ ISO/TS 22220-2013ГОСТ ISO/TS 22220-2013

© 2013 Ёшкин Кот :-) Карта сайта