Скачать ФССЦ 05-2001 Часть 5. Материалы, изделия и конструкции для монтажных и специальных строительных работ (редакция 2014 года). Материалы, изделия и конструкции для монтажных и специальных строительных работ. Федеральный сборник сметных цен на материалы, изделия и конструкции, применяемые в строительствеДата актуализации: 10.08.2017 ФССЦ 05-2001
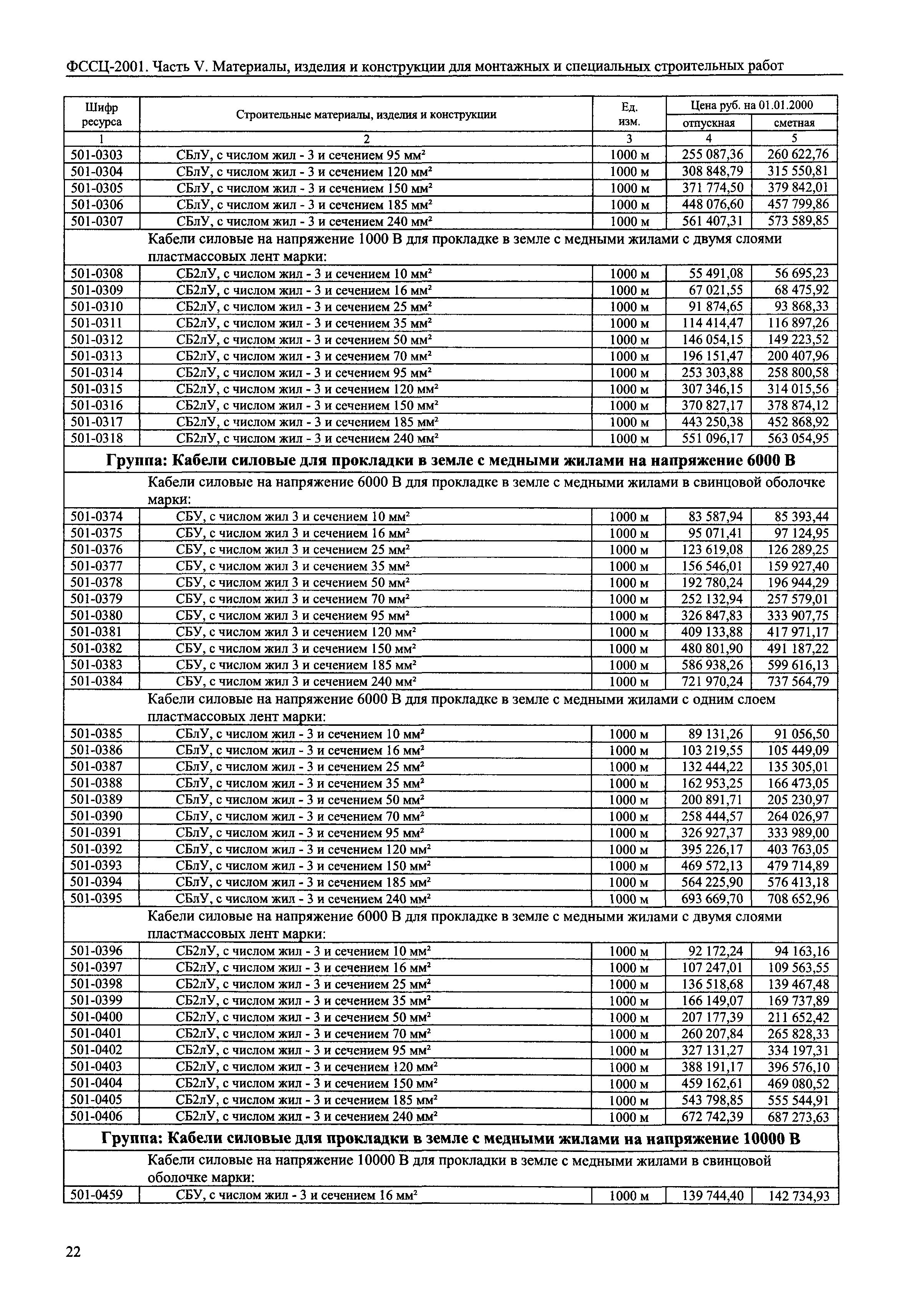
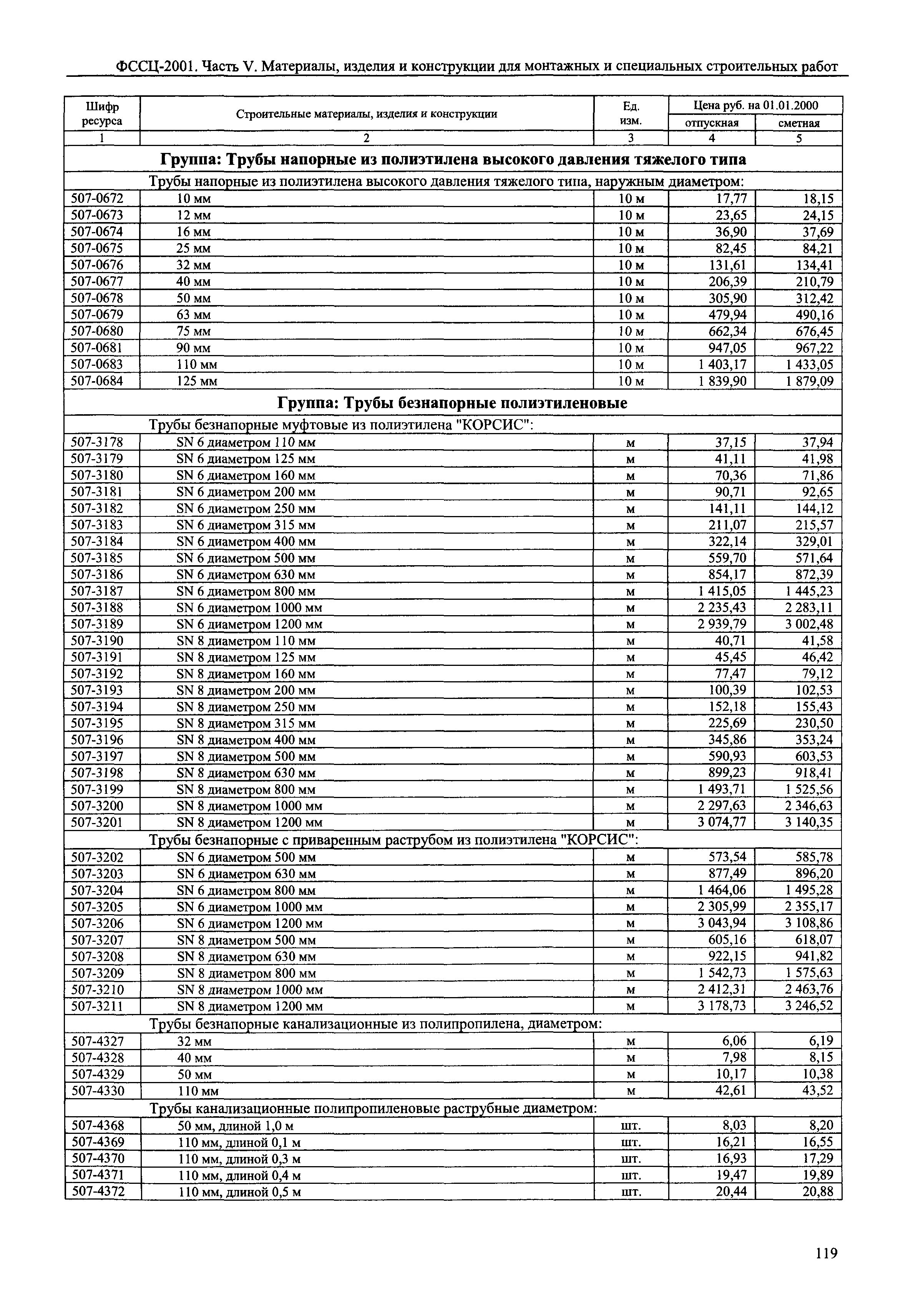
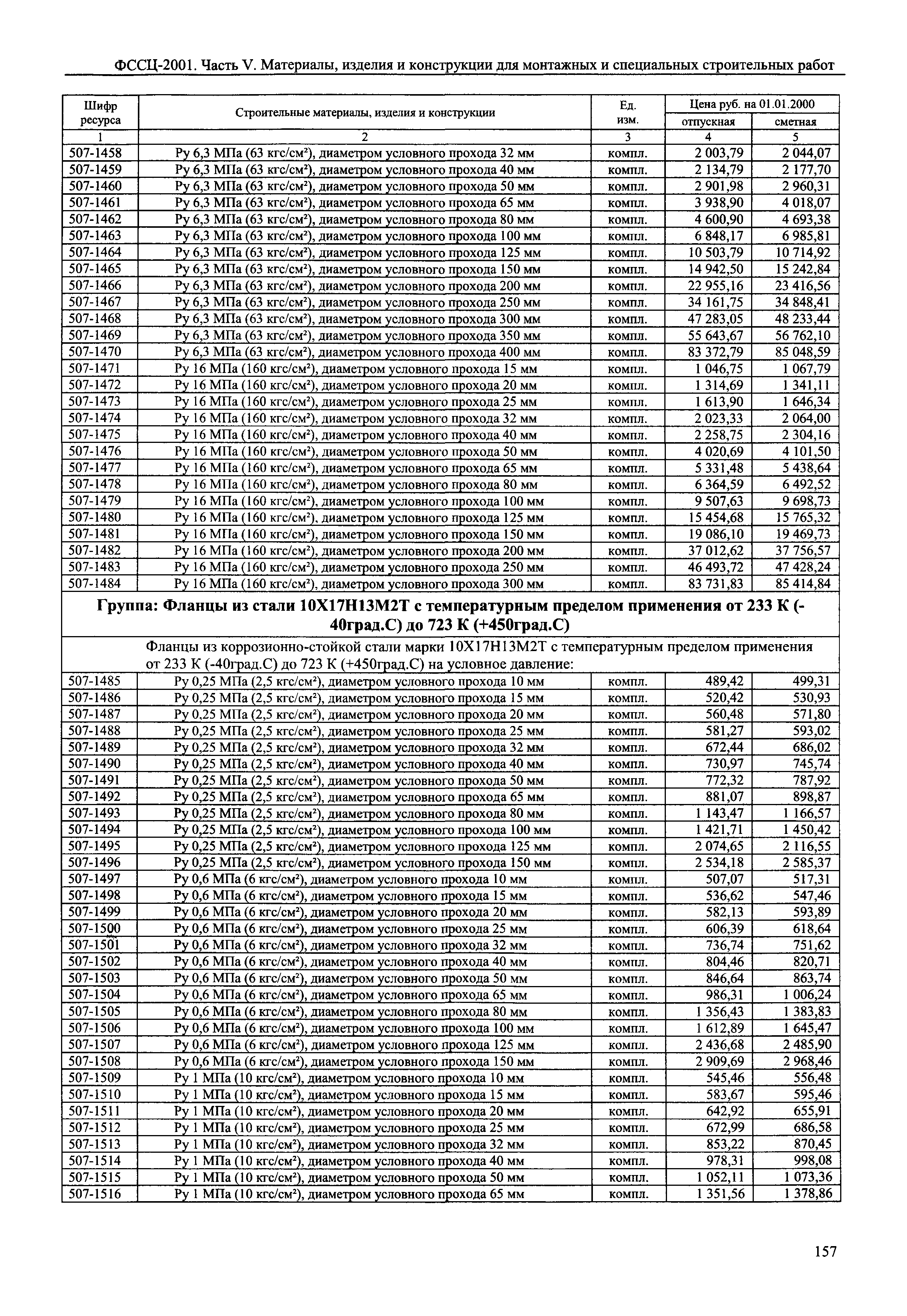
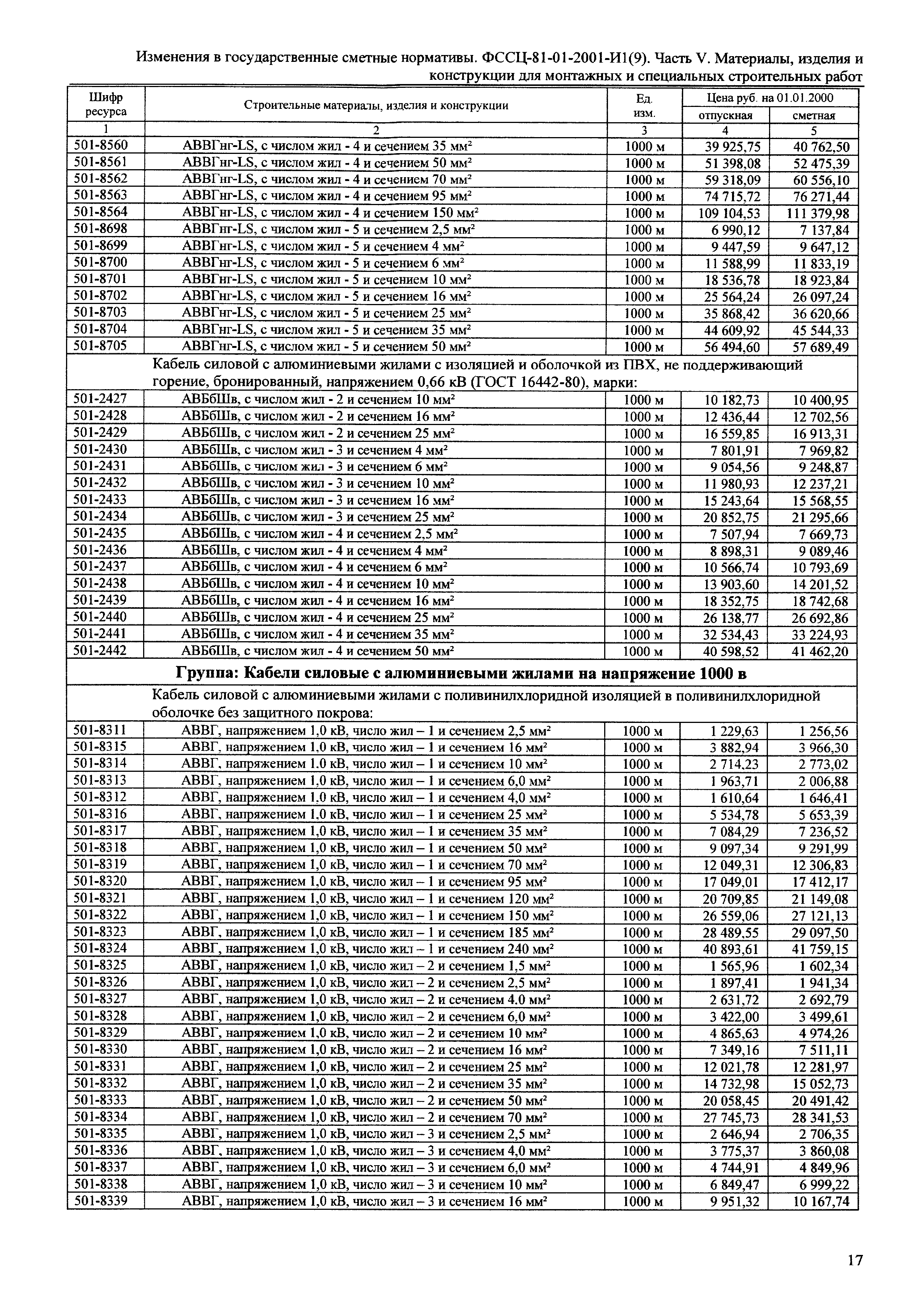
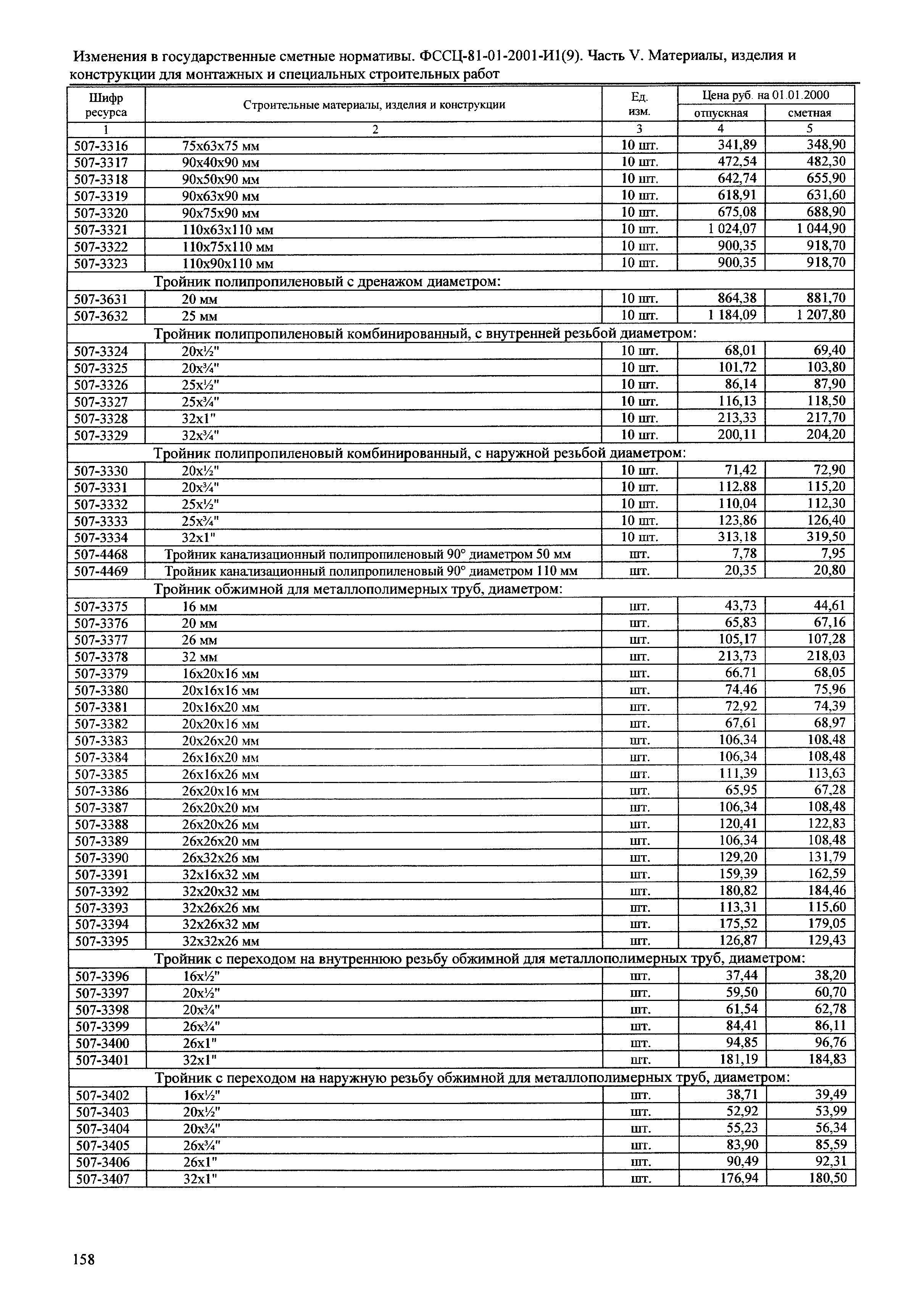
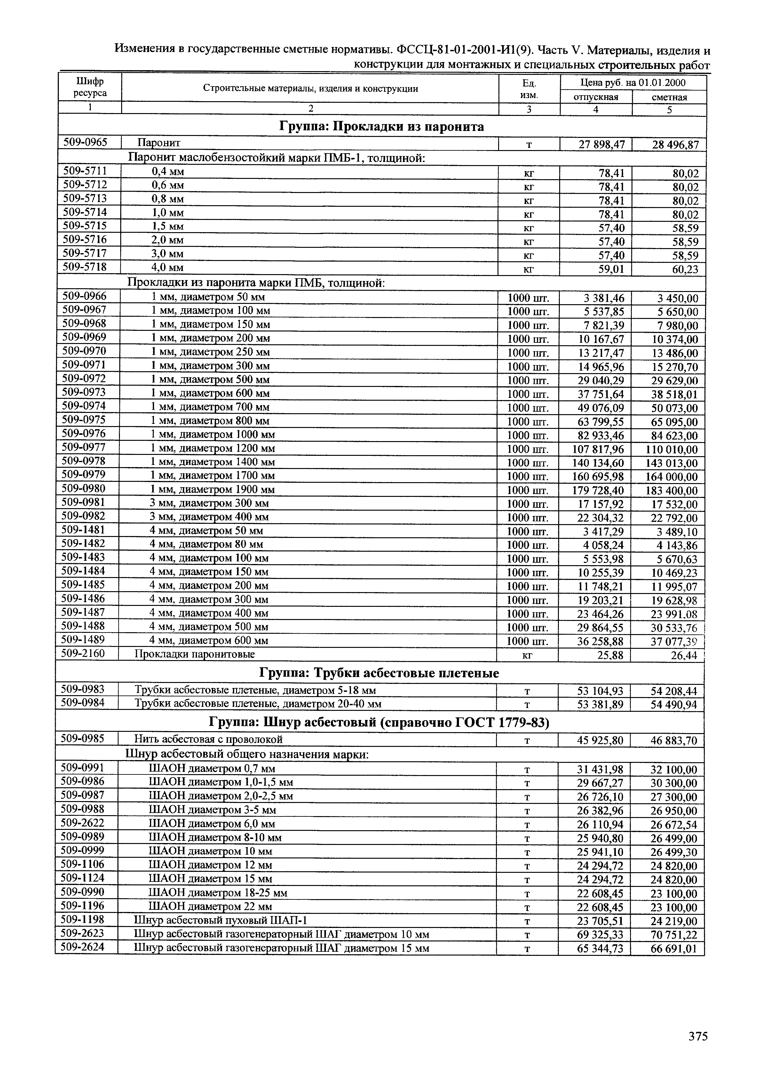
Часть 5. Материалы, изделия и конструкции для монтажных и специальных строительных работ (редакция 2014 года). Материалы, изделия и конструкции для монтажных и специальных строительных работ. Федеральный сборник сметных цен на материалы, изделия и конструкции, применяемые в строительствеОбозначение: | ФССЦ 05-2001 | Обозначение англ: | FSSTs 05-2001 | Статус: | не подлежит применению | Название рус.: | Часть 5. Материалы, изделия и конструкции для монтажных и специальных строительных работ (редакция 2014 года). Материалы, изделия и конструкции для монтажных и специальных строительных работ. Федеральный сборник сметных цен на материалы, изделия и конструкции, применяемые в строительстве | Дата добавления в базу: | 01.10.2014 | Дата актуализации: | 05.05.2017 | Дата введения: | 28.04.2017 | Область применения: | Федеральные сметные цены на материалы, изделия и конструкции, применяемые в строительстве (ФССЦ) предназначены для определения сметной стоимости строительно-монтажных (ремонтно-строительных) работ, а также при разработке Федеральных единичных расценок на строительные, монтажные и ремонтно-строительные работы. | Оглавление: | Раздел 5.01. Кабели Подраздел: Кабели силовые Подраздел: Кабели силовые гибкие Подраздел: Кабели контроля Подраздел: Кабели связи низкочастотные Подраздел: Кабели коаксиальные магистральные Подраздел: Кабели высокочастотные дальней и внутризонной связи, кабели радиофикации и сельской телефонной связи Подраздел: Кабели управления Подраздел: Кабели для теплых полов Подраздел: Кабели монтажные Раздел 5.02. Провода, шнуры, проволока, шины и муфты кабельные Подраздел: Провода Подраздел: Шнуры Подраздел: Проволока, шины Подраздел: Муфты кабельные Раздел 5.03. Линейно-кабельные изделия связи Раздел 5.04. Электроконструкции Раздел 5.06. Прокатно-тянутые изделия из цветных металлов и цветные металлы Подраздел: Ленты Подраздел: Проволока Подраздел: Листы и плиты Подраздел: Прутки из цветных металлов Подраздел: Металлы цветные Подраздел: Полосы Подраздел: Сплавы цветных металлов Раздел 5.07. Трубы, арматура и детали трубопроводов Подраздел: Трубы из цветных металлов Подраздел: Трубы коррозийно-стойкие Подраздел: Трубы стальные Подраздел: Трубы из пластических масс Подраздел: Трубы стеклянные Подраздел: Фасонные части Подраздел: Комплекты ответных стальных плоских приварных фланцев к арматуре трубопроводной Подраздел: Соединительные части технологических трубопроводов Подраздел: Узлы технологических трубопроводов из углеродистых и легированных сталей на Ру 10 МПа (100кгс/см2) Подраздел: Детали трубопроводов Раздел 5.08. Канаты стальные Подраздел: Канаты круглые Подраздел: Канаты закрытые несущие Подраздел: Канаты плоские Подраздел: Канаты стальные по техническим условиям Раздел 5.09. Прочие материалы Подраздел: Изделия специального назначения Подраздел: Аппаратура электрическая низковольтная Подраздел: Источники света Подраздел: Электроизоляционные изделия Подраздел: Асбестовые технические изделия Подраздел: Химическая продукция и нефтепродукты Подраздел: Материалы для магистральных нефтепроводов | Разработан: | Федеральный центр ценообразования в строительстве и промышленности строительных материалов
| Утверждён: | 30.01.2014 Министерство регионального развития Российской Федерации (31/пр)
| Издан: | ООО Стройинформиздат (2014 г. )
| Расположен в: |
| Список изменений: | | Чем заменён: | | Нормативные ссылки: | |
                                                                                                                                                                                                                                                                                                                                                             
Текстовое изменение № 81-01-2001-И1(9)
                                                                                                                                                                                                                                                                                                                                                                                                 
Текстовое изменение № 81-01-2001-И2(10) от 11.12.2016
              
|