| ||||||||||||||||||||||||||||||||||
Скачать ФЕРм 2001-13 Часть 13. Оборудование атомных электрических станций (редакция 2014 г.). Оборудование атомных электрических станций. Книга 1. Федеральные единичные расценки на монтаж оборудованияДата актуализации: 10.08.2017
|
| Обозначение: | ФЕРм 2001-13 |
| Обозначение англ: | FERm 2001-13 |
| Статус: | не подлежит применению |
| Название рус.: | Часть 13. Оборудование атомных электрических станций (редакция 2014 г.). Оборудование атомных электрических станций. Книга 1. Федеральные единичные расценки на монтаж оборудования |
| Дата добавления в базу: | 01.10.2014 |
| Дата актуализации: | 05.05.2017 |
| Дата введения: | 28.04.2017 |
| Область применения: | Федеральные единичные расценки на монтаж оборудования предназначены для определения затрат при выполнении работ по монтажу оборудования и составления на их основе сметных расчетов (смет) на производство указанных работ. |
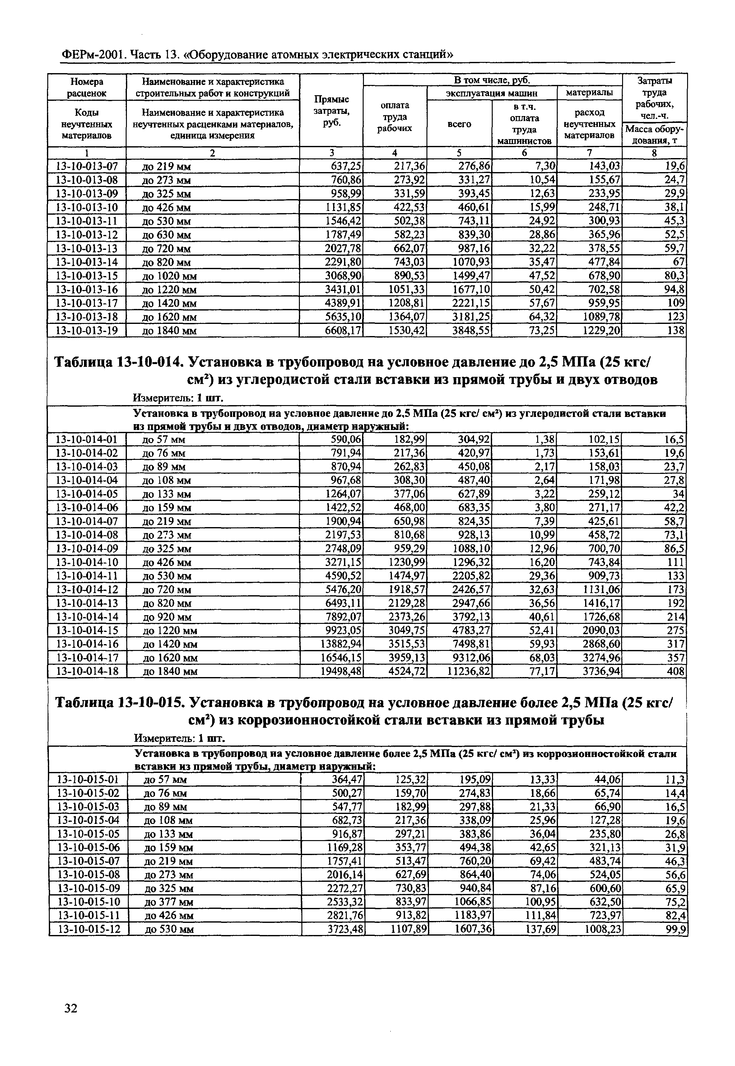
| Оглавление: | Отдел 01. Ядерные паропроизводящие установки Раздел 1. Оборудование с реактором энергетическим водоводяным корпусным (ВВЭР) Раздел 2. Оборудование с реактором энергетическим большой мощности кипящим канальным (РБМК) Отдел 02. Оборудование вспомогательных систем реакторных установок, спецводоочистки, водоподготовки, установки битумирования и хранилища радиоактивных отходов Отдел 03. Агрегаты паротурбинные Раздел 1. Турбины паровые стационарные Раздел 2. Конденсаторы Раздел 3. Турбогенераторы Отдел 04. Оборудование вспомогательное турбинное машинного зала и деаэраторного отделения Отдел 05. Трубопроводы Раздел 1. Трубопроводы из деталей Раздел 2. Трубопроводы из узлов и блоков сварных Раздел 3. Маслопроводы Раздел 4. Трубопроводы наружные Отдел 06. Арматура Раздел 1. Арматура приварная Раздел 2. Арматура фланцевая и смотровые лазы Отдел 07. Приводы дистанционные Раздел 1. Дистанционные ручные приводы Раздел 2. Дистанционные электроприводы Отдел 08. Проходки Раздел 1. Проходки штоковые (арматурные) Раздел 2. Проходки герметичные трубопроводов Раздел 3. Изделия закладные трубопроводов герметичной зоны системы локализации аварий Отдел 09. Амортизаторы Отдел 10. Разные работы Отдел 11. Оборудование биологической защиты Отдел 12. Резервная дизель-генераторная |
| Разработан: | Федеральный центр ценообразования в строительстве и промышленности строительных материалов |
| Утверждён: | 30.01.2014 Минстрой России (Russian Federation Minstroy 31/пр) |
| Издан: | ООО Стройинформиздат (2014 г. ) |
| Расположен в: | |
| Чем заменён: | |
| Нормативные ссылки: |














































