| ||||||||||||||||||||||||||||||||||
Скачать ГОСТ Р 55828-2013 Ресурсосбережение. Наилучшие доступные технологии. Ликвидация отработавших свинцово-кислотных батарейДата актуализации: 10.08.2017
|
| Обозначение: | ГОСТ Р 55828-2013 |
| Обозначение англ: | GOST R 55828-2013 |
| Статус: | введен впервые |
| Название рус.: | Ресурсосбережение. Наилучшие доступные технологии. Ликвидация отработавших свинцово-кислотных батарей |
| Название англ.: | Resources saving. Best available techniques for the management of waste lead-acid batteries |
| Дата добавления в базу: | 21.05.2015 |
| Дата актуализации: | 05.05.2017 |
| Дата введения: | 01.01.2015 |
| Область применения: | Стандарт устанавливает основные принципы ликвидации отработавших свинцово-кислотных батарей с применением наилучших доступных технологий рециркуляции (утилизации) свинца с удалением образующихся опасных отходов. Стандарт распространяется на этапы технологического цикла отходов от отработавших свинцово-кислотных батарей, реализуемых на лицензированных для этих целей объектах. Положения, установленные в стандарте, предназначены для добровольного применения в нормативно-правовой, нормативной, технической и проектно-конструкторской документации, а также в научно-технической, учебной и справочной литературе применительно к процессам ликвидации изделий после их использования по назначению на этапах технологического цикла отходов с вовлечением соответствующих ресурсов в хозяйственную деятельность в качестве вторичного сырья, обеспечивая при этом защиту окружающей среды и здоровья людей. |
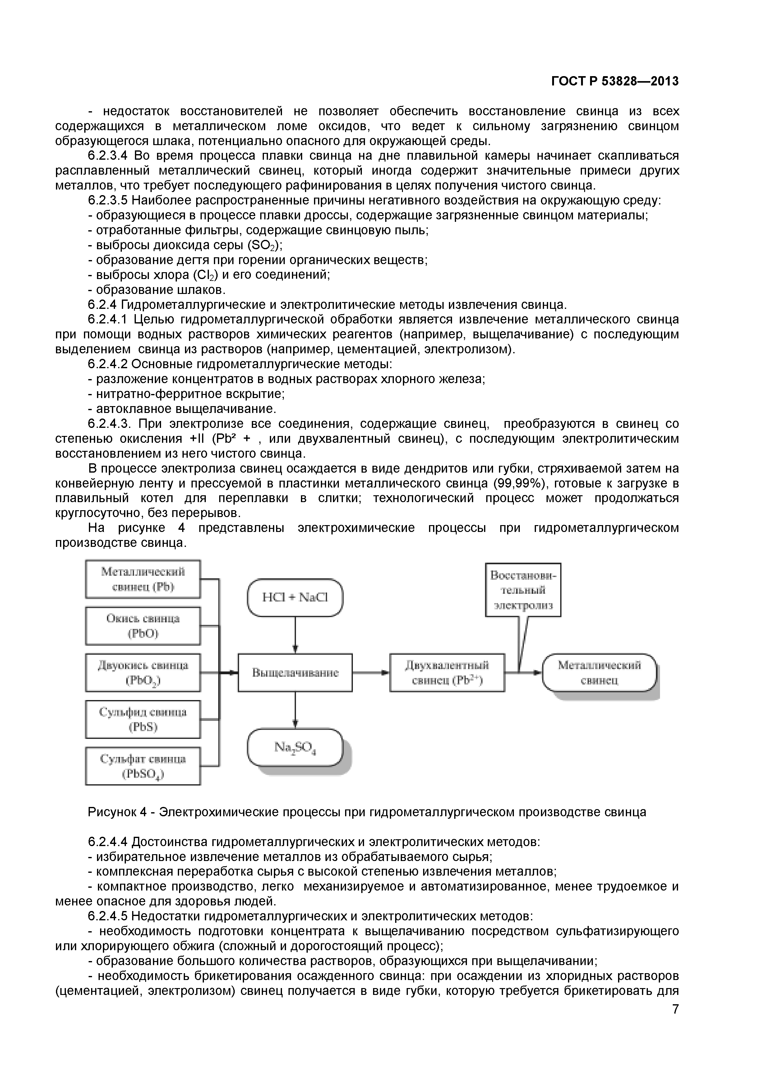
| Оглавление: | 1 Область применения 2 Нормативные ссылки 3 Термины и определения 4 Технические сведения о сроке службы свинцово-кислотных батарей 5 Этапы технологического цикла, предшествующие ликвидации отработавших свинцово-кислотных батарей 6 Наилучшие технологии ликвидации рециркуляции отработавших свинцово-кислотных батарей с учетом рециркуляции свинца 7 Предотвращение и снижение негативных воздействий на окружающую среду при рециркуляции свинца 8 Меры экологического управления и объекты производственного экологического контроля 9 Ожидаемые эффекты от утилизации отработавших свинцово-кислотных батарей с учетом процессов рециркуляции Библиография |
| Разработан: | ФГУП ВНИИЦСМВ ЗАО ИНЭКО |
| Утверждён: | 22.11.2013 Федеральное агентство по техническому регулированию и метрологии (1765-ст) |
| Издан: | Стандартинформ (2014 г. ) |
| Расположен в: | |
| Нормативные ссылки: |
|


















