Информационная система
«Ёшкин Кот»

Скачать базу одним архивом
Скачать обновления
История создания базы
Карта сайта

Скачать ГОСТ 32406-2013 Инструмент алмазный и из кубического нитрида бора. Требования безопасности

Дата актуализации: 10.08.2017

ГОСТ 32406-2013

Инструмент алмазный и из кубического нитрида бора. Требования безопасности

Обозначение: ГОСТ 32406-2013
Обозначение англ: GOST 32406-2013
Статус:введен впервые
Название рус.:Инструмент алмазный и из кубического нитрида бора. Требования безопасности
Название англ.:Diamond and cubic boron nitride tools. Safety requirements
Дата добавления в базу:01.10.2014
Дата актуализации:05.05.2017
Дата введения:01.01.2015
Область применения:Стандарт распространяется на алмазные и из кубического нитрида бора шлифовальные круги на керамической (V), органической (В), металлической (М), гальванической (G) связках, отрезные круги на органической (В), металлической (М), гальванической (G) связках, а также алмазные шлифовальные головки на керамической (V), органической (В), металлической (М) связках.
Оглавление:1 Область применения
2 Нормативные ссылки
3 Термины и определения
4 Перечень опасностей
5 Требования безопасности и меры защиты
6 Проверка соответствия требований безопасности
7 Информация для потребителя
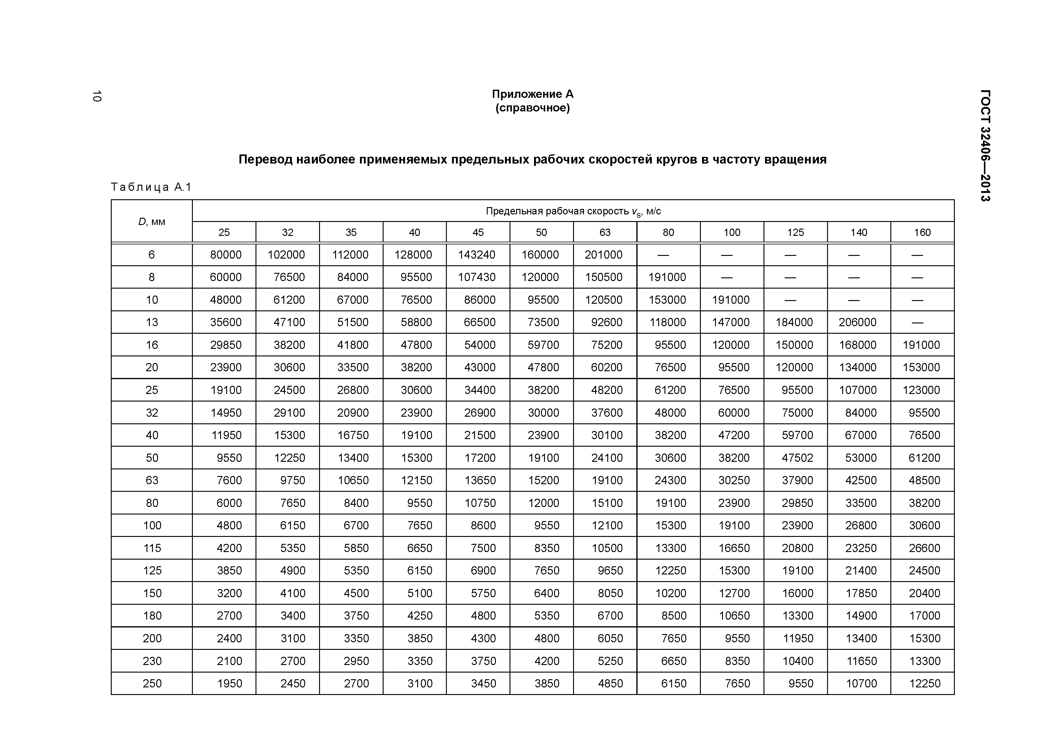
Приложение А (справочное) Перевод наиболее применяемых предельных рабочих скоростей кругов в частоту вращения
Разработан: ФГУП ВНИИНМАШ
Утверждён:05.11.2013 Межгосударственный Совет по стандартизации, метрологии и сертификации (Inter-Governmental Council on Standardization, Metrology, and Certification 61-П)
12.02.2014 Федеральное агентство по техническому регулированию и метрологии (22-ст)
Издан: Стандартинформ (2014 г. )
Расположен в:Техническая документация Электроэнергия ОХРАНА ОКРУЖАЮЩЕЙ СРЕДЫ, ЗАЩИТА ЧЕЛОВЕКА ОТ ВОЗДЕЙСТВИЯ ОКРУЖАЮЩЕЙ СРЕДЫ. БЕЗОПАСНОСТЬ Безопасность профессиональной деятельности. Промышленная гигиена Экология ОХРАНА ОКРУЖАЮЩЕЙ СРЕДЫ, ЗАЩИТА ЧЕЛОВЕКА ОТ ВОЗДЕЙСТВИЯ ОКРУЖАЮЩЕЙ СРЕДЫ. БЕЗОПАСНОСТЬ Безопасность профессиональной деятельности. Промышленная гигиена
Список изменений:
Нормативные ссылки:
ГОСТ 32406-2013ГОСТ 32406-2013ГОСТ 32406-2013ГОСТ 32406-2013ГОСТ 32406-2013ГОСТ 32406-2013ГОСТ 32406-2013ГОСТ 32406-2013ГОСТ 32406-2013ГОСТ 32406-2013ГОСТ 32406-2013ГОСТ 32406-2013ГОСТ 32406-2013ГОСТ 32406-2013ГОСТ 32406-2013ГОСТ 32406-2013ГОСТ 32406-2013

Текстовое изменение Поправка от 20.02.2016

Поправка

© 2013 Ёшкин Кот :-) Карта сайта