| ||||||||||||||||||||||||||||||||
Скачать ГОСТ 32382-2013 Методы испытаний химической продукции, представляющей опасность для окружающей среды. ГидролизДата актуализации: 10.08.2017
|
| Обозначение: | ГОСТ 32382-2013 |
| Обозначение англ: | GOST 32382-2013 |
| Статус: | действует |
| Название рус.: | Методы испытаний химической продукции, представляющей опасность для окружающей среды. Гидролиз |
| Название англ.: | Testing of chemicals of environmental hazard. Hydrolysis |
| Дата добавления в базу: | 01.10.2014 |
| Дата актуализации: | 05.05.2017 |
| Дата введения: | 01.08.2014 |
| Область применения: | Стандарт устанавливает метод лабораторного анализа для оценки абиотических гидролитических превращений химических веществ в водных системах при значениях pH, встречающихся в окружающей среде (pH 4 – 9). |
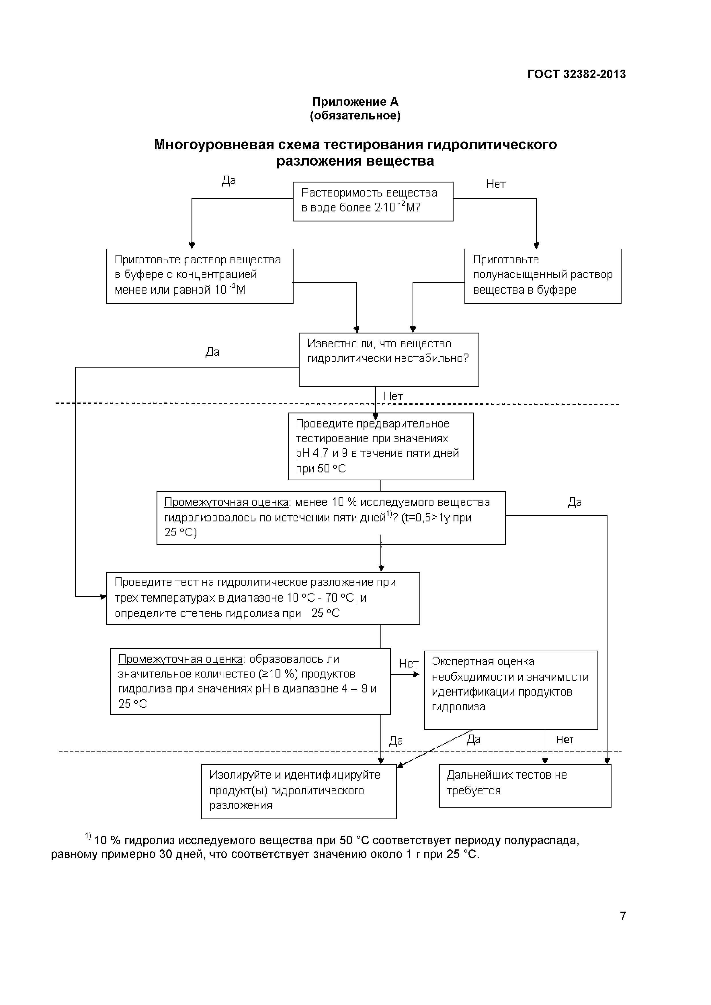
| Оглавление: | 1 Область применения 2 Термины и определения 3 Общие положения 4 Описание метода исследования 5 Данные и отчетность Приложение А (обязательное) Многоуровневая схема тестирования гидролитического разложения веществ Приложение В (обязательное) Единицы измерения Приложение С (рекомендуемое) Буферные системы Библиография |
| Разработан: | ФГУП ВНИЦ СМВ |
| Утверждён: | 18.10.2013 Межгосударственный Совет по стандартизации, метрологии и сертификации (Inter-Governmental Council on Standardization, Metrology, and Certification 60-П) 22.11.2013 Федеральное агентство по техническому регулированию и метрологии (789-ст) |
| Издан: | Стандартинформ (2014 г. ) |
| Расположен в: |

















