Информационная система
«Ёшкин Кот»

Скачать базу одним архивом
Скачать обновления
История создания базы
Карта сайта

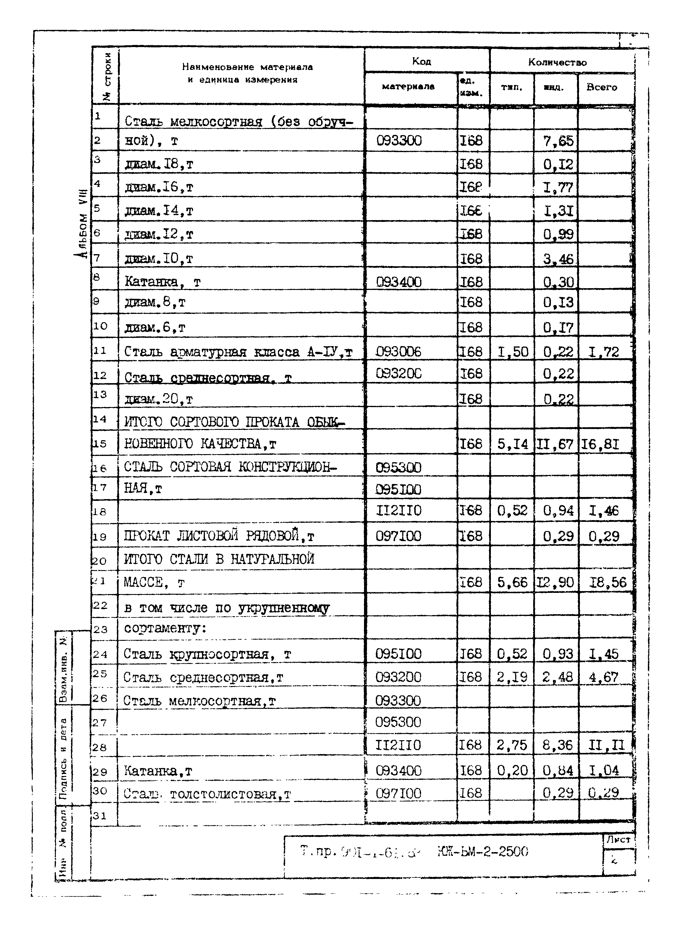
Скачать Типовой проект 901-4-61.83 Альбом VIII. Ведомость потребности в материалах

Дата актуализации: 10.08.2017

Типовой проект 901-4-61.83

Альбом VIII. Ведомость потребности в материалах

Обозначение: Типовой проект 901-4-61.83
Обозначение англ: 901-4-61.83
Статус:действует
Название рус.:Альбом VIII. Ведомость потребности в материалах
Дата добавления в базу:01.10.2014
Дата актуализации:05.05.2017
Оглавление:Пояснительная записка
КЖ-ВМ-1-2500 Конструкции железобетонные монолитные резервуара емкостью 2500 куб. м
КЖ-ВМ-2-2500 Конструкции железобетонные сборные резервуара емкостью 2500 куб. м
Т-ВМ-1-2500 Технологические трубопроводы для резервуара емкостью 2500 куб. м
КЖ-ВМ-1-3200 Конструкции железобетонные монолитные резервуара емкостью 3200 куб. м
КЖ-ВМ-2-3200 Конструкции железобетонные сборные резервуара емкостью 3200 куб. м
Т-ВМ-1-3200 Технологические трубопроводы для резервуара емкостью 3200 куб. м
КЖ-ВМ-1-3900 Конструкции железобетонные монолитные резервуара емкостью 3900 куб. м
КЖ-ВМ-2-3900 Конструкции железобетонные сборные резервуара емкостью 3900 куб. м
Т-ВМ-1-3900 Технологические трубопроводы для резервуара емкостью 3900 куб. м
КМ-ВМ-1-2500-3900 Конструкции металлические резервуаров емкостью 2500 - 3900 куб. м
Разработан: ЦНИИпромзданий
НИИЖБ
Союзводоканалниипроект
Утверждён:17.11.1978 Госстрой СССР (Государственный комитет Совета Министров СССР по делам строительства) (USSR Gosstroy 2/3-409)
Расположен в:Техническая документация Строительство Справочные документы Типовые строительные конструкции, изделия и узлы Общероссийский строительный каталог Промышленные предприятия, здания и сооружения Здания и сооружения санитарно-технические Водоснабжение Резервуары для воды
Типовой проект 901-4-61.83Типовой проект 901-4-61.83Типовой проект 901-4-61.83Типовой проект 901-4-61.83Типовой проект 901-4-61.83Типовой проект 901-4-61.83Типовой проект 901-4-61.83Типовой проект 901-4-61.83Типовой проект 901-4-61.83Типовой проект 901-4-61.83Типовой проект 901-4-61.83Типовой проект 901-4-61.83Типовой проект 901-4-61.83Типовой проект 901-4-61.83Типовой проект 901-4-61.83Типовой проект 901-4-61.83Типовой проект 901-4-61.83Типовой проект 901-4-61.83Типовой проект 901-4-61.83Типовой проект 901-4-61.83Типовой проект 901-4-61.83Типовой проект 901-4-61.83Типовой проект 901-4-61.83Типовой проект 901-4-61.83

© 2013 Ёшкин Кот :-) Карта сайта