| ||||||||||||||||||||||||||||||||||
Скачать ГОСТ Р ИСО/ТС 10303-1175-2012 Системы автоматизации производства и их интеграция. Представление данных об изделии и обмен этими данными. Часть 1175. Прикладной модуль. Структура отдельного действияДата актуализации: 10.08.2017
|
| Обозначение: | ГОСТ Р ИСО/ТС 10303-1175-2012 |
| Обозначение англ: | GOST R ISO/TS 10303-1175-2012 |
| Статус: | действует |
| Название рус.: | Системы автоматизации производства и их интеграция. Представление данных об изделии и обмен этими данными. Часть 1175. Прикладной модуль. Структура отдельного действия |
| Название англ.: | Industrial automation systems and integration. Product data representation and exchange. Part 1175. Application module. Individual activity structure |
| Дата добавления в базу: | 01.10.2014 |
| Дата актуализации: | 05.05.2017 |
| Дата введения: | 01.07.2013 |
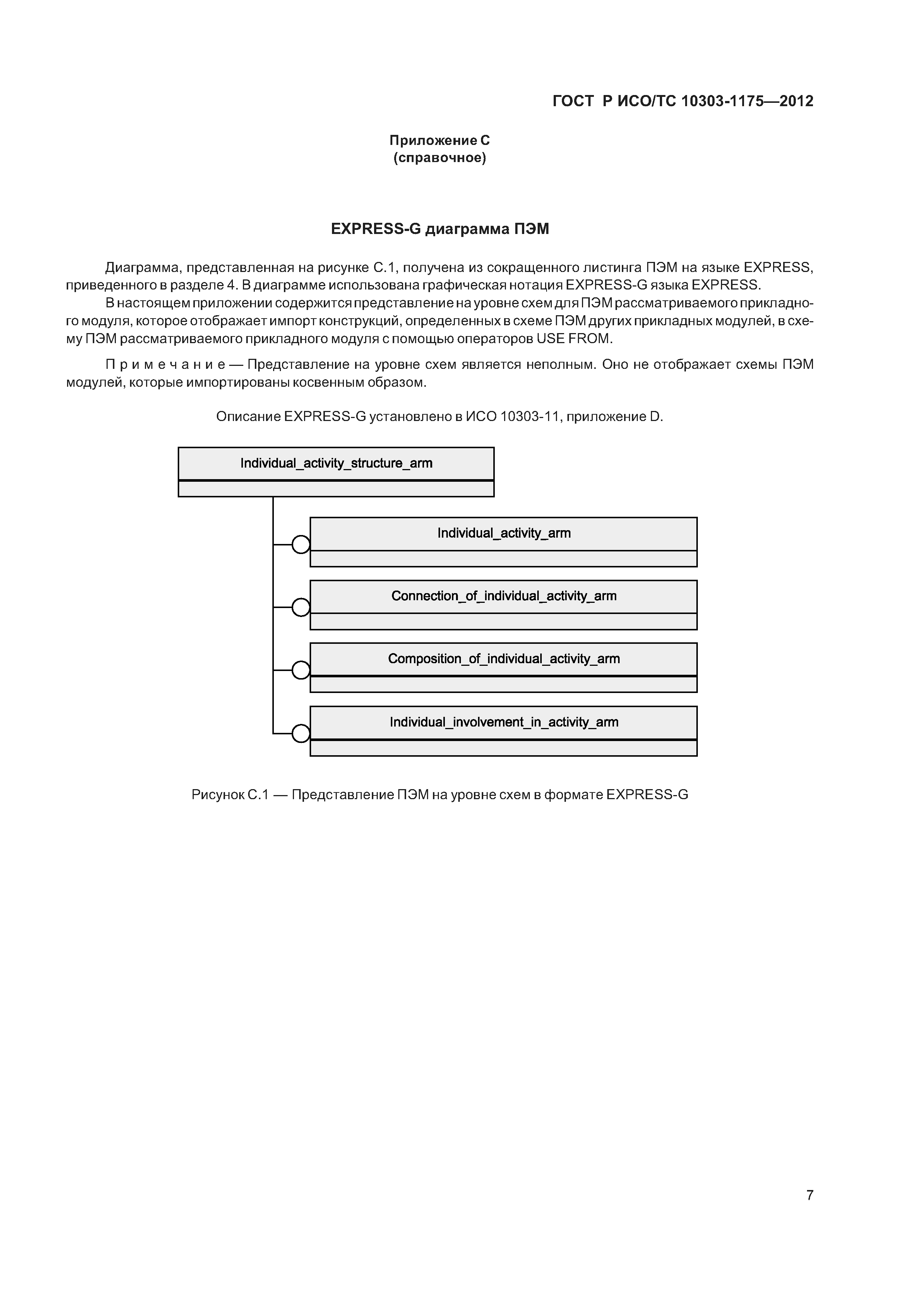
| Область применения: | Стандарт определяет прикладной модуль «Структура отдельного действия». |
| Оглавление: | 1 Область применения 2 Нормативные ссылки 3 Термины и сокращения 3.1 Термины, определенные в ИСО 10303-1 3.2 Термин, определенный в ИСО 10303-202 3.3 Термины, определенные в ИСО/ТС 10303-1001 3.4 Термин, определенный в ИСО/ТС 10303-1017 3.5 Сокращения 4 Информационные требования 4.1 Прикладные эталонные модели, необходимые для прикладного модуля 5 Интерпретированная модель модуля 5.1 Спецификация отображения 5.2 Сокращенный листинг ИММ на языке EXPRESS Приложение А обязательное) Сокращенные наименования объектов ИММ Приложение В (обязательное) Регистрация информационных объектов Приложение С (справочное) EXPRESS-G диаграмма ПЭМ Приложение D (справочное) EXPRESS-G диаграмма ИММ Приложение Е (справочное) Машинно-интерпретируемые листинги Приложение ДА (справочное) Сведения о соответствии ссылочных международных стандартов и документов национальным стандартам Российской Федерации |
| Разработан: | ООО Корпоративные электронные системы |
| Утверждён: | 29.10.2012 Федеральное агентство по техническому регулированию и метрологии (575-ст) |
| Издан: | Стандартинформ (2014 г. ) |
| Расположен в: | |
| Нормативные ссылки: |
|















