| ||||||||||||||||||||||||||||||||||
Скачать ГОСТ Р ИСО/ТС 10303-1173-2012 Системы автоматизации производства и их интеграция. Представление данных об изделии и обмен этими данными. Часть 1173. Прикладной модуль. Класс участия в действииДата актуализации: 10.08.2017
|
| Обозначение: | ГОСТ Р ИСО/ТС 10303-1173-2012 |
| Обозначение англ: | GOST R ISO/TS 10303-1173-2012 |
| Статус: | действует |
| Название рус.: | Системы автоматизации производства и их интеграция. Представление данных об изделии и обмен этими данными. Часть 1173. Прикладной модуль. Класс участия в действии |
| Название англ.: | Industrial automation systems and integration. Product data representation and exchange. Part 1173. Application module. Class of involvement in activity |
| Дата добавления в базу: | 01.10.2014 |
| Дата актуализации: | 05.05.2017 |
| Дата введения: | 01.07.2013 |
| Область применения: | Стандарт определяет прикладной модуль «Класс участия в действии». В область применения настоящего стандарта входит отображение между классом действий и классом изделий, документов, организаций или сотрудников, показывающее природу участия в действии. |
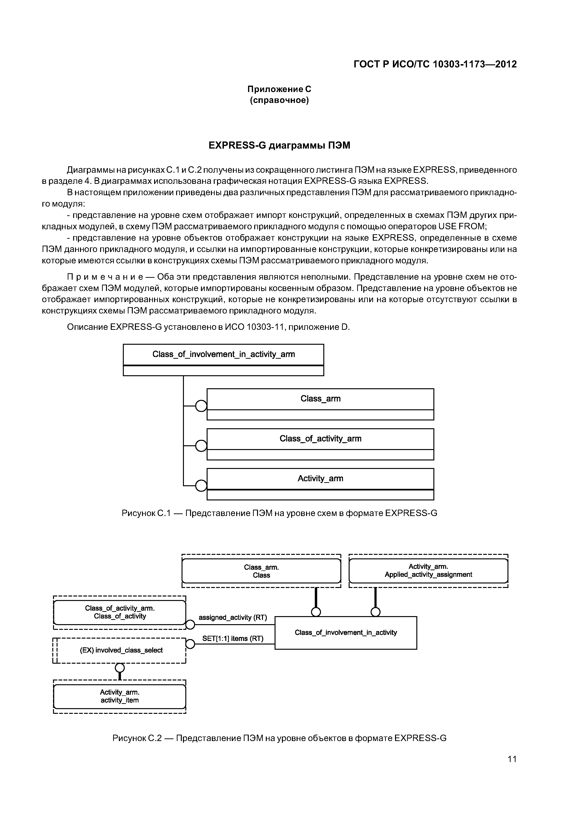
| Оглавление: | 1 Область применения 2 Нормативные ссылки 3 Термины и сокращения 3.1 Термины, определенные в ИСО 10303-1 3.2 Термин, определенный в ИСО 10303-202 3.3 Термины, определенные в ИСО/ТС 10303-1001 3.4 Термин, определенный в ИСО/ТС 10303-1017 3.5 Сокращения 4 Информационные требования 4.1 Прикладные эталонные модели, необходимые для прикладного модуля 4.2 Определение типа данных ПЭМ 4.3 Определение объекта ПЭМ 5 Интерпретированная модель модуля 5.1 Спецификация отображения 5.2 Сокращенный листинг ИММ на языке EXPRESS Приложение А (обязательное) Сокращенное наименование объекта ИММ Приложение B (обязательное) Регистрация информационных объектов Приложение C (справочное) EXPRESS-G диаграммы ПЭМ Приложение D (справочное) EXPRESS-G диаграммы ИММ Приложение Е (справочное) Машинно-интерпретируемые листинги Приложение ДА (справочное) Сведения о соответствии ссылочных международных стандартов и документов национальным стандартам Российской Федерации Библиография |
| Разработан: | ООО Корпоративные электронные системы |
| Утверждён: | 29.10.2012 Федеральное агентство по техническому регулированию и метрологии (573-ст) |
| Издан: | Стандартинформ (2014 г. ) |
| Расположен в: | |
| Нормативные ссылки: |
|



















