| ||||||||||||||||||||||||||||
Скачать ТССЦ Ямало-Ненецкий автономный округ 03-2001 Часть 3. Материалы и изделия для санитарно-технических работДата актуализации: 10.08.2017
|
| Обозначение: | ТССЦ Ямало-Ненецкий автономный округ 03-2001 |
| Обозначение англ: | 03-2001 |
| Статус: | действует |
| Название рус.: | Часть 3. Материалы и изделия для санитарно-технических работ |
| Дата добавления в базу: | 01.10.2014 |
| Дата актуализации: | 05.05.2017 |
| Область применения: | Территориальные сметные цены на материалы, изделия и конструкции, применяемые в строительстве (ТССЦ) предназначен для определения сметной стоимости строительно-монтажных (ремонтно-строительных) работ, а также при разработке Территориальных расценок на строительные монтажные и ремонтно-строительные работы |
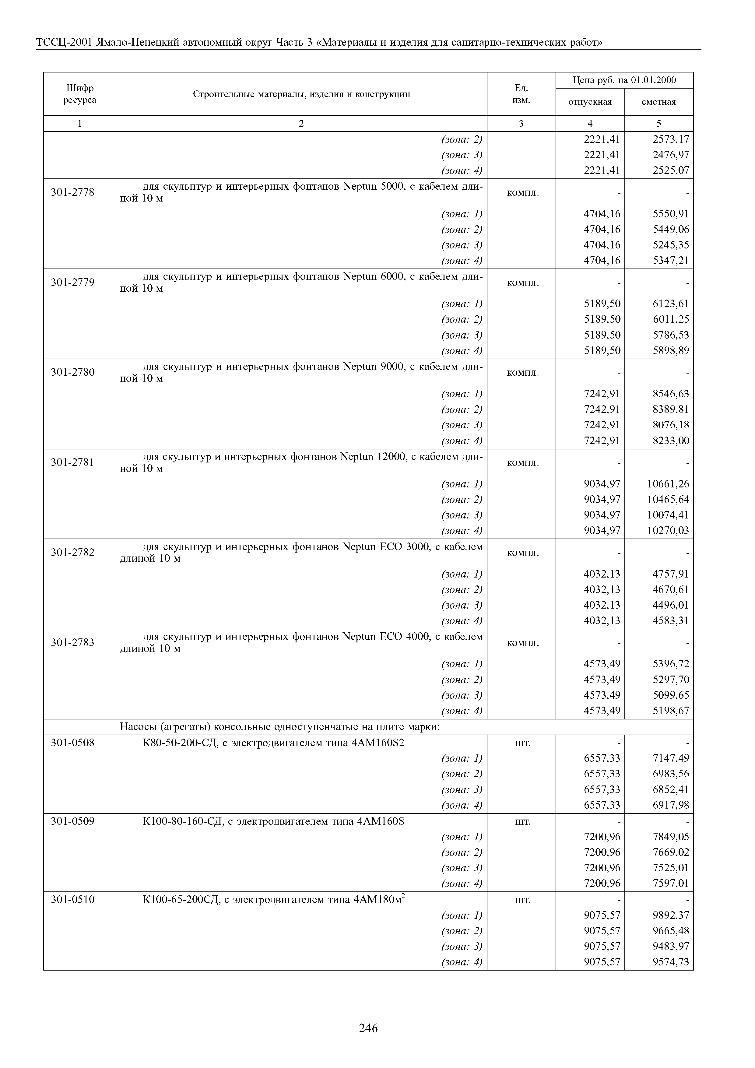
| Оглавление: | Раздел: 3.01. Санитарно-технические материалы и изделия Подраздел: Санитарно-технические материалы и изделия Группа: Агрегаты отопительные и вентиляционные Группа: Аппараты водонагревательные, водоподогреватели, колонки водогрейные Группа: Баки и поддоны для воды Группа: Баки расширительные и конденсационные Группа: Баллоны для сжиженных газов Группа: Вентиляторы Группа: Виброизоляторы, вставки, глушители шума, пластины шумопоглащающие, сетки Группа: Водомеры (счетчики) Группа: Воздуховоды, воздухоотводы, воздухораспределители, воздухосборники Группа: Воронки Группа: Газогорелочное оборудование Группа: Гребенки паро-водораспределительные Группа: Грязевики Группа: Дефлекторы Группа: Диафрагмы камерные Группа: Заглушки Группа: Заслонки Группа: Затворы гидравлические Группа: Зонты Группа: Калориферы Группа: Камеры Группа: Клапаны Группа: Компенсаторы Группа: Конвекторы отопительные Группа: Кондиционеры Группа: Конденсатоотводчики и комплектующие Группа: Котлы Группа: Крепления Группа: Мусоропровод Группа: Насосы Группа: Отсосы Группа: Плиты газовые Группа: Счетчики газовые Группа: Полотенцесушители Группа: Приборы вентиляционных камер и шахт Группа: Приборы печные Группа: Прочие санитарно-технические материалы, изделия и приборы Группа: Радиаторы, изделия для радиаторов и их монтажа Группа: Регистры отопительные Группа: Рукава, стволы и головки для рукавов Группа: Трапы Группа: Фильтры Группа: Циклоны Группа: Шиберы Подраздел: Санитарно-технические приборы и комплектующие Группа: Бачки смывные Группа: Биде, унитазы, писсуары Группа: Ванны Группа: Кабины и поддоны душевые Группа: Мойки и умывальники Группа: Прочие санитарно-технические приборы и комплектующие Группа: Раковины Группа: Смесители Раздел: 3.02. Трубопроводы, арматура, фасонные и соединительные части Группа: Вентили Группа: Водомеры в трубной обвязке Группа: Задвижки Группа: Конденсатоотводчики в трубной обвязке Группа: Краны Группа: Прочие элементы Группа: Регулятор давления и изделия для монтажа Группа: Оборудование и материалы оперативно-дистанционного контроля (ОДК) трубопроводных систем Группа: Соединительная арматура трубопроводов |
| Разработан: | Сибирский центр ценообразования в строительстве, промышленности и энергетике |
| Утверждён: | 13.10.2011 Правительство Ямало-Ненецкого автономного округа (755-п) |
| Принят: | 30.05.2011 Министерство регионального развития Российской Федерации (13996-КК/08) |
| Расположен в: |












































































































































































































































































































































































































































