| ||||||||||||||||||||||||||||
Скачать ТСЦПГ Ямало-Ненецкий автономный округ 2001 Часть 1. Автомобильные перевозкиДата актуализации: 10.08.2017
|
| Обозначение: | ТСЦПГ Ямало-Ненецкий автономный округ 2001 |
| Обозначение англ: | 2001 |
| Статус: | действует |
| Название рус.: | Часть 1. Автомобильные перевозки |
| Дата добавления в базу: | 01.10.2014 |
| Дата актуализации: | 05.05.2017 |
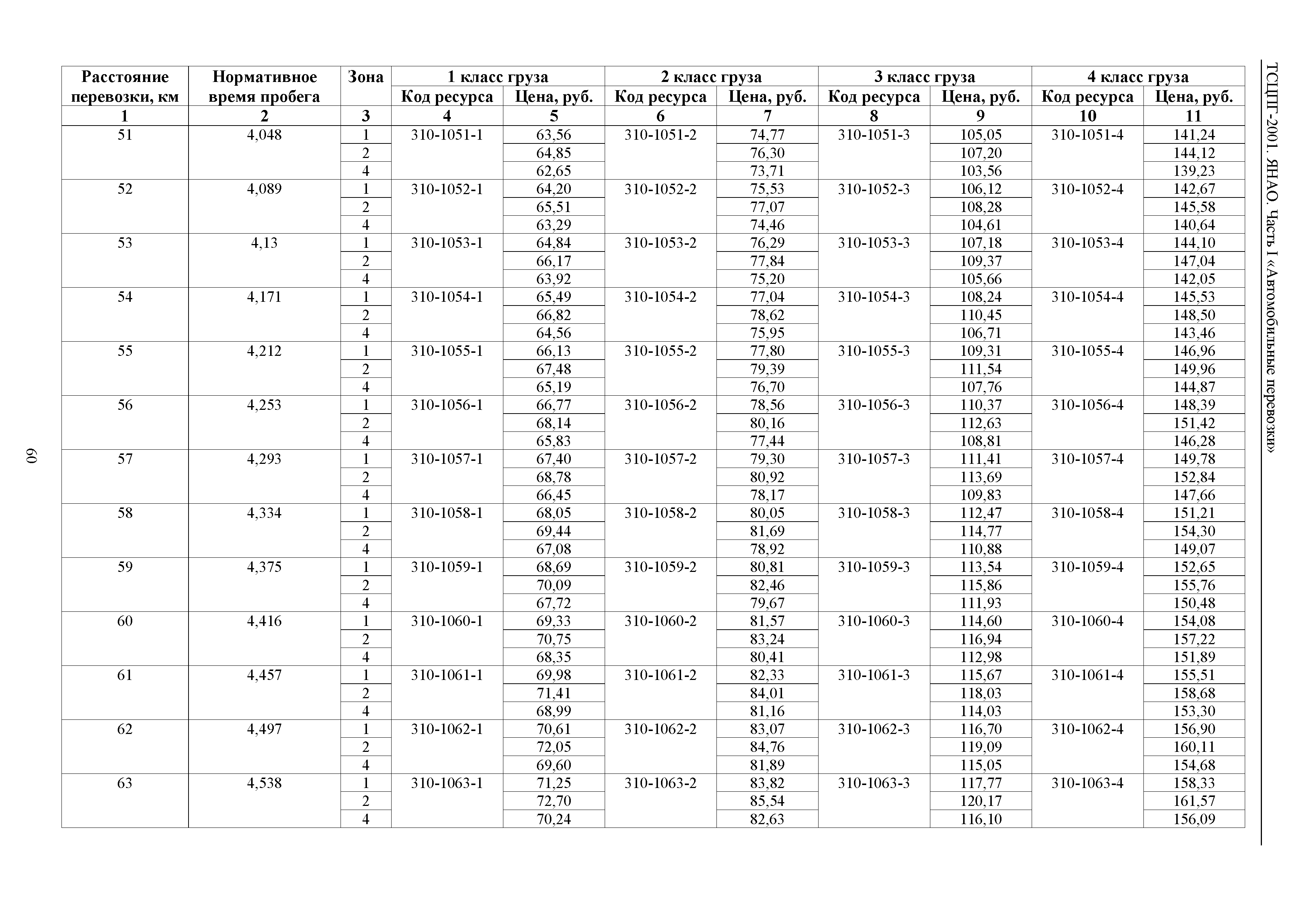
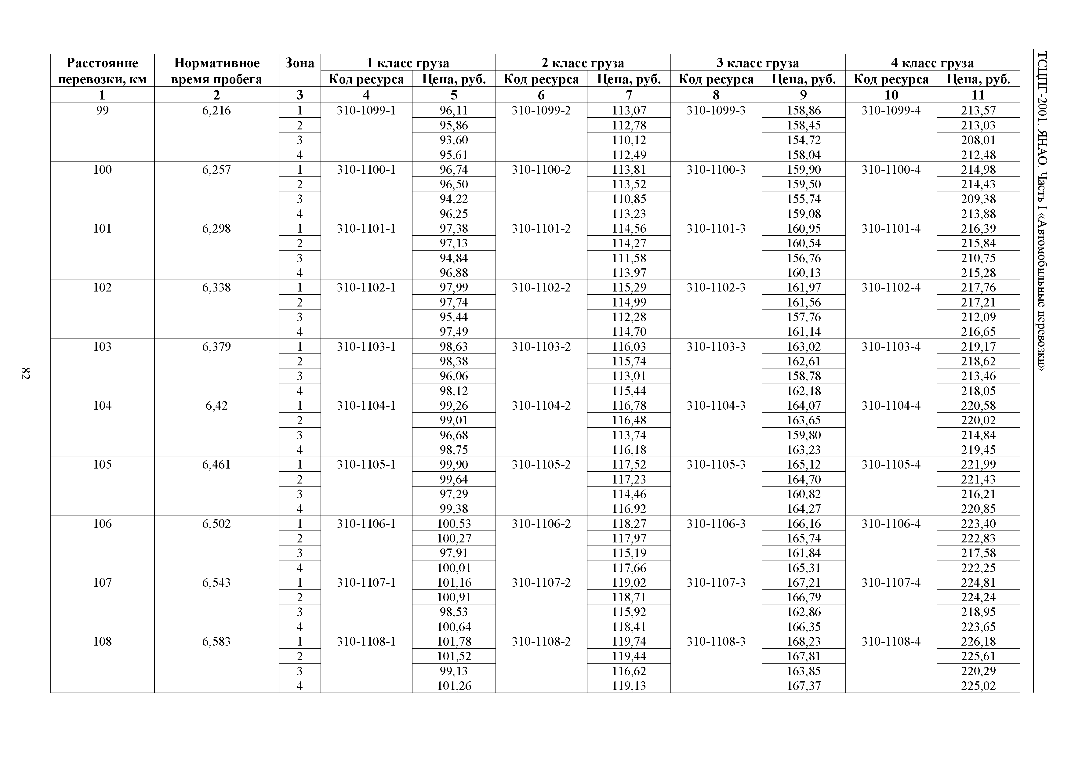
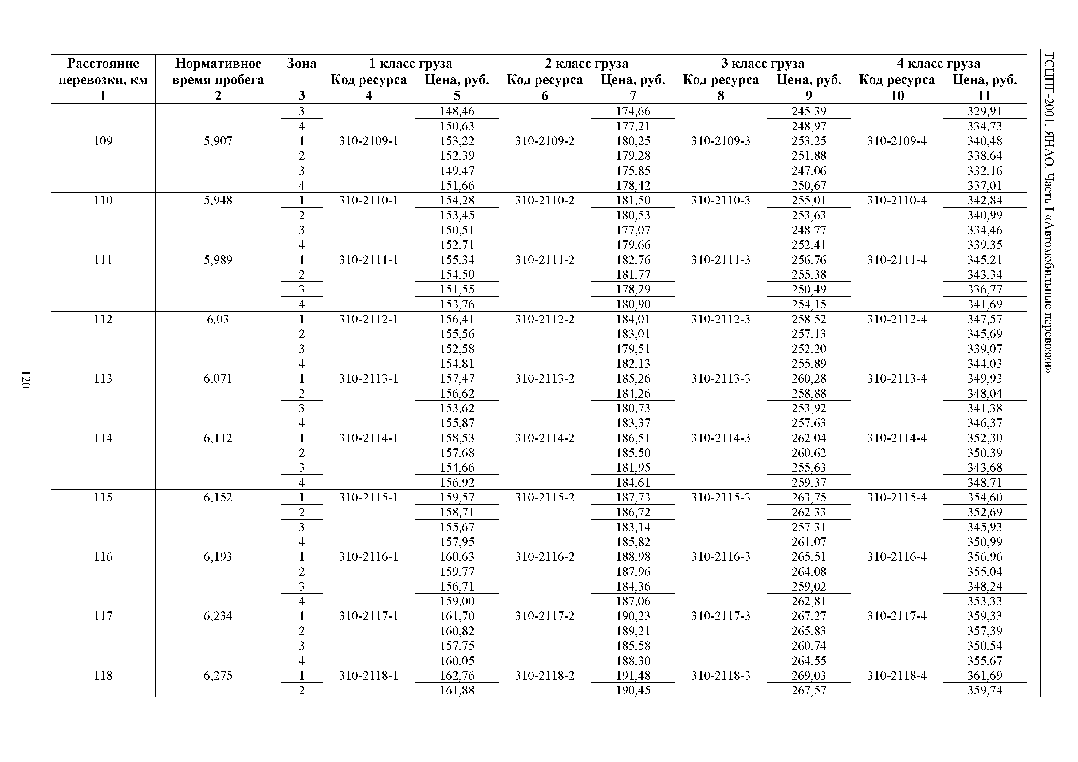
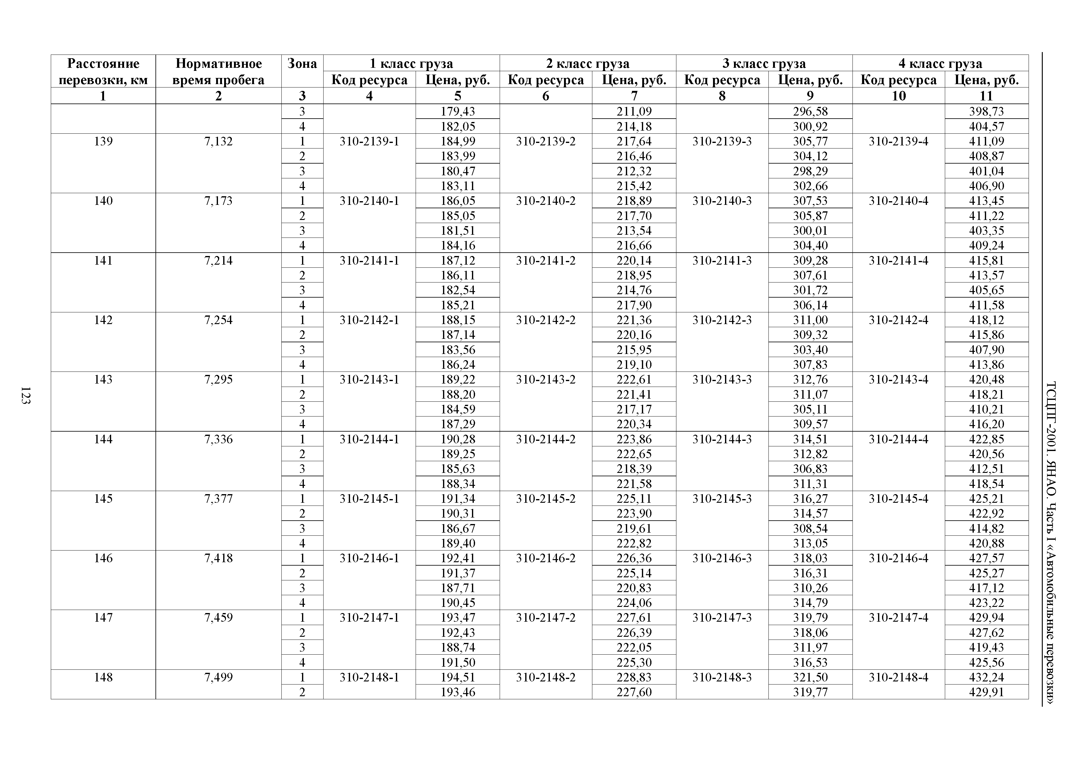
| Область применения: | Территориальный сборник сметных цен на перевозки грузов для строительства (ТСЦПГ) предназначен для определения затрат на перевозки строительных грузов автомобильным транспортом |
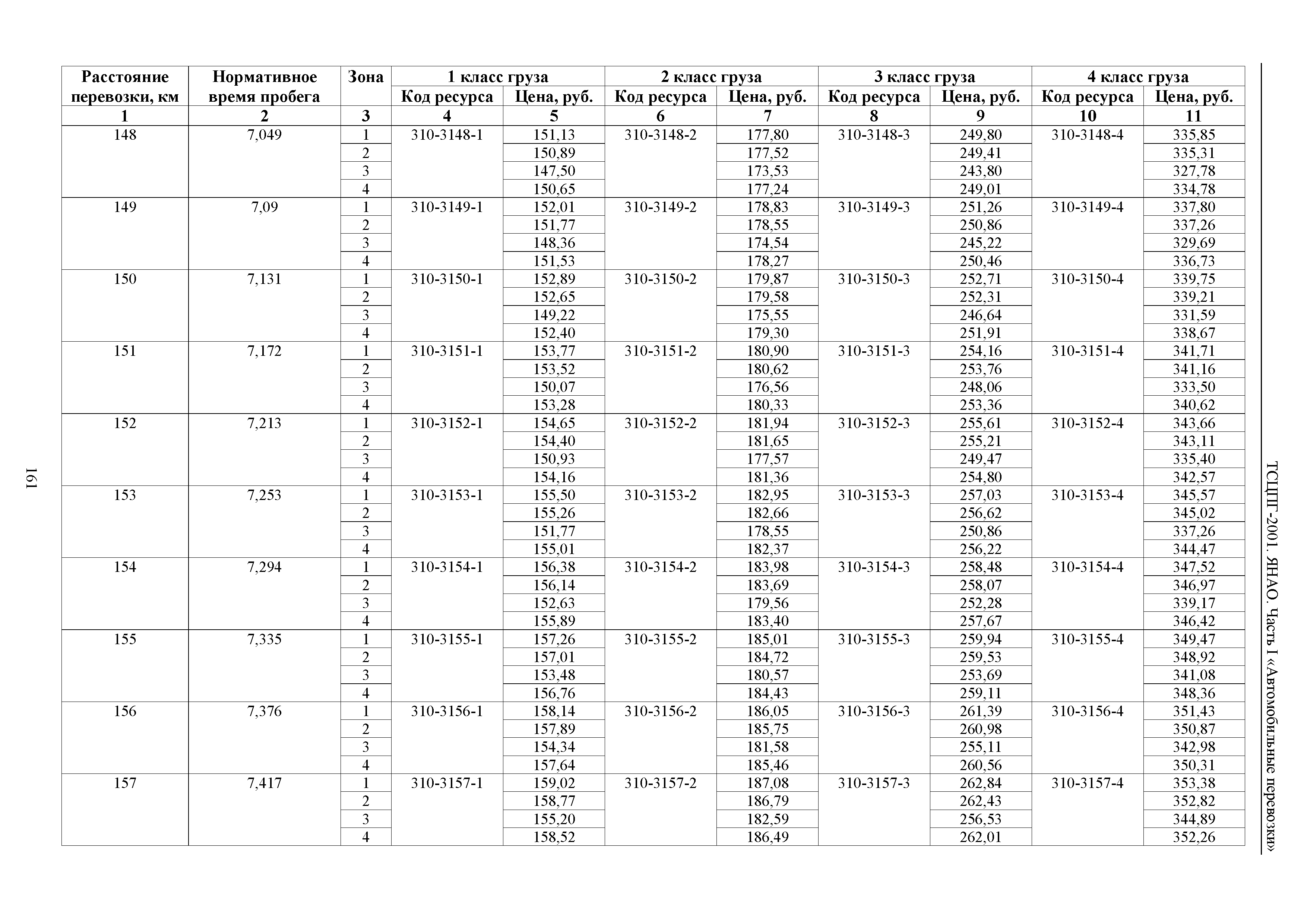
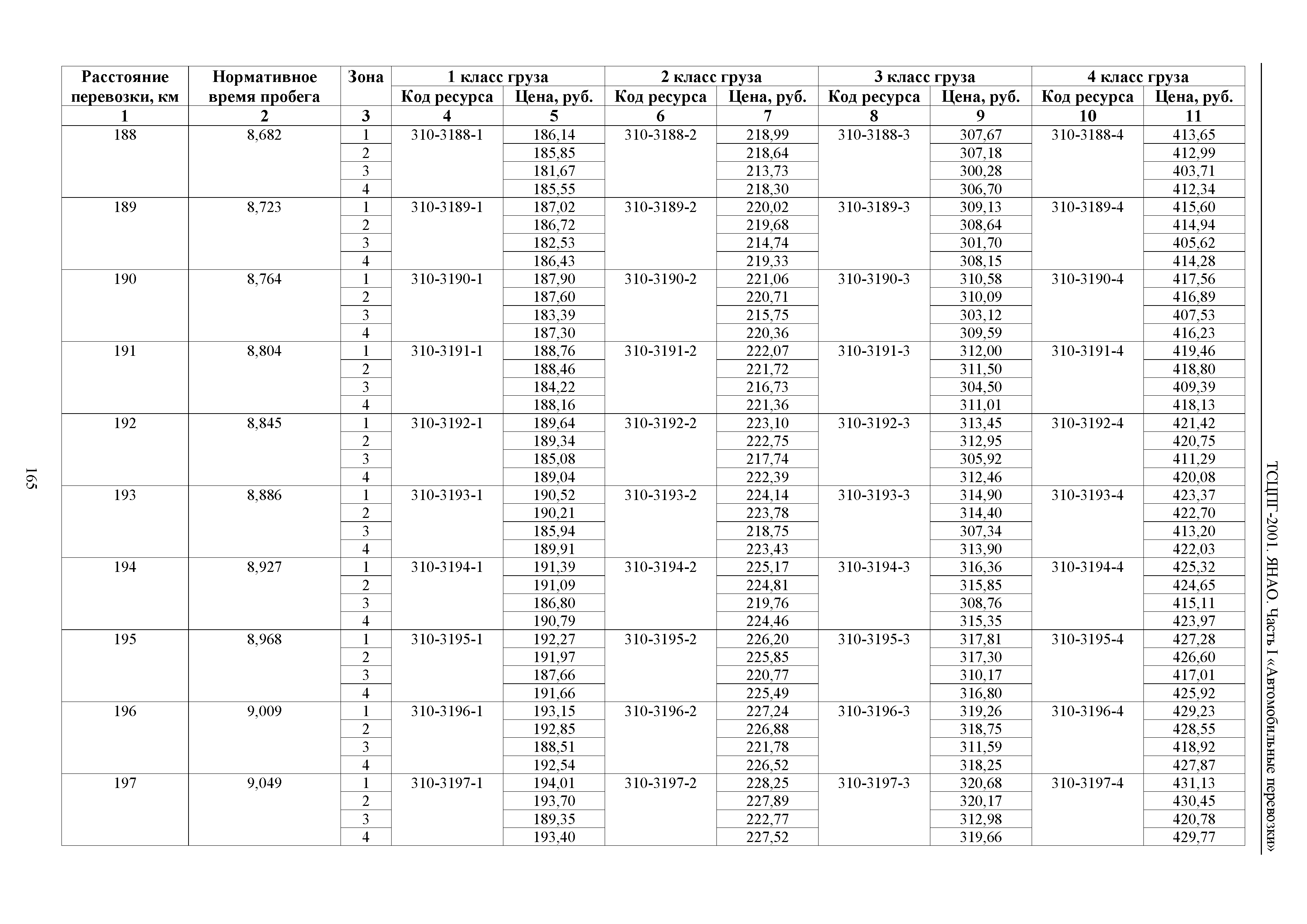
| Оглавление: | Раздел 1. Погрузочно-разгрузочные работы при автомобильных перевозках Раздел 2. Сметные цены на тару, упаковку и реквизит для районов Крайнего Севера и местностей, приравненных к ним по условиям транспортирования Таблица 2. Сметные цены на тару, упаковку для районов Крайнего Севера и районов, приравненных к ним по условиям транспортирования Раздел 3. Сметные цены на перевозку грузов автомобильным транспортом Номенклатура и классификация грузов, перевозимых автомобильным транспортом Перевозка бетонных, железобетонных изделий, стеновых и перегородочных материалов (кирпич, блоки, камни, плиты и панели), лесоматериалов круглых и пиломатериалов бортовым автомобилем, грузоподъемностью 15 т (Код 400004) 1 подзона Ямало-Ненецкий Автономный Округ Перевозка бетонных, железобетонных изделий, стеновых и перегородочных материалов (кирпич, блоки, камни, плиты и панели), лесоматериалов круглых и пиломатериалов бортовым автомобилем, грузоподъемностью 15 т (Код 400004) 2 подзона Ямало-Ненецкий Автономный Округ Перевозка строительных грузов (кроме массовых навалочных, перевозимых автомобилями-самосвалами, а также бетонных и железобетонных изделий, стеновых и перегородочных материалов, лесоматериалов круглых и пиломатериалов, включенных в таблицу № 61.), бортовым автомобилем грузоподъемностью 5 т (Код 400001) 1подзона материалов, лесоматериалов круглых и пиломатериалов, включенных в таблицу № 61.), бортовым автомобилем грузоподъемностью 5 т (Код 400001) 1подзона Ямало-Ненецкий Автономный Округ Перевозка строительных грузов (кроме массовых навалочных, перевозимых автомобилями-самосвалами, а также бетонных и железобетонных изделий, стеновых и перегородочных материалов, лесоматериалов круглых и пиломатериалов, включенных в таблицу № 62.), бортовым автомобилем грузоподъемностью 5 т (Код 400001) 2 подзона Ямало-Ненецкий Автономный Округ Перевозка грузов автомобилями-самосвалами грузоподъемностью 10 т работающих вне карьера (Код 400052) 1 подзона Ямало-Ненецкий Автономный округ Перевозка грузов автомобилями-самосвалами грузоподъемностью 10 т работающих вне карьера (Код 400052) 2 подзона Ямало-Ненецкий Автономный Округ Перевозка грузов автомобилями-самосвалами из карьеров (щебень, песок) 1 подзона Ямало- Ненецкий Автономный округ Перевозка грузов автомобилями-самосвалами из карьеров (щебень, песок) 2 подзона Ямало- Ненецкий Автономный округ Плата за 1 км пробега автомобилей до места выполнения работ и возвращение их по окончании работ. 1 подзона Ямало-Ненецкий Автономный Округ Плата за 1 км пробега автомобилей до места выполнения работ и возвращение их по окончании работ. 2 подзона Ямало-Ненецкий Автономный Округ Раздел 3А . Сметные цены на перевозку грузов тракторами с прицепами Провозная плата за перевозки грузов тракторами с прицепами Плата за пробег к пункту первой погрузки и от пункта последней разгрузки Порядок определения нормы времени на перевозки грузов автомобильным транспортом, в зависимости от расстояния |
| Разработан: | Сибирский центр ценообразования в строительстве, промышленности и энергетике |
| Утверждён: | 13.10.2011 Правительство Ямало-Ненецкого автономного округа (755-п) |
| Расположен в: | |
| Нормативные ссылки: |




















































































































































































