| ||||||||||||||||||||||||||||
Скачать ТЕР Ямало-Ненецкий автономный округ 22-2001 Часть 22. Водопровод - наружные сети. Территориальные единичные расценки на строительные и специальные строительные работыДата актуализации: 10.08.2017
|
| Обозначение: | ТЕР Ямало-Ненецкий автономный округ 22-2001 |
| Обозначение англ: | 22-2001 |
| Статус: | действует |
| Название рус.: | Часть 22. Водопровод - наружные сети. Территориальные единичные расценки на строительные и специальные строительные работы |
| Дата добавления в базу: | 01.10.2014 |
| Дата актуализации: | 05.05.2017 |
| Область применения: | Территориальные единичные расценки на строительные и специальные строительные работы предназначены для определения затрат при выполнении строительных работ и составления на их основе сметных расчетов (смет) на производство указанных работ. |
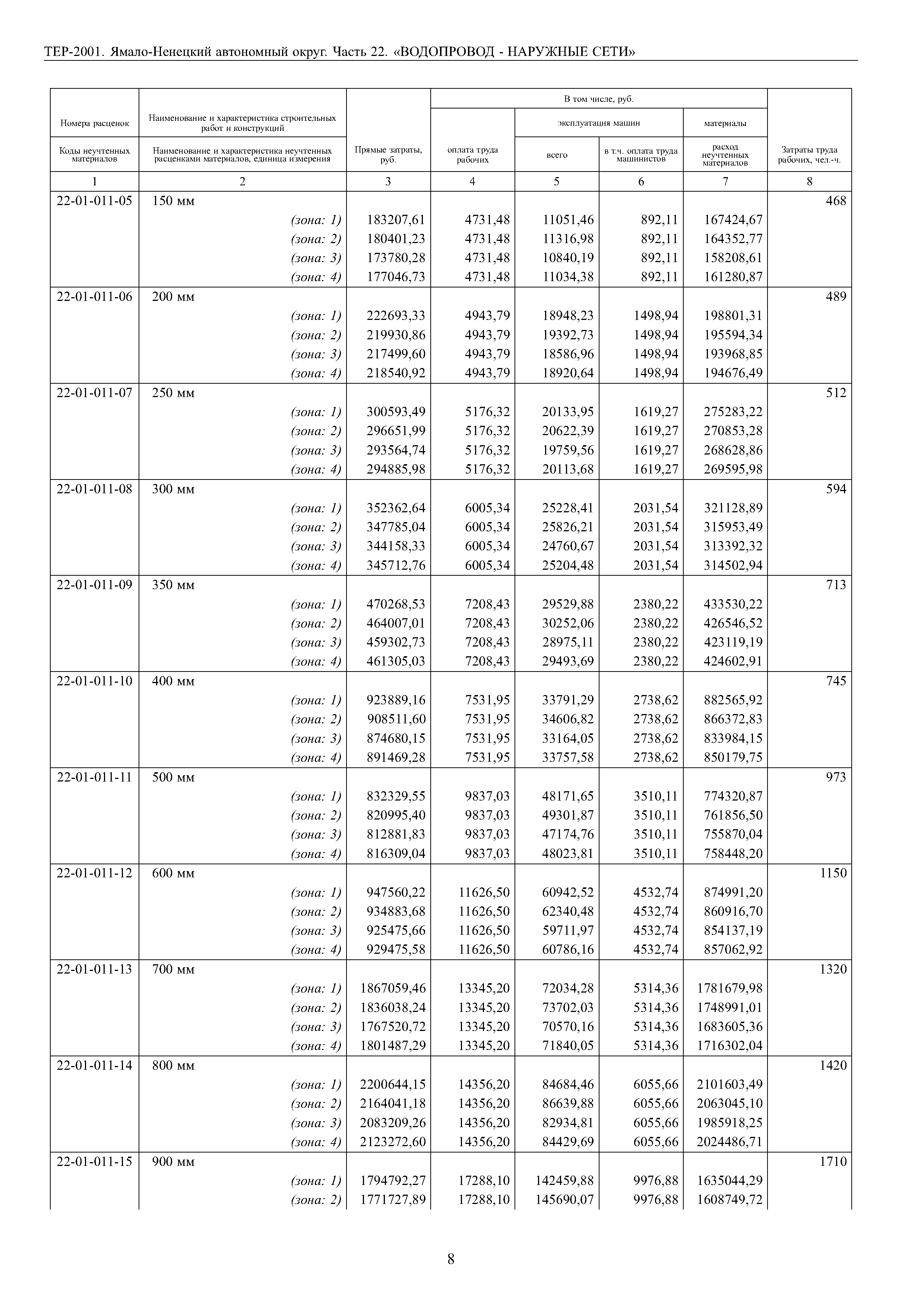
| Оглавление: | Раздел 1. Укладка трубопроводов Таблица 22-01-001 Укладка асбестоцементных водопроводных труб с соединением при помощи асбестоцементных муфт Таблица 22-01-002 Укладка асбестоцементных водопроводных труб с соединением труб чугунными муфтами Таблица 22-01-006 Укладка водопроводных чугунных напорных раструбных труб при заделке раструбов асбестоцементом Таблица 22-01-007 Укладка водопроводных чугунных напорных труб с заделкой раструбов резиновыми уплотнительными манжетами Таблица 22-01-011 Укладка стальных водопроводных труб с гидравлическим испытанием Таблица 22-01-012 Укладка стальных водопроводных труб с пневматическим испытанием Таблица 22-01-017 Укладка железобетонных напорных труб Таблица 22-01-021 Укладка трубопроводов из полиэтиленовых труб Таблица 22-01-027 Укладка трубопроводов из стеклопластиковых труб Раздел 2. Антикоррозийная изоляция стальных трубопроводов Таблица 22-02-001 Нанесение нормальной антикоррозионной битумно-резиновой или битумно-полимерной изоляции на стальные трубопроводы Таблица 22-02-002 Нанесение усиленной антикоррозионной битумно-резиновой или битумно-полимерной изоляции на стальные трубопроводы Таблица 22-02-003 Нанесение весьма усиленной антикоррозионной битумно-резиновой или битумно-полимерной изоляции на стальные трубопроводы Таблица 22-02-004 Нанесение нормальной антикоррозионной битумно-резиновой или битумно-полимерной изоляции на стыки и фасонные части стальных трубопроводов Таблица 22-02-005 Нанесение усиленной антикоррозионной битумно-резиновой или битумно-полимерной изоляции на стыки и фасонные части стальных трубопроводов Таблица 22-02-006 Нанесение весьма усиленной антикоррозионной битумно-резиновой или битумно-полимерной изоляции на стыки и фасонные части стальных трубопроводов Таблица 22-02-007 Нанесение битумно-резиновой или битумно-полимерной изоляции на стальные трубопроводы диаметром более 1200 мм Таблица 22-02-008 Нанесение нормальной антикоррозионной изоляции из полимерных липких лент на стальные трубопроводы Таблица 22-02-009 Нанесение усиленной антикоррозионной изоляции из полимерных липких лент на стальные трубопроводы Таблица 22-02-010 Нанесение весьма усиленной антикоррозионной изоляции из полимерных липких лент на стальные трубопроводы Таблица 22-02-011 Нанесение нормальной антикоррозионной изоляции из полимерных липких лент на стыки и фасонные части стальных трубопроводов Таблица 22-02-012 Нанесение усиленной антикоррозионной изоляции из полимерных липких лент на стыки и фасонные части стальных трубопроводов Таблица 22-02-013 Нанесение весьма усиленной антикоррозионной изоляции из полимерных липких лент на стыки и фасонные части стальных трубопроводов Раздел 3. Установка арматуры Таблица 22-03-001 Установка фасонных частей чугунных, стальных сварных Таблица 22-03-002 Установка полиэтиленовых фасонных частей Таблица 22-03-006 Установка задвижек или клапанов обратных чугунных Таблица 22-03-007 Установка задвижек или клапанов обратных стальных Таблица 22-03-011 Установка вантузов, гидрантов, колонок Таблица 22-03-014 Приварка фланцев к стальным трубопроводам Раздел 4. Колодцы водопроводные Таблица 22-04-001 Устройство круглых колодцев из сборного железобетона Таблица 22-04-002 Устройство водопроводных кирпичных колодцев Таблица 22-04-003 Устройство водопроводных бетонных колодцев с монолитными стенами и покрытием из сборного железобетона Таблица 22-04-004 Установка путевых водоразборных кранов. Раздел 5. Бестраншейная прокладка труб Таблица 22-05-001 Продавливание с разработкой грунта вручную Таблица 22-05-002 Продавливание без разработки грунта (прокол) Таблица 22-05-003 Протаскивание в футляр стальных труб Таблица 22-05-004 Заделка битумом и прядью концов футляра Раздел 6. Прочие работы Таблица 22-06-001 Промывка с дезинфекцией трубопроводов Таблица 22-06-002 Промывка без дезинфекции трубопроводов Таблица 22-06-005 Врезка в существующие сети из стальных труб стальных штуцеров (патрубков) Таблица 22-06-006 Врезка в существующие сети из чугунных труб чугунных тройников Таблица 22-06-011 Подвешивание подземных коммуникаций при пересечении их трассой трубопровода Таблица 22-06-012 Устройство постоянных бетонных упоров на трубопроводе |
| Разработан: | Сибирский центр ценообразования в строительстве, промышленности и энергетике |
| Утверждён: | 13.10.2011 Правительство Ямало-Ненецкого автономного округа (755-п) |
| Принят: | 05.07.2011 Министерство регионального развития Российской Федерации (17636-АП/08) |
| Расположен в: |











































































