| ||||||||||||||||||||||||||||
Скачать ТЕРм Ямало-Ненецкий автономный округ 39-2001 Часть 39. Контроль монтажных сварных соединенийДата актуализации: 10.08.2017
|
| Обозначение: | ТЕРм Ямало-Ненецкий автономный округ 39-2001 |
| Обозначение англ: | 39-2001 |
| Статус: | действует |
| Название рус.: | Часть 39. Контроль монтажных сварных соединений |
| Дата добавления в базу: | 01.10.2014 |
| Дата актуализации: | 05.05.2017 |
| Область применения: | Территориальные единичные расценки на монтаж оборудования предназначены для определения затрат при выполнении монтажных работ и составления на их основе сметных расчетов (смет) на производство указанных работ. |
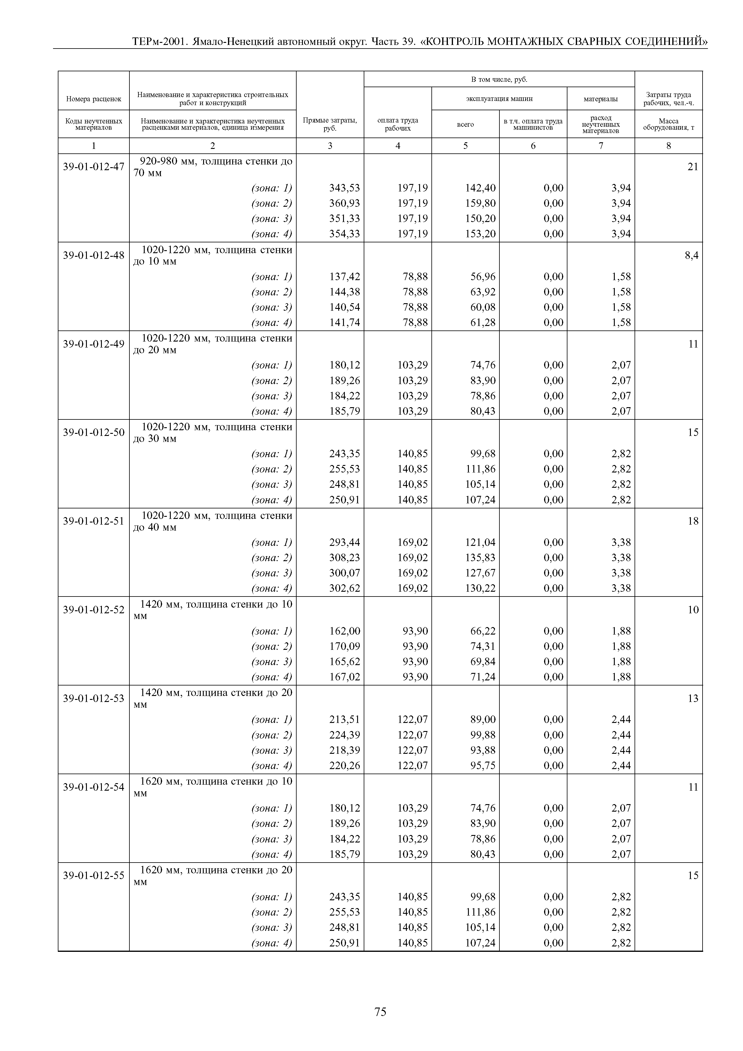
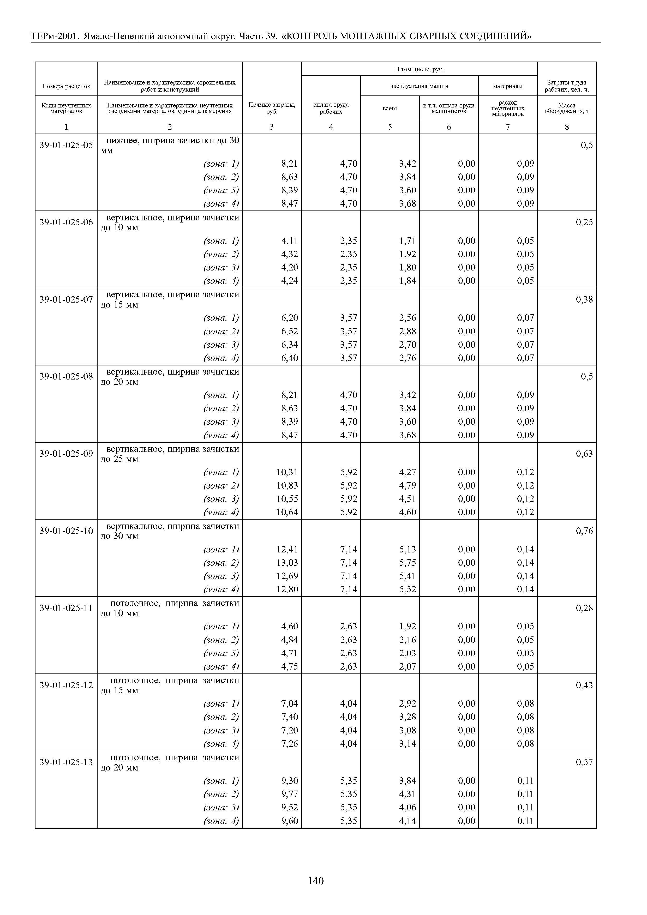
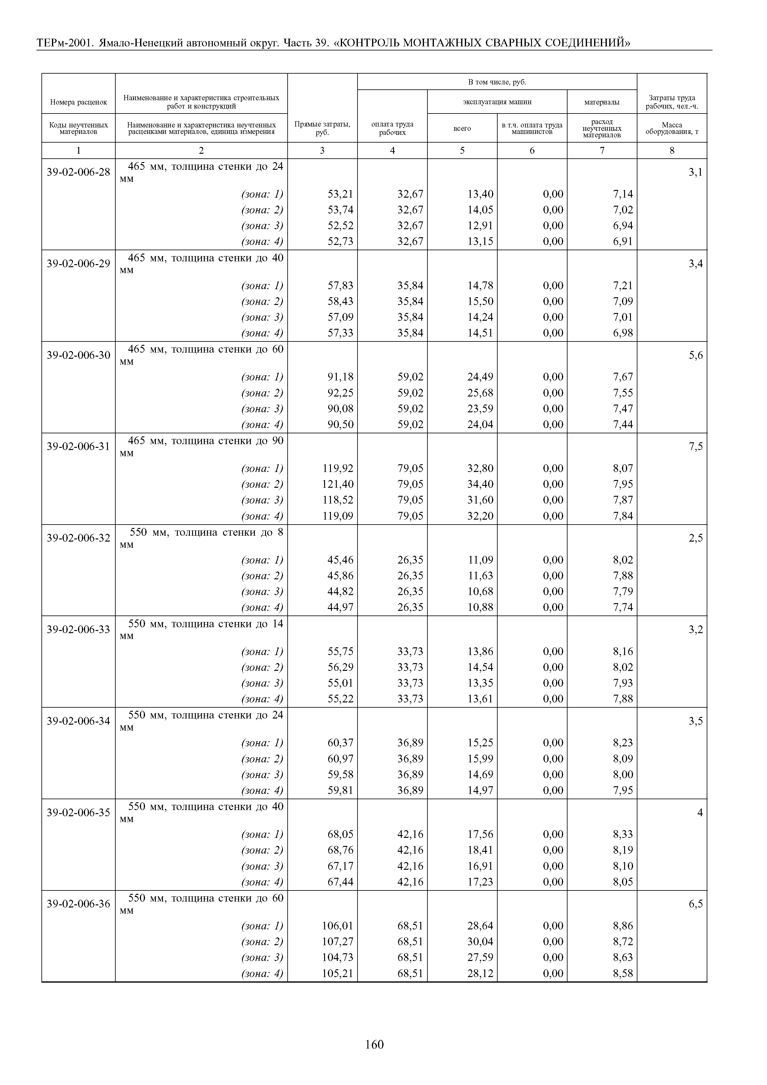
| Оглавление: | Часть 39. Контроль монтажных сварных соединений Отдел 01. Подготовка к контролю поверхности монтажных сварных соединений и околошовной зоны Таблица 39-01-001 Очистка поверхности металлическими щетками Таблица 39-01-002 Протирка поверхности ацетоном Таблица 39-01-003 Зачистка механизированная поверхности сварного соединения и околошовной зоны трубопроводов диаметром 426 мм и выше из углеродистых и легированных сталей до шероховатости не грубее Кг 80 мкм (У3) без снятия выпуклости (усиления) сварного шва Таблица 39-01-004 Зачистка механизированная поверхности сварного соединения и околошовной зоны трубопроводов диаметром 465 мм и выше из углеродистых и легированных сталей до шероховатости не грубее Кг 80 мкм (У3) без снятия выпуклости (усиления) сварного шва Таблица 39-01-005 Зачистка механизированная поверхности сварного соединения и околошовной зоны трубопроводов диаметром до 426 мм из углеродистых и легированных сталей до шероховатости не грубее Кг 40 мкм (У4) без снятия выпуклости (усиления) сварного шва Таблица 39-01-006 Зачистка механизированная поверхности сварного соединения и околошовной зоны трубопроводов диаметром 465 мм и выше из углеродистых и легированных сталей до шероховатости не грубее Кг 40 мкм (У4) без снятия выпуклости (усиления) сварного шва Таблица 39-01-007 Зачистка механизированная поверхности сварного соединения и околошовной зоны трубопроводов диаметром до 426 мм из углеродистых и легированных сталей до шероховатости не грубее Кг 20 мкм (У5) без снятия выпуклости (усиления) сварного шва Таблица 39-01-008 Зачистка механизированная поверхности сварного соединения и околошовной зоны трубопроводов диаметром 465 мм и выше из углеродистых и легированных сталей до шероховатости не грубее Кг 20 мкм (У5) без снятия выпуклости (усиления) сварного шва Таблица 39-01-009 Зачистка механизированная поверхности сварного соединения и околошовной зоны трубопроводов диаметром до 426 мм из углеродистых и легированных сталей до шероховатости не грубее Кг 80 мкм (У3) со снятием выпуклости (усиления) сварного шва Таблица 39-01-010 Зачистка механизированная поверхности сварного соединения и околошовной зоны трубопроводов диаметром 465 мм и выше из углеродистых и легированных сталей до шероховатости не грубее Кг 80 мкм (У3) со снятием выпуклости (усиления) сварного шва Таблица 39-01-011 Зачистка механизированная поверхности сварного соединения и околошовной зоны трубопроводов диаметром до 426 мм из углеродистых и легированных сталей до шероховатости не грубее Кг 40 мкм (У4) со снятием выпуклости (усиления) сварного шва Таблица 39-01-012 Зачистка механизированная поверхности сварного соединения и околошовной зоны трубопроводов диаметром 465 мм и выше из углеродистой и легированной сталей до шероховатости не грубее Кг 40 мкм (У4) со снятием выпуклости (усиления) сварного шва Таблица 39-01-013 Зачистка механизированная поверхности сварного соединения и околошовной зоны трубопроводов диаметром до 426 мм из углеродистых и легированных сталей до шероховатости не грубее Кг 20 мкм (У5) со снятием выпуклости (усиления) сварного шва Таблица 39-01-014 Зачистка механизированная поверхности сварного соединения и околошовной зоны трубопроводов диаметром 465 мм и выше из углеродистых и легированных сталей до шероховатости не грубее Кг 20 мкм (У5) со снятием выпуклости (усиления) сварного шва Таблица 39-01-015 Зачистка механизированная поверхности сварного соединения и околошовной зоны трубопроводов из высоколегированных коррозионностойких сталей до шероховатости не грубее Кг 80 мкм (У3) без снятия выпуклости (усиления) сварного шва Таблица 39-01-016 Зачистка механизированная поверхности сварного соединения и околошовной зоны трубопроводов из высоколегированных коррозионностойких сталей до шероховатости не грубее Кг 40 мкм (У4) без снятия выпуклости (усиления) сварного шва Таблица 39-01-017 Зачистка механизированная поверхности сварного соединения и околошовной зоны трубопроводов из высоколегированных коррозионностойких сталей до шероховатости не грубее Кг 20 мкм (У5) без снятия выпуклости (усиления) сварного шва Таблица 39-01-018 Зачистка механизированная поверхности сварного соединения и околошовной зоны трубопроводов из высоколегированных коррозионностойких сталей до шероховатости не грубее Кг 80 мкм (У3) со снятием выпуклости (усиления) сварного шва Таблица 39-01-019 Зачистка механизированная поверхности сварного соединения и околошовной зоны трубопроводов из высоколегированных коррозионностойких сталей до шероховатости не грубее Кг 40 мкм (У4) со снятием выпуклости (усиления) сварного шва Таблица 39-01-020 Зачистка механизированная поверхности сварного соединения и околошовной зоны трубопроводов из высоколегированных коррозионностойких сталей до шероховатости не грубее Кг 20 мкм (У5) со снятием выпуклости (усиления) сварного шва Таблица 39-01-021 Зачистка вручную поверхности сварного соединения и околошовной зоны трубопроводов из углеродистых и легированных сталей без снятия выпуклости (усиления) сварного шва 130 Таблица 39-01-022 Зачистка вручную поверхности сварного соединения и околошовной зоны трубопроводов из углеродистых и легированных сталей со снятием выпуклости (усиления) сварного шва 132 Таблица 39-01-023 Зачистка механизированная поверхности сварного соединения и околошовной зоны конструкций и оборудования из углеродистых и легированных сталей до шероховатости не грубее Кг 80 мкм (У3) без снятия выпуклости (усиления) сварного шва Таблица 39-01-024 Зачистка механизированная поверхности сварного соединения и околошовной зоны конструкций и оборудования из углеродистых и легированных сталей до шероховатости не грубее Кг 40 мкм (У4) без снятия выпуклости (усиления) сварного шва Таблица 39-01-025 Зачистка механизированная поверхности сварного соединения и околошовной зоны конструкций и оборудования из углеродистых и легированных сталей до шероховатости не грубее Кг 20 мкм (У5) без снятия выпуклости (усиления) сварного шва Таблица 39-01-026 Зачистка механизированная поверхности сварных соединений конструкций и оборудования из углеродистых и легированных сталей. Снятие выпуклости (усиления) сварного соединения Таблица 39-01-027 Зачистка механизированная поверхности сварного соединения и околошовной зоны конструкций и оборудования из высоколегированных коррозионностойких сталей до шероховатости не грубее Кг 80 мкм (У3) без снятия выпуклости (усиления) сварного шва Таблица 39-01-028 Зачистка механизированная поверхности сварного соединения и околошовной зоны конструкций и оборудования из высоколегированных коррозионностойких сталей до шероховатости не грубее Кг 40 мкм (У4) без снятия выпуклости (усиления) сварного шва Таблица 39-01-029 Зачистка механизированная поверхности сварного соединения и околошовной зоны конструкций и оборудования из высоколегированных коррозионностойких сталей до шероховатости не грубее Кг 20 мкм (У5) без снятия выпуклости (усиления) сварного шва Таблица 39-01-030 Зачистка механизированная поверхности сварных соединений конструкций и оборудования из высоколегированных коррозионностойких сталей. Снятие выпуклости (усиления) сварного соединения Таблица 39-01-031 Зачистка механизированная мест под стилоскопирование Таблица 39-01-032 Зачистка механизированная мест под испытания на твердость Отдел 02. Контроль монтажных сварных соединений неразрушающими методами Таблица 39-02-001 Визуальный и измерительный контроль сварных соединений Таблица 39-02-002 Перископный осмотр сварных соединений трубопроводов Таблица 39-02-003 Стилоскопирование Таблица 39-02-004 Капиллярный контроль (цветной метод) Таблица 39-02-005 Магнитопорошковый контроль Таблица 39-02-006 Ультразвуковая дефектоскопия одним преобразователем сварных соединений перлитного класса с двух сторон, прозвучивание поперечное Таблица 39-02-007 Ультразвуковая дефектоскопия одним преобразователем сварных соединений перлитного класса с двух сторон, прозвучивание поперечное негабаритных трубопроводов гидротехнических сооружений Таблица 39-02-008 Ультразвуковая дефектоскопия одним преобразователем сварных соединений перлитного класса с двух сторон, прозвучивание поперечное оборудования и конструкций Таблица 39-02-009 Ультразвуковая дефектоскопия одним преобразователем сварных соединений перлитного класса с двух сторон, прозвучивание продольное Таблица 39-02-010 Ультразвуковая дефектоскопия одним преобразователем сварных соединений перлитного класса с двух сторон, прозвучивание поперечное закладных деталей Таблица 39-02-011 Измерение толщин металла ультразвуковым способом Таблица 39-02-012 Рентгенографический контроль трубопроводов через две стенки Таблица 39-02-013 Рентгенографический контроль трубопроводов через одну стенку Таблица 39-02-014 Рентгенографический контроль оборудования и конструкций Таблица 39-02-015 Гаммаграфический контроль трубопроводов через две стенки Таблица 39-02-016 Гаммаграфический контроль трубопроводов через одну стенку Таблица 39-02-0 17 Гаммаграфический контроль трубопроводов, панорамное просвечивание Таблица 39-02-018 Гаммаграфический контроль оборудования и конструкций Таблица 39-02-019 Гаммаграфический контроль арматурной стали Таблица 39-02-020 Контроль плотности способом керосиновой пробы Таблица 39-02-021 Испытание вакуум-камерой Таблица 39-02-022 Контроль методом гелиевой или вакуумной камеры Таблица 39-02-023 Измерение твёрдости металла шва Отдел 03. Контроль монтажных сварных соединений разрушающими методами Таблица 39-03-001 Механические испытания Таблица 39-03-002 Металлографические исследования Таблица 39-03-003 Испытания на межкристаллитную коррозию Отдел 04. Изготовление образцов для испытания монтажных сварных соединений Таблица 39-04-001 Изготовление образцов для механических испытаний Таблица 39-04-002 Изготовление образцов для металлографических исследований Таблица 39-04-003 Изготовление образцов для испытания на межкристаллитную коррозию Отдел 05. Предварительный контроль Таблица 39-05-001 Контроль сварочных материалов Таблица 39-05-002 Контроль деталей, материалов, полуфабрикатов Таблица 39-05-003 Контроль сборочно-сварочного и термического оборудования, аппаратуры и приспособлений Таблица 39-05-004 Контроль материалов для дефектоскопии Таблица 39-05-005 Контроль труб и блоков трубопроводов Отдел 06. Операционный контроль Таблица 39-06-001 Контроль подготовки деталей трубопроводов под сварку и наплавку на сборочной площадке Таблица 39-06-002 Контроль сборки деталей трубопроводов под сварку и наплавку на месте монтажа Таблица 39-06-003 Контроль процессов сварки и наплавки |
| Разработан: | Сибирский центр ценообразования в строительстве, промышленности и энергетике |
| Утверждён: | 13.10.2011 Правительство Ямало-Ненецкого автономного округа (755-п) |
| Принят: | 05.07.2011 Министерство регионального развития Российской Федерации (17636-АП/08) |
| Расположен в: |








































































































































































































