| ||||||||||||||||||||||||||||
Скачать ТЕРтр Ямало-Ненецкий автономный округ 13-2001 Часть 13. Водопровод, наружные сети и внутренние устройства. Территориальные единичные расценки на работы по техническому обслуживанию и ремонту оборудования городского хозяйстваДата актуализации: 10.08.2017
|
| Обозначение: | ТЕРтр Ямало-Ненецкий автономный округ 13-2001 |
| Обозначение англ: | 13-2001 |
| Статус: | действует |
| Название рус.: | Часть 13. Водопровод, наружные сети и внутренние устройства. Территориальные единичные расценки на работы по техническому обслуживанию и ремонту оборудования городского хозяйства |
| Дата добавления в базу: | 01.10.2014 |
| Дата актуализации: | 05.05.2017 |
| Область применения: | Территориальные единичные расценки на работы по техническому обслуживанию и ремонту оборудования городского хозяйства предназначены для определения затрат при выполнении на работы по техническому обслуживанию и ремонту оборудования городского хозяйства и составления на их основе сметных расчетов (смет) на производство указанных работ. |
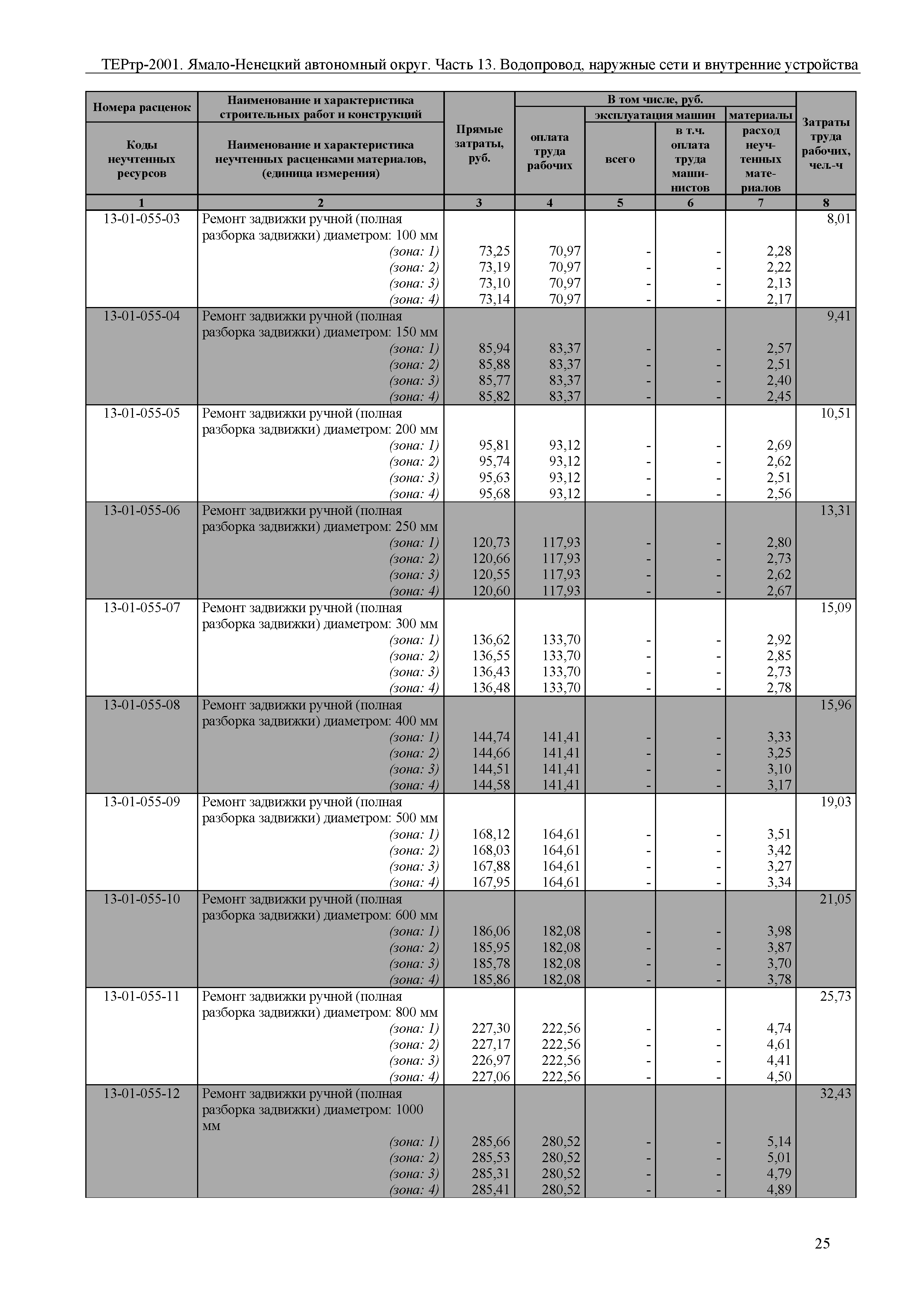
| Оглавление: | Раздел 1. Трубопроводы сооружений городского хозяйства 1. 1. Техническое обслуживание Таблица ТЕРтр 13-01-001 Участие эксплуатирующей организации при врезке в водопроводные сети Таблица ТЕРтр 13-01-002 Техническое обслуживание трубопроводов Таблица ТЕРтр 13-01-003 Техническое обслуживание переходов Таблица ТЕРтр 13-01-004 Техническое обслуживание задвижек Таблица ТЕРтр 13-01-005 Техническое обслуживание клапанов обратных Таблица ТЕРтр 13-01-006 Техническое обслуживание клапанов соленоиды Таблица ТЕРтр 13-01-007 Техническое обслуживание вибровставок Таблица ТЕРтр 13-01-008 Техническое обслуживание кранов шаровых Таблица ТЕРтр 13-01-009 Техническое обслуживание кранов Таблица ТЕРтр 13-01-010 Техническое обслуживание вентилей шаровых Таблица ТЕРтр 13-01-011 Техническое обслуживание устройств забора воды для слива фонтана Таблица ТЕРтр 13-01-012 Техническое обслуживание устройств забора воды для понижения уровня воды в верхней чаше фонтана Таблица ТЕРтр 13-01-013 Техническое обслуживание устройств для раздачи воды для понижения уровня воды в верхней чаше фонтана Таблица ТЕРтр 13-01-014 Техническое обслуживание защитных решеток к водоразборной и сливной системам фонтана Таблица ТЕРтр 13-01-015 Техническое обслуживание тройников Таблица ТЕРтр 13-01-016 Техническое обслуживание форсунок Таблица ТЕРтр 13-01-017 Техническое обслуживание форсунок линейных Таблица ТЕРтр 13-01-018 Техническое обслуживание счетчиков холодной и горячей воды Таблица ТЕРтр 13-01-019 Техническое обслуживание регуляторов перепада давления Таблица ТЕРтр 13-01-020 Техническое обслуживание клапанов регулирующих Таблица ТЕРтр 13-01-021 Техническое обслуживание термометров Таблица ТЕРтр 13-01-022 Техническое обслуживание манометров Таблица ТЕРтр 13-01-023 Техническое обслуживание узлов прохода Таблица ТЕРтр 13-01-024 Очистка сеток-фильтров (грязевиков) от ила и грязи в трубопроводах Таблица ТЕРтр 13-01-025 Техническое обслуживание напорных насосных агрегатов импортного производства типа Grundfos, Star, Flygt и других Таблица ТЕРтр 13-01-026 Техническое обслуживание дренажных насосных агрегатов импортного производства типа Grundfos, Star, Flygt на фланцевых соединениях мощностью до 1 кВт Таблица ТЕРтр 13-01-027 Техническое обслуживание дренажных насосных агрегатов импортного производства типа Grundfos, Star, Flygt на муфтовых соединениях мощностью до 2 кВт Таблица ТЕРтр 13-01-028 Техническое обслуживание дренажных насосных агрегатов типа ПФ (Иртыш) мощностью до 3 кВт Таблица ТЕРтр 13-01-029 Техническое обслуживание высоконапорных насосных агрегатов на фланцевых соединениях мощностью до 50 кВт Таблица ТЕРтр 13-01-030 Техническое обслуживание напорно-циркуляционных насосных агрегатов Grundfos UPS (UPSD) на фланцевых соединениях Таблица ТЕРтр 13-01-031 Техническое обслуживание задвижек (клапанов) с электроприводом в условиях стесненности Таблица ТЕРтр 13-01-032 Техническое обслуживание задвижек (клапанов) с электроприводом Таблица ТЕРтр 13-01-033 Техническое обслуживание расширительных баков объемом 100 л Таблица ТЕРтр 13-01-034 Техническое обслуживание фильтров механических фланцевых Таблица ТЕРтр 13-01-035 Техническое обслуживание теплообменников Таблица ТЕРтр 13-01-036 Техническое обслуживание отводов Таблица ТЕРтр 13-01-037 Техническое обслуживание заглушек 1. 2. Ремонт Таблица ТЕРтр 13-01-048 Ремонт трубопроводов стальных Таблица ТЕРтр 13-01-049 Ремонт трубопроводов стальных и оцинкованных Таблица ТЕРтр 13-01-050 Ремонт трубопроводов оцинкованных Таблица ТЕРтр 13-01-051 Ремонт трубопроводов из нержавеющей стали Таблица ТЕРтр 13-01-052 Ремонт клапанов обратных фланцевых Таблица ТЕРтр 13-01-053 Ремонт вибровставок резиновых Таблица ТЕРтр 13-01-054 Ремонт задвижек ручных с заменой латунных колец (полная разборка задвижек) Таблица ТЕРтр 13-01-055 Ремонт задвижек ручных (полная разборка задвижек) Таблица ТЕРтр 13-01-056 Ремонт задвижек ручных (частичная разборка задвижек) Таблица ТЕРтр 13-01-057 Ремонт трубопроводов с теплоизоляцией Таблица ТЕРтр 13-01-058 Ремонт изоляции теплоизолированных трубопроводов Таблица ТЕРтр 13-01-059 Ремонт клапанов обратных муфтовых Таблица ТЕРтр 13-01-060 Ремонт дверей металлических Таблица ТЕРтр 13-01-061 Ремонт металлических рам водоприемных приямков Таблица ТЕРтр 13-01-062 Текущий ремонт задвижек ручных с применением ручной тали Таблица ТЕРтр 13-01-063 Текущий ремонт форсунок Таблица ТЕРтр 13-01-064 Текущий ремонт форсунок паровых Таблица ТЕРтр 13-01-065 Текущий ремонт дренажных насосных агрегатов импортного производства типа Grundfos, Star, Flygt на фланцевых соединениях мощностью до 1 кВт Таблица ТЕРтр 13-01-066 Текущий ремонт дренажных насосных агрегатов импортного производства типа Grundfos, Star, Flygt на муфтовых соединениях мощностью до 2 кВт Таблица ТЕРтр 13-01-067 Текущий ремонт дренажных насосных агрегатов типа ПФ (Иртыш) на фланцевых соединениях мощностью до 3 кВт Таблица ТЕРтр 13-01-068 Текущий ремонт напорных насосных агрегатов импортного производства Таблица ТЕРтр 13-01-069 Текущий ремонт с заменой подшипников напорных насосных агрегатов импортного производства Таблица ТЕРтр 13-01-070 Текущий ремонт высоконапорных насосных агрегатов на фланцевых соединениях мощностью до 50 кВт Таблица ТЕРтр 13-01-071 Текущий ремонт с заменой подшипников высоконапорных насосных агрегатов на фланцевых соединениях мощностью до 50 кВт Таблица ТЕРтр 13-01-072 Текущий ремонт напорно-циркуляционных насосных агрегатов Grundfos UPS (UPSD) 50-120, Ftygt, Star на фланцевых соединениях Таблица ТЕРтр 13-01-073 Текущий ремонт с заменой подшипников напорно-циркуляционных насосных агрегатов на фланцевых соединениях Таблица ТЕРтр 13-01-074 Текущий ремонт в условиях стесненности задвижек (клапанов) с электроприводом Таблица ТЕРтр 13-01-075 Текущий ремонт задвижек (клапанов) с электроприводом Таблица ТЕРтр 13-01-076 Текущий ремонт расширительных баков Таблица ТЕРтр 13-01-077 Текущий ремонт фильтров механических фланцевых Таблица ТЕРтр 13-01-078 Текущий ремонт теплообменников 1. 3. Замена Таблица ТЕРтр 13-01-089 Замена трубопроводов стальных Таблица ТЕРтр 13-01-090 Замена трубопроводов стальных и оцинкованных Таблица ТЕРтр 13-01-091 Замена трубопроводов оцинкованных Таблица ТЕРтр 13-01-092 Замена трубопроводов из нержавеющей стали Таблица ТЕРтр 13-01-093 Замена отводов стальных Таблица ТЕРтр 13-01-094 Замена отводов стальных и оцинкованных Таблица ТЕРтр 13-01-095 Замена отводов оцинкованных Таблица ТЕРтр 13-01-096 Замена отводов из нержавеющей стали Таблица ТЕРтр 13-01-097 Замена фланцев из нержавеющей стали Таблица ТЕРтр 13-01-098 Замена фланцев стальных и оцинкованных Таблица ТЕРтр 13-01-099 Замена клапанов обратных фланцевых Таблица ТЕРтр 13-01 -100 Замена вибровставок резиновых Таблица ТЕРтр 13-01-101 Замена манометров Таблица ТЕРтр 13-01 -102 Замена контргаек Таблица ТЕРтр 13-01-103 Замена переходов стальных Таблица ТЕРтр 13-01-104 Замена переходов оцинкованных Таблица ТЕРтр 13-01-105 Замена переходов из нержавеющей стали Таблица ТЕРтр 13-01-106 Замена приваренных заглушек из нержавеющей стали Таблица ТЕРтр 13-01-107 Замена заглушек фланцевых Таблица ТЕРтр 13-01-108 Замена задвижек ручных Таблица ТЕРтр 13-01-109 Замена защитных решеток к водоразборной и сливной системам фонтана. Таблица ТЕРтр 13-01-110 Замена тройников стальных Таблица ТЕРтр 13-01-111 Замена клапанов обратных муфтовых Таблица ТЕРтр 13-01-112 Замена кранов трехходовых для манометра Таблица ТЕРтр 13-01-113 Замена кранов водоразборных Таблица ТЕРтр 13-01-114 Замена кранов шаровых муфтовых Таблица ТЕРтр 13-01-115 Замена задвижек ручных с применением ручной тали Таблица ТЕРтр 13-01-116 Замена форсунок Таблица ТЕРтр 13-01-117 Замена трубопроводов с теплоизоляцией Таблица ТЕРтр 13-01-118 Замена изоляции трубопроводов Таблица ТЕРтр 13-01-119 Замена задвижек ручных Таблица ТЕРтр 13-01-120 Замена кранов воздушных Таблица ТЕРтр 13-01-121 Замена счетчиков холодной воды, расходомеров горячей воды, установленных на трубопроводе Таблица ТЕРтр 13-01-122 Замена термометров Таблица ТЕРтр 13-01-123 Замена клапанов регулирующих Таблица ТЕРтр 13-01-124 Замена отводов стальных Таблица ТЕРтр 13-01-125 Замена форсунок паровых Таблица ТЕРтр 13-01-126 Замена сеток-фильтров (грязевиков) от ила или грязи в трубопроводах Таблица ТЕРтр 13-01-127 Замена в стесненных условиях узлов прохода Таблица ТЕРтр 13-01-128 Замена регуляторов перепада давления воды Таблица ТЕРтр 13-01-129 Замена напорных насосных агрегатов импортного производства типа Grundfos, Star, Flygt Таблица ТЕРтр 13-01-130 Замена дренажных насосных агрегатов импортного производства типа Grundfos, Star, Flygt на фланцевых соединениях мощностью до 1 кВт Таблица ТЕРтр 13-01-131 Замена дренажных насосных агрегатов импортного производства типа Grundfos, Star, Flygt на муфтовых соединениях мощностью до 2 кВт Таблица ТЕРтр 13-01-132 Замена дренажных насосных агрегатов на фланцевых соединениях мощностью до 3 кВт Таблица ТЕРтр 13-01-133 Замена высоконапорных насосных агрегатов на фланцевых соединениях мощностью до 50 кВт Таблица ТЕРтр 13-01-134 Замена напорно-циркуляционных насосных агрегатов Grundfos UPS (UPSD) 50-120 на фланцевых соединениях Таблица ТЕРтр 13-01-135 Замена в условиях стесненности задвижек (клапанов) с электроприводом Таблица ТЕРтр 13-01-136 Замена в условиях стесненности электроприводов к задвижкам Таблица ТЕРтр 13-01-137 Замена задвижек (клапанов) с электроприводом Таблица ТЕРтр 13-01-138 Замена расширительных баков Таблица ТЕРтр 13-01-139 Замена фильтров механических фланцевых Таблица ТЕРтр 13-01-140 Замена теплообменников Таблица ТЕРтр 13-01-141 Замена вентилей Таблица ТЕРтр 13-01-142 Счетчики холодной и горячей воды Ду 15-20 мм типа "Алексеевский" Таблица ТЕРтр 13-01-143 Поверка квартирных счетчиков холодной и горячей воды Ду 15-20 мм типа "Алексеевский" Раздел 2. Системы водоснабжения и водоотведения 2. 1. Технический осмотр Таблица ТЕРтр 13-02-001 Ежедневный осмотр насосных агрегатов 2. 2. Техническое обслуживание Таблица ТЕРтр 13-02-012 Техническое обслуживание насосов центробежных одноступенчатых консольного типа К, КМ Таблица ТЕРтр 13-02-013 Ежемесячное техническое обслуживание насосов центробежных одноступенчатых фекальных типа НФ Таблица ТЕРтр 13-02-014 Ежемесячное техническое обслуживание насосов вертикальных фекальных Таблица ТЕРтр 13-02-015 Ежемесячное техническое обслуживание насосов во взрывозащищенном исполнении центробежных погружных Таблица ТЕРтр 13-02-016 Ежемесячное техническое обслуживание насосов центробежных одноступенчатых типа НД (с,в) 2. 3. Текущий ремонт Таблица ТЕРтр 13-02-027 Текущий ремонт насосов центробежных одноступенчатых консольного типа К, КМ Таблица ТЕРтр 13-02-028 Текущий ремонт насосов центробежных одноступенчатых фекальных консольного типа НФ Таблица ТЕРтр 13-02-029 Текущий ремонт насосов фекальных вертикальных Таблица ТЕРтр 13-02-030 Текущий ремонт насосов центробежных погружных во взрывозащищенном исполнении Таблица ТЕРтр 13-02-031 Текущий ремонт насосов центробежных одноступенчатых типа НД (с,в) 2. 4. Замена. Таблица ТЕРтр 13-02-042 Замена прокладок в насосах Таблица ТЕРтр 13-02-043 Замена уплотняющих колец в насосах Таблица ТЕРтр 13-02-044 Замена защитных втулок в насосах Таблица ТЕРтр 13-02-045 Замена насосов с применением электротельфера Таблица ТЕРтр 13-02-046 Балансировка рабочих колес насоса Раздел 3. Техническое обслуживание, инструментальный контроль и обследование магистральных водопроводов Таблица ТЕРтр 13-03-001 Настройка и техническое обслуживание регуляторов давления (с1 до 300 мм) магистральных водопроводов Таблица ТЕРтр 13-03-002 Измерение давления в магистральных водопроводах самопишущими манометрами или регистраторами давления в течение 1 суток Таблица ТЕРтр 13-03-003 Измерение расхода и скорости движения воды приборами типа "УЗР" в магистральных трубопроводах в течение 10 минут Таблица ТЕРтр 13-03-004 Определение местоположения магистральных трубопроводов и утерянных колодцев Таблица ТЕРтр 13-03-005 Определение повреждений на магистральных трубопроводах Таблица ТЕРтр 13-03-006 Определение скрытых повреждений методом гелиодиагностики на магистральных трубопроводах и гелиодиагностика гидротехнических сооружений объемом до 800 м3 Таблица ТЕРтр 13-03-007 Мониторинг магистральных водопроводных сетей на наличие скрытых утечек с использованием логгера в течение 1 суток Таблица ТЕРтр 13-03-008 Осмотр гидротехнических сооружений площадью до 45 м2 с помощью погружного устройства Таблица ТЕРтр 13-03-009 Техническое обслуживание, инструментальный контроль и обследование магистральных водопроводов Таблица ТЕРтр 13-03-010 Определение размеров объектов в магистральных трубопроводах при помощи робототехнических комплексов типа "С-200" Таблица ТЕРтр 13-03-011 Промывка магистральных трубопроводов диаметром до 300 мм и контроль качества промывки при помощи робототехнического комплекса типа "Р-200" Таблица ТЕРтр 13-03-012 Подготовка внутренних поверхностей магистральных трубопроводов диаметром от 250 до 400 мм к санации робототехническим комплексом типа "С-200" Таблица ТЕРтр 13-03-013 Проведение видеосъемки внутри магистральных трубопроводов диаметром свыше 900 мм на участке длиной 200 м Таблица ТЕРтр 13-03-0 14 Техническое обслуживание УКЗ Таблица ТЕРтр 13-03-015 Обследование внутреннего состояния магистральных водопроводов до 100 м с применением робототехнического комплекса Таблица ТЕРтр 13-03-016 Определение толщины стенок или внутреннего покрытия магистральных трубопроводов с применением робототехнического комплекса Сметные расцепки на эксплуатацию строительных машин, сметные цены на материалы, изделия, конструкции и часовая оплата труда рабочих-строителей Приложение 1. Размер часовой оплаты труда рабочих-строителей Приложение 2. Сметные расцепки на эксплуатацию строительных машин Приложение З. Сметные цены на материальные ресурсы |
| Разработан: | Сибирский центр ценообразования в строительстве, промышленности и энергетике |
| Утверждён: | 13.10.2011 Правительство Ямало-Ненецкого автономного округа (755-п) |
| Издан: | ЯНАО (2011 г. ) |
| Расположен в: |























































































