| ||||||||||||||||||||||||||
Скачать ТЕР Ямало-Ненецкий автономный округ 01-2001 Часть 1. Земляные работы. Территориальные единичные расценки на строительные и специальные строительные работыДата актуализации: 10.08.2017
|
| Обозначение: | ТЕР Ямало-Ненецкий автономный округ 01-2001 |
| Обозначение англ: | 01-2001 |
| Статус: | действует |
| Название рус.: | Часть 1. Земляные работы. Территориальные единичные расценки на строительные и специальные строительные работы |
| Дата добавления в базу: | 01.10.2014 |
| Дата актуализации: | 05.05.2017 |
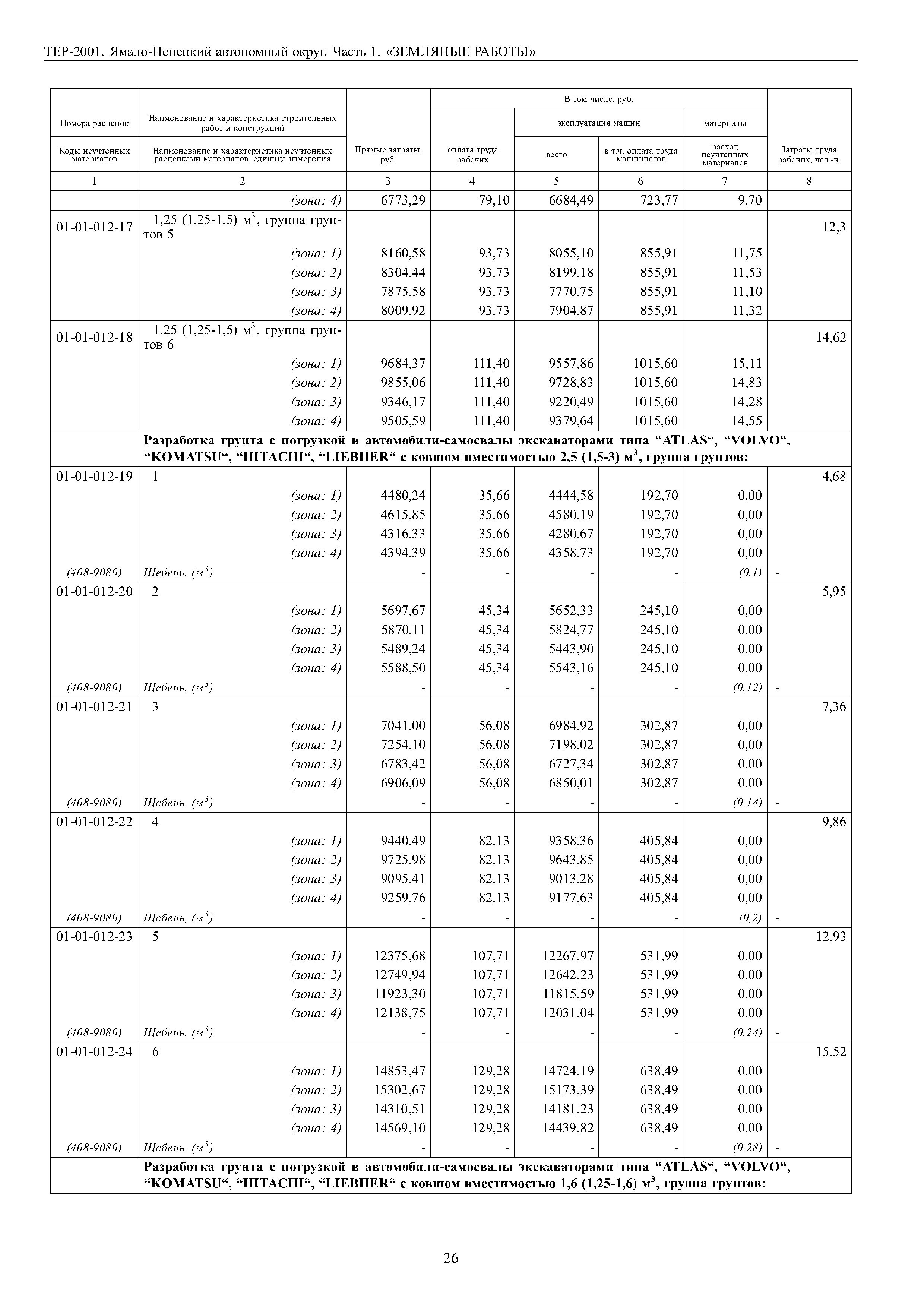
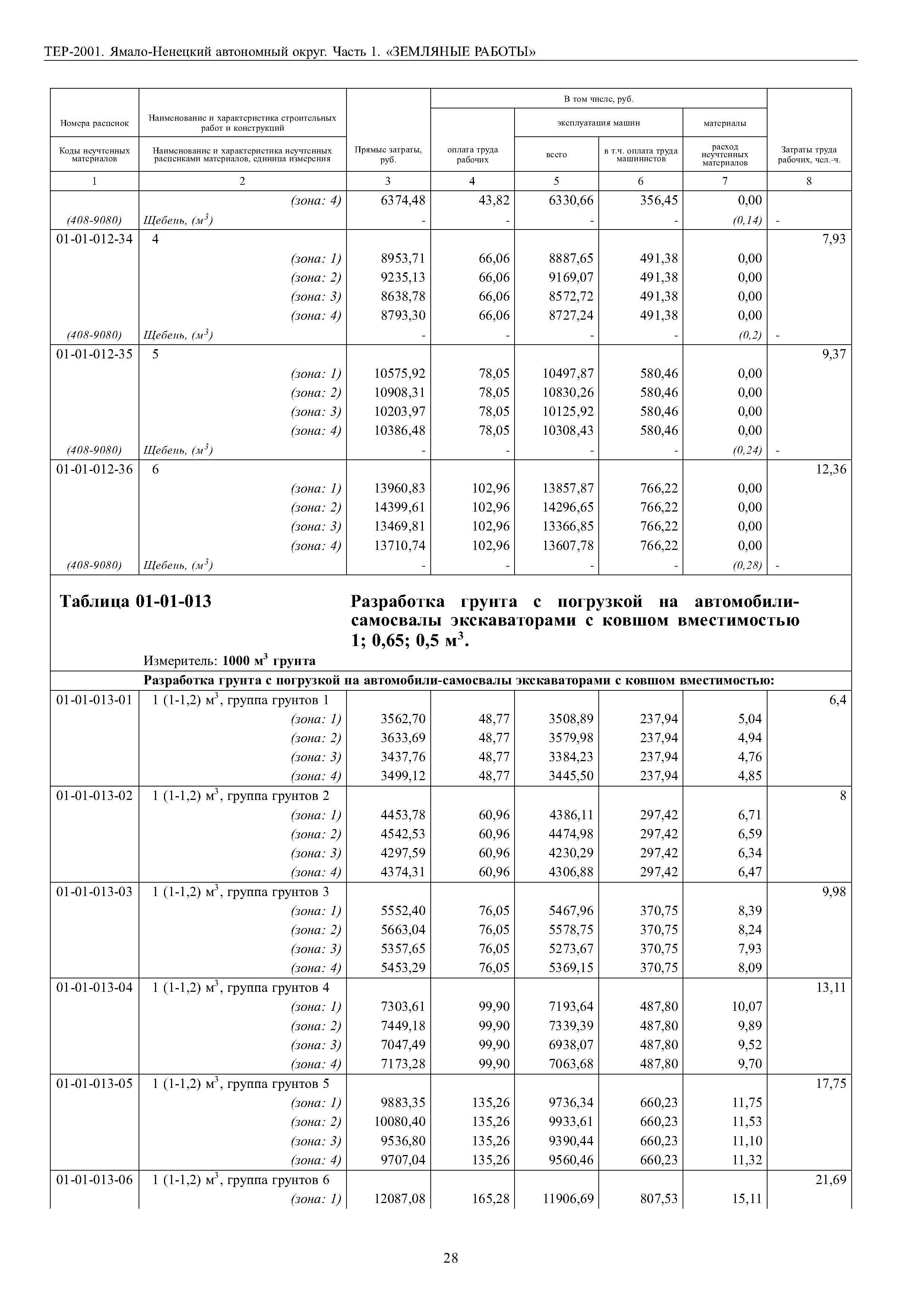
| Оглавление: | Раздел 1. Механизированная разработка грунтов (экскаваторами, скреперами, бульдозерами, грейдерами, методом гидромеханизации и пр.) Таблица 01-01-001 Разработка грунта в отвал экскаваторами «драглайн» одноковшовыми электрическими шагающими при работе на гидроэнергетическом строительстве с ковшом вместимостью 15; 10; 6,3-6,5; 5-6 м3 Таблица 01-01-002 Разработка грунта в отвал экскаваторами «драглайн» или «обратная лопата» с ковшом вместимостью 2,5; 1,6; 1,25 м3 Таблица 01-01-003 Разработка грунта в отвал экскаваторами «драглайн» или «обратная лопата» с ковшом вместимостью 1; 0,65; 0,5 м3 Таблица 01-01-004 Разработка грунта в отвал экскаваторами «драглайн» или «обратная лопата» с ковшом вместимостью 0,4; 0,25 м3 Таблица 01-01-005 Разработка грунта траншейными роторными экскаваторами Таблица 01-01-006 Разработка грунта в отвал в котлованах объемом до 500 м3 экскаваторами с ковшом вместимостью 0,4; 0,25 м3 Таблица 01-01-007 Разработка грунта в отвал в котлованах объемом до 1000 м3 экскаваторами с ковшом вместимостью 0,5; 0,4; 0,25 м3 Таблица 01-01-008 Разработка грунта в отвал в котлованах объемом от 1000 до 3000 м3 экскаваторами с ковшом вместимостью 0,65; 0,5 м3 Таблица 01-01-009 Разработка грунта в траншеях экскаваторами «обратная лопата» с ковшом вместимостью 1; 0,65; 0,5; 0,4; 0,25 м3 в отвал Таблица 01-01-010 Разработка грунта в отвал экскаваторами типа "ATLAS", "VOLVO", "KOMATSU", "HITACHI", "LIEBHER" с ковшом вместимостью 2,5; 1,6; 1,25; 1,0; 0,65; 0,5; 0,4; 0,25; 0,15 м3 Таблица 01-01-011 Разработка грунта с погрузкой на автомобили-самосвалы экскаваторами одноковшовыми электрическими карьерными при работе на гидроэнергетическом строительстве с ковшом вместимостью 8; 5; 4,6 м3 Таблица 01-01-012 Разработка грунта с погрузкой на автомобили-самосвалы экскаваторами с ковшом вместимостью 2,5; 1,6; 1,25 м3 Таблица 01-01-013 Разработка грунта с погрузкой на автомобили-самосвалы экскаваторами с ковшом вместимостью 1; 0,65; 0,5 м3 Таблица 01-01-014 Разработка грунта с погрузкой на автомобили-самосвалы экскаваторами с ковшом вместимостью 0,4; 0,25; 0,15 м3 Таблица 01-01-015 Ремонт и содержание грунтовых землевозных дорог на каждые 0,5 км длины Таблица 01-01-016 Работа на отвале Таблица 01-01-017 Устройство и содержание щитов и сланей под автотранспортные средства Таблица 01-01-018 Разработка грунта в котлованах объемом до 500 м3 с погрузкой в автомобили-самосвалы экскаваторами с ковшом вместимостью 0,25; 0,4 м3 Таблица 01-01-019 Разработка грунта с погрузкой на автомобили-самосвалы в котлованах объемом до 1000 м3 экскаваторами с ковшом вместимостью 0,5; 0,4; 0,25 м3 Таблица 01-01-020 Разработка грунта с погрузкой на автомобили-самосвалы в котлованах объемом от 1000 до 3000 м3 экскаваторами с ковшом вместимостью 0,65; 0,5 м3 Таблица 01-01-021 Разработка грунта в котлованах объемом от 3000 до 7000 м3 с погрузкой на автомобили-самосвалы экскаваторами с ковшом вместимостью 1; 0,65; 0,5 м3 Таблица 01-01-022 Разработка грунта в траншеях экскаваторами «обратная лопата» вместимостью 1; 0,65; 0,5; 0,4; 0,25 м3 с погрузкой на автомобили-самосвалы Таблица 01-01-023 Разработка грунта скреперами прицепными Таблица 01-01-024 Разработка грунта скреперами самоходными Таблица 01-01-030 Разработка грунта бульдозерами мощностью 59; 79 кВт (80; 108 л.с.) Таблица 01-01-031 Разработка грунта бульдозерами мощностью 96; 121 кВт (130; 165 л.с.) Таблица 01-01-032 Разработка грунта бульдозерами мощностью 132; 243 кВт (180; 330 л.с.) Таблица 01-01-033 Засыпка траншей и котлованов бульдозерами мощностью 59; 79 кВт (80; 108 л.с.) Таблица 01-01-034 Засыпка траншей и котлованов бульдозерами мощностью 96; 121 кВт (130; 165 л.с.) Таблица 01-01-035 Засыпка траншей и котлованов бульдозерами мощностью 132; 243 кВт (180; 330 л.с.) Таблица 01-01-036 Планировка площадей бульдозерами мощностью 59; 79; 132; 243 кВт (80; 108;180; 330 л.с.) Таблица 01-01-037 Засыпка траншей и котлованов предварительно разрыхленным скальным грунтом бульдозерами мощностью 79; 132; 243 кВт (108, 180, 330 л.с.) Таблица 01-01-042 Разработка выемок с отсыпкой грунта в кавальеры экскаваторами «драглайн» с ковшом вместимостью 1; 0,65; 0,5 м3 Таблица 01-01-043 Разработка выемок и карьеров экскаваторами с ковшом вместимостью 2,5; 1 м3 с перемещением и отсыпкой грунта в насыпи железнодорожными составами широкой колеи Таблица 01-01-044 Возведение насыпей из резервов экскаваторами «драглайн» с ковшом вместимостью 1; 0,65; 0,5 м3 Таблица 01-01-045 Устройство дорожных насыпей грейдер-элеваторами Таблица 01-01-046 Устройство дорожных насыпей бульдозерами Таблица 01-01-047 Устройство сливной призмы и кюветов в выемках Таблица 01-01-048 Разработка продольных водоотводных и нагорных канав Таблица 01-01-049 Срезка недобора грунта в выемках Таблица 01-01-055 Рытье и засыпка траншей роторными экскаваторами для трубопроводов диаметром 300-700 мм Таблица 01-01-056 Рытье и засыпка траншей роторными экскаваторами для трубопроводов диаметром 800-1000 мм Таблица 01-01-057 Рытье и засыпка траншей роторными экскаваторами для трубопроводов диаметром 1200-1400 мм Таблица 01-01-058 Рытье и засыпка траншей для трубопроводов диаметром 300-600 мм одноковшовыми экскаваторами с ковшом вместимостью 0,65 м3 Таблица 01-01-059 Рытье и засыпка траншей для трубопроводов диаметром 700-800 мм одноковшовыми экскаваторами с ковшом вместимостью 0,65 м3 Таблица 01-01-060 Рытье и засыпка траншей для трубопроводов диаметром 1000 мм одноковшовыми экскаваторами с ковшом вместимостью 0,65 м3 Таблица 01-01-061 Рытье и засыпка траншей для трубопроводов диаметром 1000 мм одноковшовыми экскаваторами с ковшом вместимостью 1 м3 Таблица 01-01-062 Рытье и засыпка траншей для трубопроводов диаметром 1000 мм одноковшовыми экскаваторами с ковшом вместимостью 1,25 м3 Таблица 01-01-063 Рытье и засыпка траншей для трубопроводов диаметром 1200 мм одноковшовыми экскаваторами с ковшом вместимостью 0,65 м3 Таблица 01-01-064 Рытье и засыпка траншей для трубопроводов диаметром 1200 мм одноковшовыми экскаваторами с ковшом вместимостью 1 м3 Таблица 01-01-065 Рытье и засыпка траншей для трубопроводов диаметром 1200 мм одноковшовыми экскаваторами с ковшом вместимостью 1,25 м3 Таблица 01-01-066 Рытье и засыпка траншей для трубопроводов диаметром 1400 мм одноковшовыми экскаваторами с ковшом вместимостью 1 м3 Таблица 01-01-067 Рытье и засыпка траншей для трубопроводов диаметром 1400 мм одноковшовыми экскаваторами с ковшом вместимостью 1,25 м3 Таблица 01-01-068 Рытье и засыпка траншей одноковшовыми экскаваторами с ковшом вместимостью 0,65 м3 для трубопроводов диаметром до 600 мм при балластировке и закреплении трубопроводов на обводненных и затопляемых участках Таблица 01-01-069 Рытье и засыпка траншей одноковшовыми экскаваторами с ковшом вместимостью 0,65 м3 для трубопроводов диаметром 700-800 мм при балластировке и закреплении трубопроводов на обводненных и затопляемых участках Таблица 01-01-070 Рытье и засыпка траншей одноковшовыми экскаваторами с ковшом вместимостью 0,65 м3 для трубопроводов диаметром до 1000 мм при балластировке и закреплении трубопроводов на обводненных и затопляемых участках Таблица 01-01-071 Рытье и засыпка траншей для трубопроводов диаметром 1000 мм при балластировке и закреплении трубопроводов на обводненных и затопляемых участках одноковшовыми экскаваторами с ковшом вместимостью 1 м3 Таблица 01-01-072 Рытье и засыпка траншей для трубопроводов диаметром 1000 мм при балластировке и закреплении трубопроводов на обводненных и затопляемых участках одноковшовыми экскаваторами с ковшом вместимостью 1,25 м3 Таблица 01-01-073 Рытье и засыпка траншей одноковшовыми экскаваторами с ковшом вместимостью 0,65 м3 для трубопроводов диаметром 1200 мм при балластировке и закреплении трубопроводов на обводненных и затопляемых участках Таблица 01-01-074 Рытье и засыпка траншей для трубопроводов диаметром 1200 мм при балластировке трубопроводов на обводненных и затопляемых участках одноковшовыми экскаваторами с ковшом вместимостью 1 м3 Таблица 01-01-075 Рытье и засыпка траншей для трубопроводов диаметром 1200 мм при балластировке и закреплении трубопроводов на обводненных и затопляемых участках одноковшовыми экскаваторами с ковшом вместимостью 1,25 м3 Таблица 01-01-076 Рытье и засыпка траншей для трубопроводов диаметром 1400 мм при балластировке и закреплении трубопроводов на обводненных и затопляемых участках одноковшовыми экскаваторами с ковшом вместимостью 1м3 Таблица 01-01-077 Рытье и засыпка траншей для трубопроводов диаметром 1400 мм при балластировке и закреплении трубопроводов на обводненных и затопляемых участках одноковшовыми экскаваторами с ковшом вместимостью 1,25 м3 Таблица 01-01-078 Рытье траншей одноковшовыми экскаваторами с ковшом вместимостью 0,65 м3 на заболоченных и обводненных участках при работе со сланей для трубопроводов Таблица 01-01-079 Рытье траншей на болотах одноковшовыми экскаваторами с ковшом вместимостью 0,65 м3 при работе с понтона Таблица 01-01-080 Устройство траншей на болотах методом взрыва Таблица 01-01-081 Разработка траншей с разравниванием и уплотнением грунта на полке одноковшовыми экскаваторами при продольных уклонах от б до 15 градусов Таблица 01-01-082 Разработка траншей с вывозкой грунта при уклоне от до 15 градусов Таблица 01-01-083 Засыпка траншей на полках бульдозерами грунтом из кавальеров при продольных уклонах от 6 до 15 градусов Таблица 01-01-084 Устройство полок одноковшовыми экскаваторами с ковшом вместимостью 0,65 м3 на поперечных уклонах более 8 градусов с укладкой грунта в отвал Таблица 01-01-085 Устройство полок одноковшовыми экскаваторами с ковшом вместимостью 0,65 м3 на поперечных уклонах более 8 градусов с погрузкой грунта на автосамосвалы Таблица 01-01-086 Разработка грунта бульдозерами мощностью 303; 340 кВт (410; 450 л.с.) Таблица 01-01-087 Засыпка траншей и котлованов бульдозерами мощностью 303; 340 кВт (410; 450 л.с.) Таблица 01-01-088 Планировка площадей бульдозерами мощностью 303; 340 кВт (410; 450 л.с.) Таблица 01-01-093 Устройство каналов, дамб обвалования одноковшовыми экскаваторами с ковшом вместимостью 2,5; 1; 0,65; 0,4; 0,25 м3 Таблица 01-01-094 Устройство каналов многоковшовыми экскаваторами поперечного черпания с ковшом вместимостью 15 л Таблица 01-01-095 Устройство каналов многоковшовыми экскаваторами поперечного черпания с ковшом вместимостью 15 л в грунтах с наличием воды Таблица 01-01-096 Очистка каналов многоковшовыми экскаваторами поперечного черпания с ковшом вместимостью 15 л Таблица 01-01-097 Очистка каналов с заросшими откосами, с наличием корней и отдельных включений многоковшовыми экскаваторами поперечного черпания с ковшом вместимостью 15 л Таблица 01-01-098 Устройство каналов двухроторными экскаваторами Таблица 01-01-099 Устройство каналов шнекороторными экскаваторами Таблица 01-01-100 Устройство каналов плужными канавокопателями с трактором мощностью 79; 96; 132 кВт (108; 130; 180 л.с.) Таблица 01-01-101 Устройство каналов канавокопателями фрезерными на тракторе мощностью 103 кВт (140 л.с.) Таблица 01-01-102 Устройство каналов прицепными тяжелыми грейдерами Таблица 01-01-103 Устройство каналов, дамб и земляных подушек при глубине резервов и выемок до 1 м грейдер элеваторами Таблица 01-01-104 Устройство каналов, дамб и земляных подушек при глубине резервов и выемок свыше 1 м грейдер элеваторами Таблица 01-01-105 Устройство каналов и отсыпка дамб прицепными скреперами с ковшом вместимостью 3; 4,5; 7; 8; 10 и 15 м3 Таблица 01-01-106 Разравнивание кавальеров бульдозерами мощностью 59; 79; 96 кВт (80; 108; 130 л.с.) Таблица 01-01-107 Устройство временных оросителей канавокопателями с трактором мощностью 59 кВт (80 л.с.) Таблица 01-01-108 Планировка дна и откосов выемки, гребня и откосов насыпи прицепными грейдерами Таблица 01-01-109 Планировка откосов выемок и насыпей экскаваторами Таблица 01-01-110 Планировка откосов выемок и насыпей экскаваторами при погрузке в транспортное средство Таблица 01-01-111 Планировка дна и откосов выработок вручную Таблица 01-01-112 Планировка орошаемых площадей бескулисным способом Таблица 01-01-113 Планировка орошаемых площадей бульдозерами мощностью 59; 79; 96; 118 кВт (80; 108; 130; 160 л.с.) Таблица 01-01-114 Планировка орошаемых площадей бульдозерами мощностью 132 кВт (180 л.с.) Таблица 01-01-115 Планировка орошаемых площадей прицепными грейдерами и автогрейдерами Таблица 01-01-116 Выравнивание поверхности поливного участка грейдерами и автогрейдерами Таблица 01-01-117 Выравнивание орошаемых площадей длиннобазовыми планировщиками Таблица 01-01-118 Планировка рисовых чеков площадью до 10 га с устройством валиков бескулисным способом или кулисным с объемом кулис до 100 м3 на 1 га чека Таблица 01-01-119 Планировка рисовых чеков площадью до 10 га с устройством валиков кулисным способом с объемом кулис от 101 до 300 м3 на 1 га чека Таблица 01-01-120 Планировка рисовых чеков площадью до 10 га с устройством валиков кулисным способом с объемом кулис от 301 м3 до 900 м3 на 1 га чека Таблица 01-01-121 Планировка рисовых чеков площадью до 10 га с устройством валиков кулисным способом с объемом кулис от 301 м3 до 900 м3 на 1 га чека Таблица 01-01-122 Открытие и закрытие кулис Таблица 01-01-123 Устройство траншей под закрытый дренаж многоковшовыми экскаваторами с ковшом вместимостью 23 литра в отвал Таблица 01-01-124 Устройство траншей под закрытый дренаж многоковшовыми экскаваторами с ковшом вместимостью 35 литров в отвал Таблица 01-01-125 Уплотнение откосов каналов, уплотнение грунта, отсыпаемого в дамбы и плотины экскаваторами с ковшом вместимостью 1 м3 Таблица 01-01-126 Перемещение грунта тракторными прицепами (тележками) по пути с подъемом (в грузовом направлении) до 10% Таблица 01-01-127 Перемещение грунта тракторными прицепами (тележками) по пути с подъемом (в грузовом направлении) до 20% Таблица 01-01-128 Перемещение грунта тракторными прицепами (тележками) по пути с подъемом (в грузовом направлении) свыше 20% Таблица 01-01-129 Устройство закрытого дренажа вручную из керамических труб Таблица 01-01-130 Устройство вручную в траншеях, разработанных каналокопателями, закрытого дренажа из керамических труб Таблица 01-01-131 Устройство закрытого дренажа механизированным способом в траншеях глубиной до 2 м Таблица 01-01-132 Устройство закрытого дренажа из керамических труб с пластмассовыми соединительными муфтами механизированным способом в траншеях глубиной до 2 м Таблица 01-01-133 Устройство закрытого дренажа механизированным способом в траншеях глубиной до 4 м Таблица 01-01-134 Устройство дренажа дреноукладчиками (бестраншейными) с тягачами 118 кВт (160 л.с.) из пластмассовых труб Таблица 01-01-135 Устройство дренажа дреноукладчиками (бестраншейными) с тягачами 118 кВт (160 л.с.) из пластмассовых труб, предварительно изолированных защитно-фильтрующим материалом Таблица 01-01-136 Устройство кротового дренажа Таблица 01-01-137 Устройство кротового дренажа на сланях Таблица 01-01-138 Глубокое рыхление дренируемых земель тракторными рыхлителями Таблица 01-01-144 Разработка грунта 2 группы гидромониторно-насосно-землесосными установками Таблица 01-01-145 Разработка грунта 2 группы плавучими землесосными снарядами Таблица 01-01-146 Дополнительная транспортировка грунта 2 группы землесосными станциями перекачки при работе совместно с плавучими землесосными снарядами Таблица 01-01-147 Дополнительная транспортировка грунта 2 группы землесосными станциями перекачки при работе совместно с гидромониторно-насосно-землесосными установками Таблица 01-01-148 Разработка грунта в каналах плавучими землесосными снарядами производительностью 25 м3/час в отвал Таблица 01-01-149 Вспомогательные работы при разработке и укладке грунта гидромониторно-насосно-землесосными установками Таблица 01-01-150 Вспомогательные работы при разработке и укладке грунта плавучими землесосными снарядами Таблица 01-01-151 Укладка трубопроводов из стальных толстостенных труб Таблица 01-01-152 Укладка трубопроводов из стальных тонкостенных труб Таблица 01-01-153 Укладка трубопроводов из стальных толстостенных труб (соединение труб фланцевое) Таблица 01-01-154 Укладка трубопроводов из стальных тонкостенных труб (соединение труб фланцевое) Таблица 01-01-155 Укладка трубопроводов из стальных труб (соединение стыков раструбное) Раздел 2. Другие виды земляных работ, подготовительные, сопутствующие и укрепительные работы Таблица 0 1-02-001 Уплотнение грунта прицепными катками на пневмоколесном ходу 25 т Таблица 01-02-002 Уплотнение грунта прицепными кулачковыми катками 8 т Таблица 01-02-003 Уплотнение грунта вибрационными катками 2,2 т Таблица 01-02-004 Уплотнение грунта грунтоуплотняющими машинами со свободно падающими плитами Таблица 01-02-005 Уплотнение грунта пневматическими трамбовками Таблица 01-02-006 Полив водой уплотняемого грунта насыпей Таблица 01-02-007 Уплотнение грунта оснований под полы промышленных цехов Таблица 01-02-008 Полив водой основания под полы промышленных цехов Таблица 01-02-009 Уплотнение грунта под основание здания трамбующими плитами Таблица 01-02-010 Устройство грунтовых подушек на просадочных грунтах методом послойной укатки Таблица 01-02-011 Устройство непросадочного основания из грунтоцементной смеси с послойным трамбованием Таблица 01-02-017 Удаление растительно-корневого покрова и торфа Таблица 01-02-018 Устройство прорези на болотах Таблица 01-02-019 Перемещение грунта автомобилями-самосвалами для отсыпки насыпей в пределах болота Таблица 01-02-020 Обкатка насыпей на болотах Таблица 01-02-021 Контрольное бурение насыпей на болотах Таблица 01-02-027 Планировка площадей, откосов, полотна выемок и насыпей Таблица 01-02-028 Отделка земляного полотна железнодорожного пути широкой колеи путевым стругом перед сдачей в постоянную эксплуатацию Таблица 01-02-029 Устройство уступов по откосам насыпей Таблица 01-02-030 Устройство уступов в основании насыпей Таблица 01-02-031 Бурение ям бурильно-крановыми машинами Таблица 01-02-032 Рыхление грунта бульдозерами-рыхлителями мощностью 79; 121; 132 кВт (108; 165; 180 л.с.) Таблица 01-02-033 Засыпка пазух котлованов спецсооружений дренирующим песком Таблица 01-02-035 Укрепление откосов насыпных сооружений, конусов мостов и путепроводов геоячейками типа "ПРУДОН- 494" с заполнением торфопесчаной смесью Таблица 01-02-036 Укрепление откосов насыпных сооружений, конусов мостов и путепроводов геоячейками типа "ПРУДОН- 494 с заполнением щебнем Таблица 01-02-037 Укрепление откосов насыпных сооружений, конусов мостов и путепроводов геоячейками типа "ПРУДОН- 494" с заполнением растительным грунтом с посевом трав Таблица 01-02-038 Укрепление откосов насыпных сооружений, конусов мостов и путепроводов геоячейками типа "ПРУДОН- 494" с заполнением бетоном Таблица 01-02-039 Укрепление бровки откосов земляных сооружений дерновой лентой Таблица 01-02-040 Укрепление откосов земляных сооружений посевом многолетних трав Таблица 01-02-041 Полив посевов трав водой Таблица 01-02-042 Укрепление откосов земляных сооружений гидропосевом Таблица 01-02-043 Мощение откосов насыпи, дна и откосов кюветов Таблица 01-02-044 Устройство каменной наброски или призмы Таблица 01-02-045 Устройство упоров в основании откосов Таблица 01-02-046 Укрепление откосов земляного полотна бетонными плитами Таблица 01-02-047 Устройство упоров при укреплении откосов земляного полотна бетонными плитами Таблица 01-02-048 Укрепление нагорных и водоотводных канав, кюветов Таблица 01-02-049 Устройство оголовков Таблица 01-02-055 Разработка грунта вручную с креплениями в траншеях шириной до 2 м Таблица 01-02-056 Разработка грунта вручную в траншеях шириной более 2 м и котлованах площадью сечения до 5 м2 с креплениями Таблица 01-02-057 Разработка грунта вручную в траншеях глубиной до 2 м без креплений с откосами Таблица 01-02-058 Копание ям вручную без креплений для стоек и столбов Таблица 01-02-059 Рытье ям вручную глубиной 1,5 м под электрод заземления с обратной засыпкой Таблица 01-02-060 Погрузка вручную неуплотненного грунта в транспортные средства из штабелей и отвалов Таблица 01-02-061 Засыпка вручную траншей, пазух котлованов и ям Таблица 01-02-062 Разработка грунта вручную в траншеях на действующей железной дороге Таблица 01-02-063 Разработка грунта в траншеях и котлованах глубиной более 3 м вручную с подъемом краном при наличии креплений Таблица 01-02-065 Разработка скального грунта отбойными молотками Таблица 01-02-066 Крепление инвентарными щитами стенок траншей шириной до 2 м Таблица 01-02-067 Крепление досками стенок котлованов и траншей шириной более 2 м Таблица 01-02-068 Водоотлив Таблица 01-02-074 Разработка вечномерзлых грунтов в траншеях и котлованах глубиной до 2 м Таблица 01-02-075 Разработка вечномерзлых грунтов в траншеях и котлованах глубиной до 3 м Таблица 01-02-076 Разработка вечномерзлых грунтов в траншеях и котлованах глубиной более 3 м с подъемом кранами Таблица 01-02-077 Засыпка траншей и котлованов Таблица 01-02-078 Разработка вечномерзлых грунтов с разрыхлением грунта отбойными молотками Таблица 01-02-079 Разработка вечномерзлых грунтов с разрыхлением вручную Таблица 01-02-080 Разработка ям в вечномерзлых грунтах Таблица 01-02-081 Погрузка разрыхленных вечномерзлых грунтов в автомобили-самосвалы Таблица 01-02-082 Планировка площадей в вечномерзлых грунтах Таблица 01-02-083 Оттаивание вечномерзлых грунтов паропрогревом Таблица 01-02-084 Теплоизоляция открытых поверхностей торфом Таблица 01-02-085 Теплоизоляция поверхности оснований под насыпи торфом Таблица 01-02-086 Мощение камнем откосов, горизонтальных поверхностей и дна котлованов Таблица 01-02-087 Уборка снега со строительных площадок и дорог Таблица 01-02-088 Пробег машин к месту работы Таблица 0 1-02-089 Рыхление мерзлого грунта клин-молотом, подвешенным на стреле экскаватора Таблица 01-02-090 Рыхление мерзлого грунта баровыми установками мощностью 79 кВт (108 л.с.) Таблица 01-02-091 Механизированная разработка скальных грунтов в траншеях шириной 1,3 м и более с зачисткой недобора и выкидкой грунта на бровку Таблица 01-02-092 Механизированная разработка скальных грунтов при вертикальной планировке и в котлованах баровой машиной и бульдозером Таблица 01-02-093 Погрузка вручную неуплотненного мерзлого грунта в транспортные средства из штабелей и отвалов Таблица 01-02-099 Валка деревьев с корня Таблица 01-02-100 Трелевка древесины Таблица 01-02-101 Разделка древесины, полученной от валки леса Таблица 01-02-102 Устройство разделочных площадок Таблица 01-02-103 Корчевка деревьев в грунтах естественного залегания корчевателями-собирателями Таблица 01-02-104 Корчевка деревьев в торфяных грунтах корчевателями-собирателями Таблица 01-02-105 Корчевка пней в грунтах естественного залегания Таблица 01-02-106 Корчевка пней в торфяных грунтах Таблица 01-02-107 Засыпка ям Таблица 01-02-108 Обивка земли с выкорчеванных пней Таблица 01-02-109 Корчевка скрытых в верхних слоях залежей торфа пней и древесных остатков Таблица 01-02-110 Вывозка пней тракторными прицепами 2 т Таблица 01-02-111 Корчевка пней вручную Таблица 01-02-112 Срезка кустарника и мелколесья в грунтах естественного залегания Таблица 01-02-113 Срезка кустарника и мелколесья в торфяных и переувлажненных грунтах Таблица 01-02-114 Корчевка кустарника и мелколесья в грунтах естественного залегания Таблица 01-02-115 Корчевка кустарника и мелколесья в торфяных грунтах Таблица 01-02-116 Сгребание срезанного или выкорчеванного кустарника и мелколесья кустарниковыми граблями Таблица 01-02-117 Сгребание срезанного или выкорчеванного кустарника и мелколесья корчевателями-собирателями Таблица 01-02-118 Расчистка площадей от кустарника и мелколесья машинами глубинной подготовки полей Таблица 01-02-119 Расчистка площадей от кустарников и мелколесья вручную Таблица 01-02-120 Сжигание с перетряхиванием валов из кустарников, мелколесья и корней Таблица 01-02-121 Повторное сжигание с перетряхиванием валов из кустарника, мелколесья и корней Таблица 01-02-122 Перетряхивание валов из кустарника, мелколесья и корней Таблица 01-02-123 Корчевка корней срезанного кустарника и мелколесья, сбор древесных остатков валкователями, подбор древесных остатков подборщиками, выравнивание Таблица 01-02-124 Корчевка и уборка камней Таблица 01-02-130 Гидравлическое погружение иглофильтров, обсадных труб, установка иглофильтров Таблица 01-02-131 Извлечение легких иглофильтров Таблица 01-02-132 Монтаж и демонтаж всасывающего коллектора Таблица 01-02-133 Установка эжекторных водоподъемников Таблица 01-02-134 Извлечение эжекторных водоподъемников Таблица 01-02-135 Укладка грунта толщиной 20 см, пропитанного битумом Раздел 3. Механизированное рыхление и разработка вечномерзлых грунтов (экскаваторами, скреперами, бульдозерами) Таблица 01-03-001 Рыхление и разработка вечномерзлых грунтов в отвал экскаваторами «драглайн» или «обратная лопата» с ковшом вместимостью 2,5; 1,6; 1,25 м3 Таблица 01-03-002 Рыхление и разработка вечномерзлых грунтов в отвал экскаваторами «драглайн» или «обратная лопата» с ковшом вместимостью 1; 0,65; 0,5 м3 Таблица 01-03-003 Рыхление и разработка вечномерзлых грунтов в отвал экскаваторами «драглайн» или «обратная лопата» с ковшом вместимостью 0,4; 0,25 м3 Таблица 01-03-004 Рыхление и разработка вечномерзлых грунтов траншейными роторными экскаваторами Таблица 01-03-010 Рыхление и разработка вечномерзлых грунтов с погрузкой на автомобили-самосвалы экскаваторами одноковшовыми электрическими карьерными при работе на гидроэнергетическом строительстве Таблица 01-03-011 Рыхление и разработка вечномерзлых грунтов с погрузкой на автомобили-самосвалы экскаваторами с ковшом вместимостью 2,5; 1,6; 1,25 м3 Таблица 01-03-012 Рыхление и разработка вечномерзлых грунтов с погрузкой на автомобили-самосвалы экскаваторами с ковшом вместимостью 1; 0,65; 0,5 м3 Таблица 01-03-013 Рыхление и разработка вечномерзлых грунтов с погрузкой на автомобили-самосвалы экскаваторами с ковшом вместимостью 0,4; 0,25 м3 Таблица 01-03-014 Ремонт и содержание грунтовых землевозных дорог на каждые 0,5 км длины Таблица 01-03-015 Работа на отвале Таблица 01-03-021 Рыхление и разработка вечномерзлых грунтов скреперами прицепными Таблица 01-03-022 Рыхление и разработка вечномерзлых грунтов скреперами самоходными Таблица 01-03-028 Рыхление и разработка вечномерзлых грунтов бульдозерами мощностью 59; 79 кВт (80; 108 л.с.) Таблица 01-03-029 Рыхление и разработка вечномерзлых грунтов бульдозерами мощностью 96; 121 кВт (130; 165 л.с.) Таблица 01-03-030 Рыхление и разработка вечномерзлых грунтов бульдозерами мощностью 132; 243 кВт (180; 330 л.с.) Таблица 01-03-031 Засыпка траншей и котлованов бульдозерами мощностью 59; 79 кВт (80; 108л.с.) Таблица 01-03-032 Засыпка траншей и котлованов бульдозерами мощностью 96; 121 кВт (130; 165 л.с.) Таблица 01-03-033 Засыпка траншей и котлованов бульдозерами мощностью 132; 243 кВт (180; 330 л.с.) Таблица 01-03-034 Планировка площадей бульдозерами Таблица 01-03-040 Рыхление и разработка выемок в вечномерзлых грунтах с отсыпкой грунта в кавальеры экскаваторами «драглайнами» Таблица 01-03-041 Рыхление и разработка выемок и карьеров в вечномерзлых грунтах экскаваторами с перемещением и отсыпкой грунта в насыпи железнодорожными составами широкой колеи Таблица 01-03-042 Возведение насыпей из резервов экскаваторами «драглайнами» Таблица 01-03-043 Устройство дорожных насыпей грейдер-элеваторами Таблица 01-03-044 Устройство дорожных насыпей бульдозерами Таблица 01-03-045 Устройство сливной призмы и кюветов в выемках Таблица 01-03-046 Рыхление и разработка продольных водоотводных и нагорных канав Таблица 01-03-047 Срезка недобора грунта в выемках Таблица 01-03-053 Рытье и засыпка траншей роторными экскаваторами для трубопроводов диаметром 300-700 мм в вечномерзлых грунтах Таблица 01-03-054 Рытье и засыпка траншей роторными экскаваторами для трубопроводов диаметром 800-1000 мм в вечномерзлых грунтах Таблица 01-03-055 Рытье и засыпка траншей роторными экскаваторами для трубопроводов диаметром 1200-1400 мм в вечномерзлых грунтах Таблица 01-03-056 Рытье и засыпка траншей для трубопроводов диаметром 300-600 мм одноковшовыми экскаваторами вечномерзлых грунтах Таблица 01-03-057 Рытье и засыпка траншей для трубопроводов диаметром 700-800 мм одноковшовыми экскаваторами вечномерзлых грунтах Таблица 01-03-058 Рытье и засыпка траншей для трубопроводов диаметром 1000 мм одноковшовыми экскаваторами с ковшом вместимостью 0,65 м3 в вечномерзлых грунтах Таблица 01-03-059 Рытье и засыпка траншей для трубопроводов диаметром 1000 мм одноковшовыми экскаваторами с ковшом вместимостью 1 м3 в вечномерзлых грунтах Таблица 01-03-060 Рытье и засыпка траншей для трубопроводов диаметром 1000 мм одноковшовыми экскаваторами с ковшом вместимостью 1,25 м3 в вечномерзлых грунтах Таблица 01-03-061 Рытье и засыпка траншей для трубопроводов диаметром 1200 мм одноковшовыми экскаваторами с ковшом вместимостью 0,65 м3 в вечномерзлых грунтах Таблица 01-03-062 Рытье и засыпка траншей для трубопроводов диаметром 1200 мм одноковшовыми экскаваторами с ковшом вместимостью 1 м3 в вечномерзлых грунтах Таблица 01-03-063 Рытье и засыпка траншей для трубопроводов диаметром 1200 мм одноковшовыми экскаваторами с ковшом вместимостью 1,25 м3 в вечномерзлых грунтах Таблица 01-03-064 Рытье и засыпка траншей для трубопроводов диаметром 1400 мм одноковшовыми экскаваторами с ковшом вместимостью 1 м3 в вечномерзлых грунтах Таблица 01-03-065 Рытье и засыпка траншей для трубопроводов диаметром 1400 мм одноковшовыми экскаваторами с ковшом вместимостью 1,25 м3 в вечномерзлых грунтах Таблица 01-03-066 Рыхление и разработка траншей в вечномерзлых грунтах с разравниванием и уплотнением грунта на полке одноковшовыми экскаваторами при продольных уклонах от 6 до 15 градусов Таблица 01-03-067 Рыхление и разработка траншей в вечномерзлых грунтах с вывозкой грунта при уклоне от 6 до 15 градусов Таблица 01-03-068 Устройство полок в вечномерзлых грунтах одноковшовыми экскаваторами 0,65 м3 на поперечных уклонах более 8 градусов с укладкой грунта в отвал Таблица 01-03-069 Устройство полок в вечномерзлых грунтах одноковшовыми экскаваторами 0,65 м3 на поперечных уклонах более 8 градусов с погрузкой грунта на автосамосвалы Таблица 01-03-070 Разработка предварительно разрыхленного вечномерзлого грунта бульдозерами Таблица 01-03-071 Засыпка траншей и котлованов бульдозерами в вечномерзлых грунтах Таблица 01-03-072 Планировка площадей бульдозерами |
| Разработан: | Сибирский центр ценообразования в строительстве, промышленности и энергетике |
| Утверждён: | 13.10.2011 Правительство Ямало-Ненецкого автономного округа (755-п) |
| Принят: | 05.07.2011 Министерство регионального развития Российской Федерации (17636-АП/08) |
| Расположен в: |




















































































































































































































































































