| ||||||||||||||||||||||||||||||
Скачать Технический регламент Таможенного союза 034/2013 О безопасности мяса и мясной продукцииДата актуализации: 10.08.2017
|
| Обозначение: | Технический регламент Таможенного союза 034/2013 |
| Обозначение англ: | 034/2013 |
| Статус: | действует |
| Название рус.: | О безопасности мяса и мясной продукции |
| Дата добавления в базу: | 01.10.2014 |
| Дата актуализации: | 05.05.2017 |
| Дата введения: | 01.05.2014 |
| Область применения: | Технический регламент устанавливает обязательные для применения и исполнения на таможенной территории Таможенного союза требования безопасности к продуктам убоя и мясной продукции и связанные с ними требования к процессам производства, хранения, перевозки, реализации и утилизации, а также требования к маркировке и упаковке продуктов убоя и мясной продукции для обеспечения свободного перемещения продукции, выпускаемой в обращение на таможенной территории Таможенного союза. |
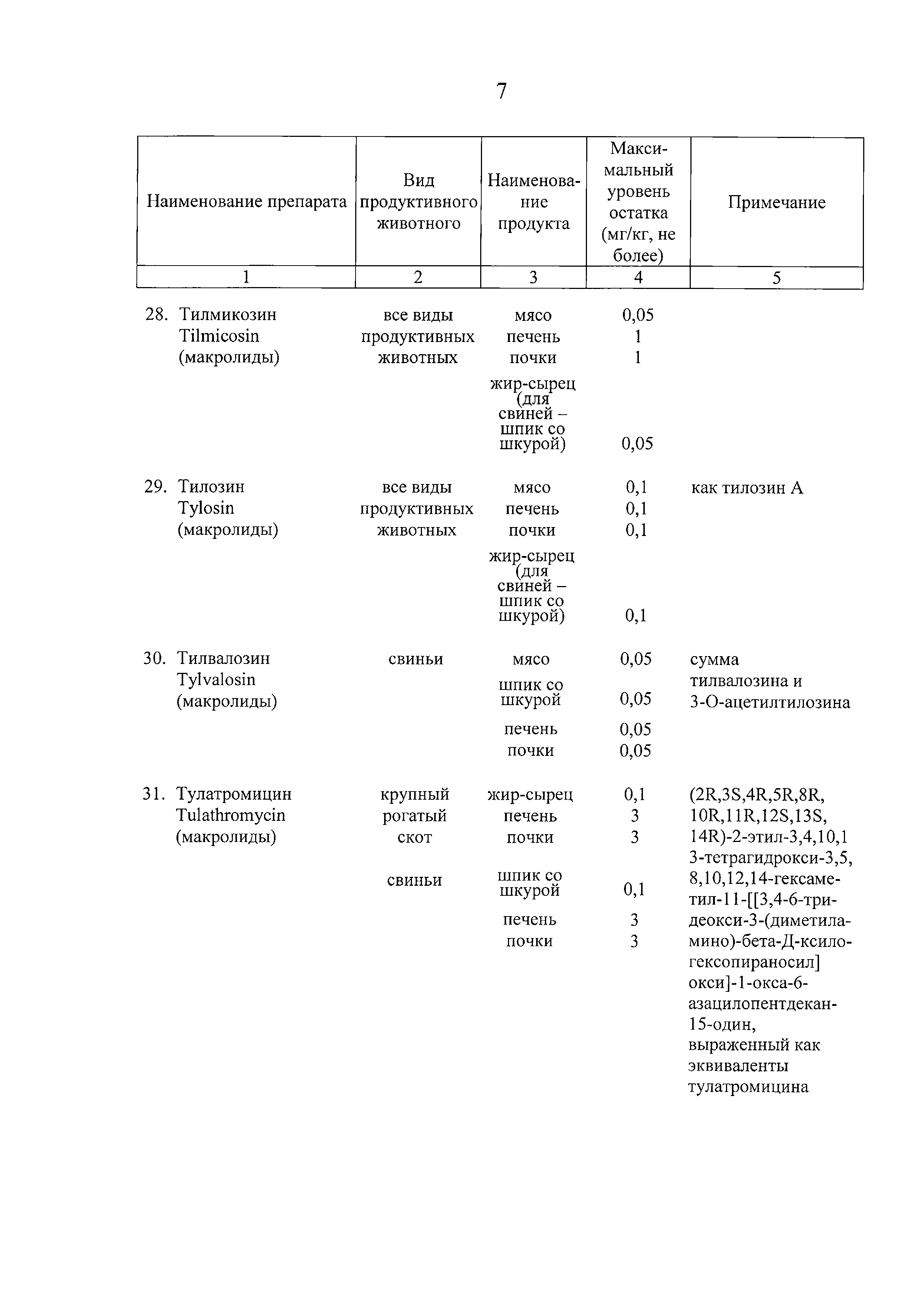
| Оглавление: | I. Область применения II. Основные понятия III. Правила идентификации продуктов убоя и мясной продукции IV. Правила обращения продуктов убоя и мясной продукции на рынке государств - членов Таможенного союза и Единого экономического пространства V. Требования безопасности к продуктам убоя и мясной продукции VI. Требования к процессам производства продуктов убоя и мясной продукции VII. Требования к продуктам убоя и процессам их производства VIII. Требования к мясной продукции и процессам ее производства IX. Требования к процессам хранения, перевозки, реализации и утилизации X. Требования к упаковке продуктов убоя и мясной продукции XI. Требования к маркировке продуктов убоя и мясной продукции XII. Обеспечение соответствия продуктов убоя и мясной продукции требованиям безопасности XIII. Оценка (подтверждение) соответствия продуктов убоя и мясной продукции XIV. Маркировка единым знаком обращения продукции на рынке государств - членов Таможенного союза XV. Государственный контроль (надзор) за соблюдением требований настоящего технического регламента XVI. Защитительная оговорка Приложение № 1 Микробиологические нормативы безопасности продуктов убоя и мясной продукции Приложение № 2 Микробиологические нормативы безопасности (промышленной стерильности) консервов Приложение № 3 Гигиенические требования безопасности продуктов убоя, предназначенных для производства мясной продукции для детского питания Приложение № 4 Требования к физико-химическим показателям мясной продукции для детского питания Приложение № 5 Максимальные допустимые уровни остатков ветеринарных (зоотехнических) препаратов, стимуляторов роста животных (в том числе гормональных препаратов) и лекарственных средств (в том числе антибиотиков) в продуктах убоя, контролируемые согласно информации об их использовании |
| Утверждён: | 09.10.2013 Совет Евразийской экономической комиссии (68) |
| Издан: | Сайт Евразийской экономической комиссии () (11 октября 2013 г.) |
| Расположен в: | |
| Нормативные ссылки: |













































































































