| ||||||||||||||||||||||||||
Скачать МУ 5863-91 Методические указания по фотометрическому измерению концентраций флоримицина и полимиксина в воздухе рабочей зоныДата актуализации: 10.08.2017
|
| Обозначение: | МУ 5863-91 |
| Обозначение англ: | MU 5863-91 |
| Статус: | cправочные материалы, мп, тпр |
| Название рус.: | Методические указания по фотометрическому измерению концентраций флоримицина и полимиксина в воздухе рабочей зоны |
| Дата добавления в базу: | 01.10.2014 |
| Дата актуализации: | 05.05.2017 |
| Область применения: | Методические указания по измерению концентраций вредных веществ в воздухе рабочей зоны предназначены для санитарно-эпидемиологических станций и санитарных лабораторий промышленных предприятий при осуществлении контроля за содержанием вредных веществ в воздухе рабочей зоны, а так же научно-исследовательских институтов и других заинтересованных министерств и ведомств. |
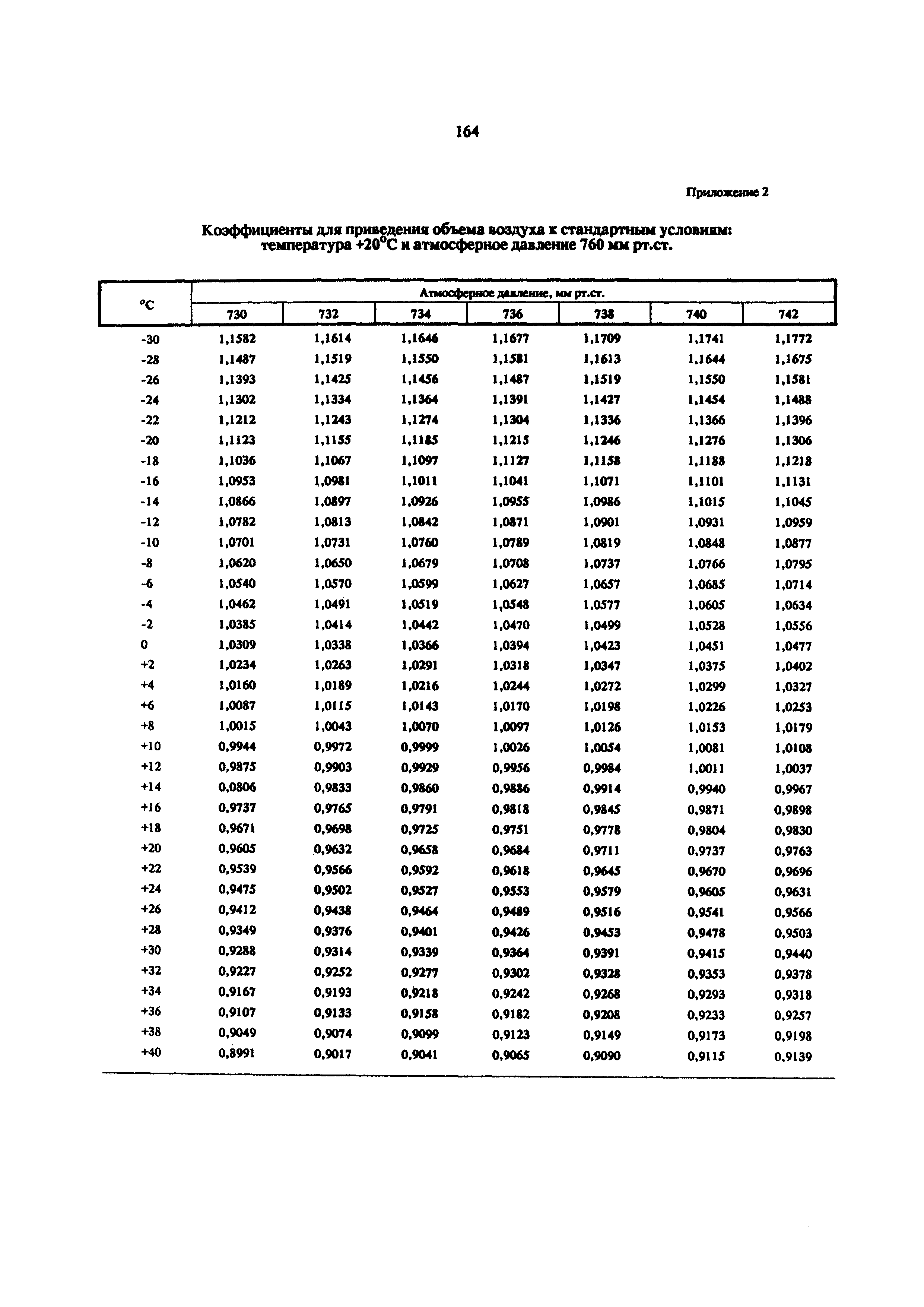
| Оглавление: | Характеристика метода Приборы, посуда, аппаратура Реактивы, растворы, материалы Отбор проб воздуха Подготовка к измерению Проведение измерения Расчет концентрации Приложение 1. Приведение объема воздуха к стандартным условиям Приложение 2. Коэффициенты для приведения объема воздуха к стандартным условиям Приложение 3. Список учреждений, представивших методики в данный сборник |
| Утверждён: | 10.09.1991 Заместитель Главного государственного санитарного врача СССР |
| Расположен в: | |
| Нормативные ссылки: |
|














