Скачать Постановление 284-ПП Об оптимизации порядка утверждения архитектурно-градостроительных решений объектов капитального строительства в городе МосквеДата актуализации: 10.08.2017 Постановление 284-ПП
Об оптимизации порядка утверждения архитектурно-градостроительных решений объектов капитального строительства в городе МосквеОбозначение: | Постановление 284-ПП | Обозначение англ: | Resolution 284-ПП | Статус: | действует | Название рус.: | Об оптимизации порядка утверждения архитектурно-градостроительных решений объектов капитального строительства в городе Москве | Дата добавления в базу: | 01.10.2014 | Дата актуализации: | 05.05.2017 | Дата введения: | 01.07.2013 | Область применения: | Положение, утвержденное постановлением, распространяется на объекты капитального строительства, архитектурно-градостроительные решения которых разработаны как в рамках индивидуальных, так и типовых проектов (в том числе повторного применения), и не распространяется на объекты культурного наследия и выявленные объекты культурного наследия, объекты индивидуального жилищного строительства, а также линейные объекты (за исключением мостов, эстакад и путепроводов).
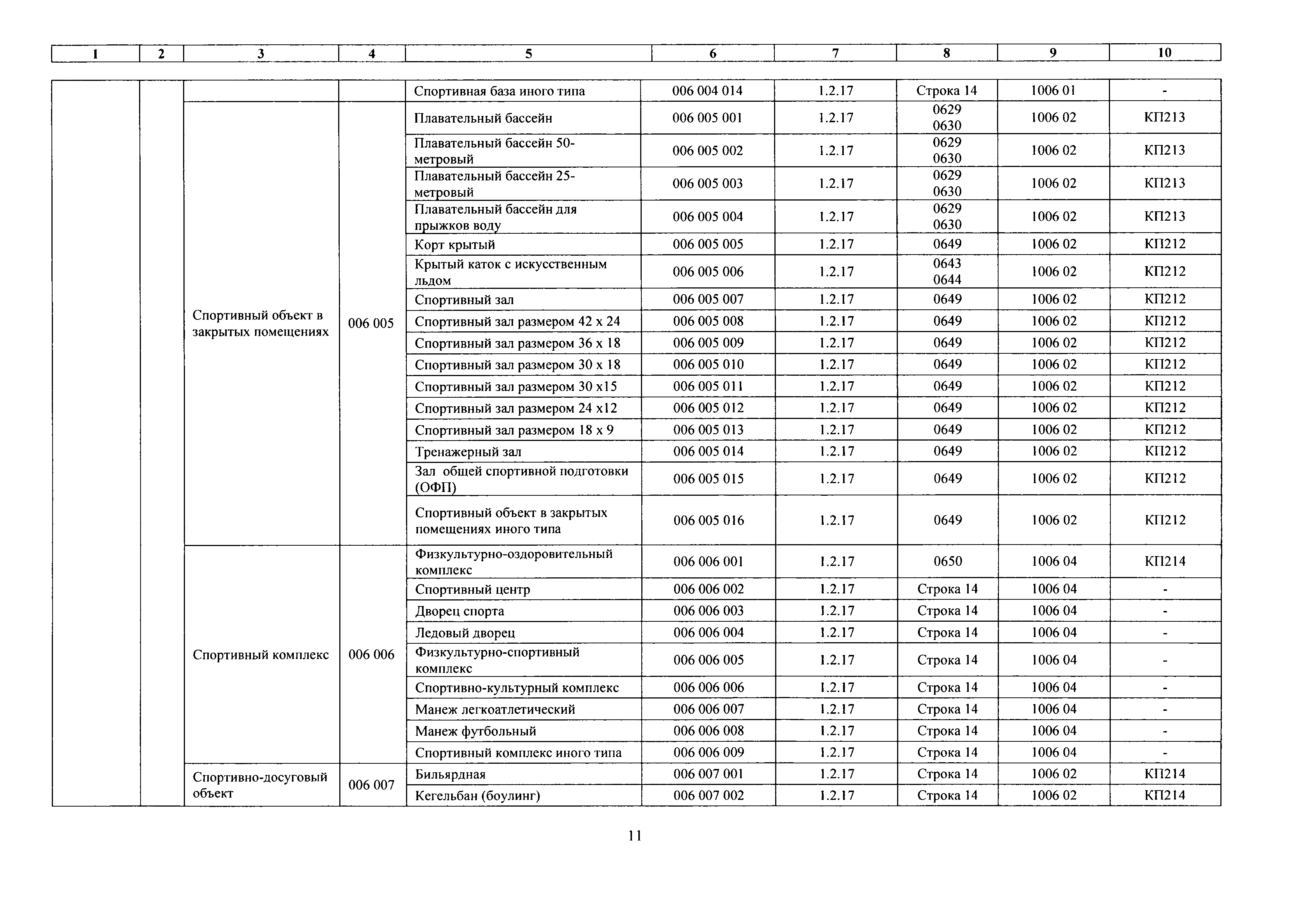
Административный регламент, утвержденный постановлением, устанавливает последовательность и сроки административных процедур (действий) и (или) принятия решений по предоставлению государственной услуги, осуществляемых по запросу (заявлению) физического, юридического лица или индивидуального предпринимателя либо их уполномоченных представителей. | Оглавление: | Положение об утверждении архитектурно-градостроительных решений объектов капитального строительства в городе Москве Административный регламент предоставления государственной услуги "Подготовка и выдача свидетельства об утверждении архитектурно-градостроительного решения объекта капитального строительства" в городе Москве 1. Общие положения 2. Стандарт предоставления государственной услуги 2.1. Наименование государственной услуги 2.2. Правовые основания предоставления государственной услуги 2.3. Наименование органа исполнительной власти города Москвы, предоставляющего государственную услугу 2.4. Заявители 2.5. Документы, необходимые для предоставления государственной услуги 2.6. Услуги, необходимые и обязательные для предоставления государственной услуги 2.7. Срок предоставления государственной услуги 2.8. Отказ в приеме документов, необходимых для предоставления государственной услуги 2.9. Приостановление предоставления государственной услуги 2.10. Отказ в предоставлении государственной услуги 2.11. Результат предоставления государственной услуги 2.12. Плата за предоставление государственной услуги 2.13. Показатели доступности и качества государственной услуги 2.14. Порядок информирования о предоставлении государственной услуги 3. Состав, последовательность и сроки выполнения административных процедур, требования к порядку их выполнения 4. Формы контроля за исполнением Регламента 5. Досудебный (внесудебный) порядок обжалования решений и действий (бездействия) Комитета и его должностных лиц Приложение. Состав и требования к материалам архитектурно-градостроительного решения объекта капитального строительства, необходимым для предоставления государственной услуги "Подготовка и выдача свидетельства об утверждении архитектурно-градостроительного решения объекта капитального строительства" в городе Москве | Утверждён: | 30.04.2013 Правительство Москвы (Government of the City of Moscow 284-ПП)
| Издан: | Вестник Мэра и Правительства Москвы (за май 2013 г. № 25)
| Расположен в: |
| Список изменений: | № 2 от 01.09.2015 ("Официальный портал Мэра и Правительства Москвы" (от 22.05.2015 г.) № 3 от 01.07.2016 ("Официальный портал Мэра и Правительства Москвы" (от 22.05.2015 г., Согласно постановлению Правительства Москвы от 22 декабря 2015 г. № 911-ПП, Приложение № 2 к постановлению 284-ПП от 30.04.2013 г. изложено в новой редакции, поэтому изменения, вносимые 306-ПП от 21 мая 2015 г. не актуальны.) № 6 от 22.12.2015 ("Официальный портал Мэра и Правительства Москвы (от 23.12.2015 г.) № 3/2 от 29.03.2016 ("Официальный портал Мэра и Правительства Москвы" (от 29.03.2016 г.)
| Нормативные ссылки: | |
Текстовое изменение № 2 от 01.09.2015
    
Текстовое изменение № 3 от 01.07.2016
                                                                 
Текстовое изменение № 6 от 22.12.2015
                         
Текстовое изменение № 3/2 от 29.03.2016
|