| ||||||||||||||||||||||||||||||||||
Скачать ГОСТ Р 54426-2011 Руководство по проверке и обработке элегаза (SF6), взятого из электрооборудования, и технические требования к его повторному использованиюДата актуализации: 10.08.2017
|
| Обозначение: | ГОСТ Р 54426-2011 |
| Обозначение англ: | GOST R 54426-2011 |
| Статус: | действует |
| Название рус.: | Руководство по проверке и обработке элегаза (SF6), взятого из электрооборудования, и технические требования к его повторному использованию |
| Название англ.: | Guidelines for the checking and treatment of sulfur hexafluoride (SF6) taken from electrical equipment and specification for its re-use |
| Дата добавления в базу: | 01.10.2014 |
| Дата актуализации: | 05.05.2017 |
| Дата введения: | 01.01.2013 |
| Область применения: | Стандарт устанавливает требования к проверке и обработке элегаза после извлечения из электрооборудования и его повторного использования в процессе эксплуатации или по завершении его срока службы. Стандарт также устанавливает методы восстановления потребительских свойств элегаза до требуемого уровня, позволяющее его дальнейшее использование в новом или действующем оборудовании. Стандарт является руководством для оперативного и эксплуатационного персонала по испытаниям и надежной эксплуатации использованного элегаза. |
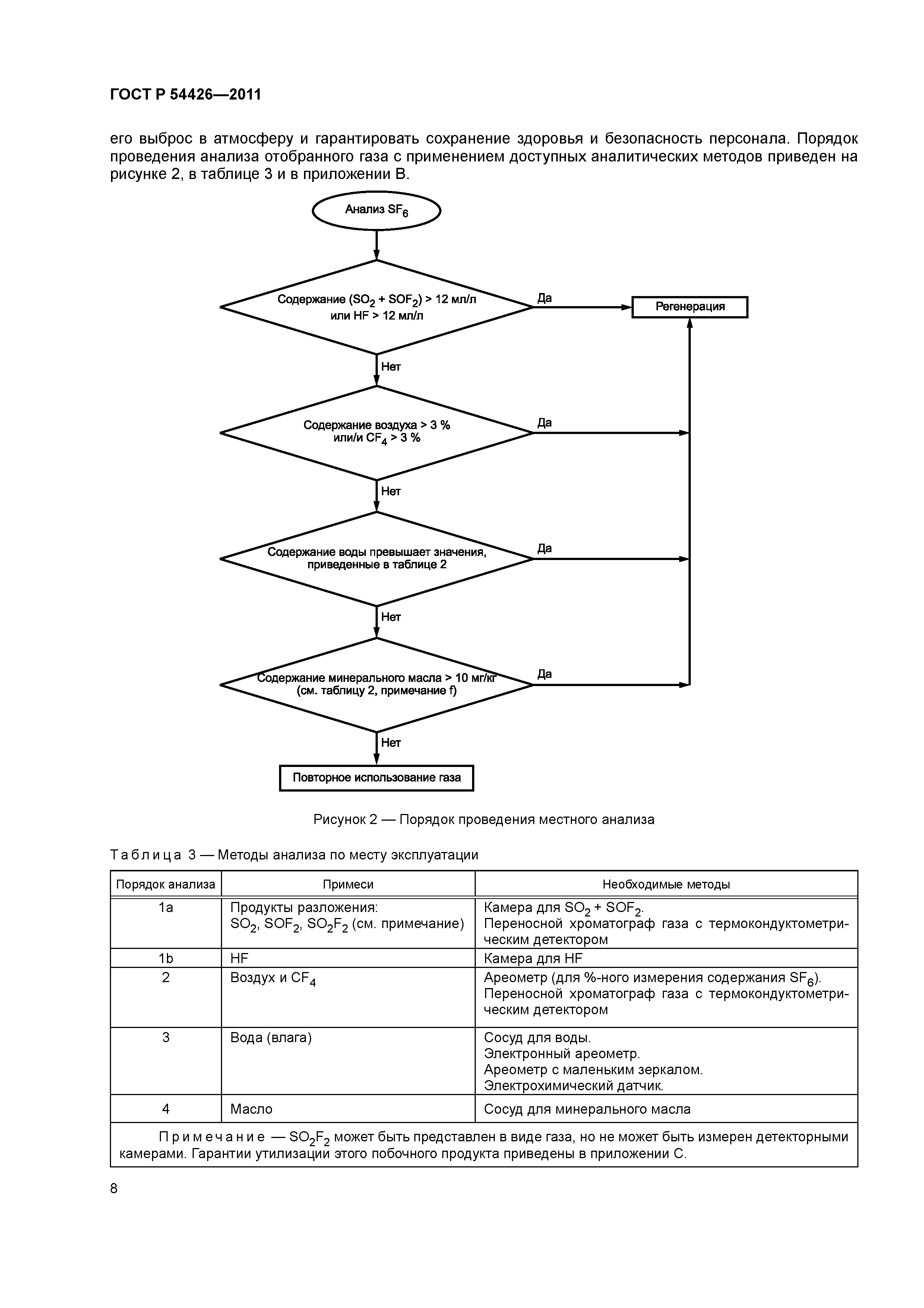
| Оглавление: | 1 Область применения 2 Нормативные ссылки 3 Термины и определения 4 Типичное применение элегаза 5 Примеси и их источники 6 Экологические аспекты 7 Здоровье и безопасность персонала 8 Требования к качеству повторно используемого элегаза во вновь вводимом или действующем коммутационном электрооборудовании 9 Аналитические методы исследования элегаза и их значение 10 Извлечение, хранение и транспортирование Приложение А (рекомендуемое) Максимально допустимые уровни влажности при повторном использовании элегаза Приложение В (рекомендуемое) Описание различных методов анализа (на месте эксплуатации и в лаборатории) Приложение С (рекомендуемое) Рекомендации по регенерации и порядок действий на месте эксплуатации Библиография |
| Разработан: | ФГУП ВНИИНМАШ НП ИНВЭЛ |
| Утверждён: | 28.09.2011 Федеральное агентство по техническому регулированию и метрологии (357-ст) |
| Издан: | Стандартинформ (2014 г. ) |
| Расположен в: | |
| Нормативные ссылки: |


























