| ||||||||||||||||||||||||||||||||||
Скачать ГОСТ Р ИСО 15745-4-2010 Системы промышленной автоматизации и интеграция. Прикладная интеграционная среда открытых систем. Часть 4. Эталонное описание систем управления на основе стандарта EthernetДата актуализации: 10.08.2017
|
| Обозначение: | ГОСТ Р ИСО 15745-4-2010 |
| Обозначение англ: | GOST R ISO 15745-4-2010 |
| Статус: | заменен |
| Название рус.: | Системы промышленной автоматизации и интеграция. Прикладная интеграционная среда открытых систем. Часть 4. Эталонное описание систем управления на основе стандарта Ethernet |
| Название англ.: | Industrial automation systems and integration. Open systems application integration framework. Part 4. Reference description for Ethernet-based control systems |
| Дата добавления в базу: | 01.10.2014 |
| Дата актуализации: | 05.05.2017 |
| Дата введения: | 01.01.2014 |
| Область применения: | Стандарт устанавливает описание технологических спецификаций для элементов и правил как профилей коммуникационной сети, так и связанных с коммуникациями аспектов профилей устройств, относящихся к системам управления на основе Ethernet. |
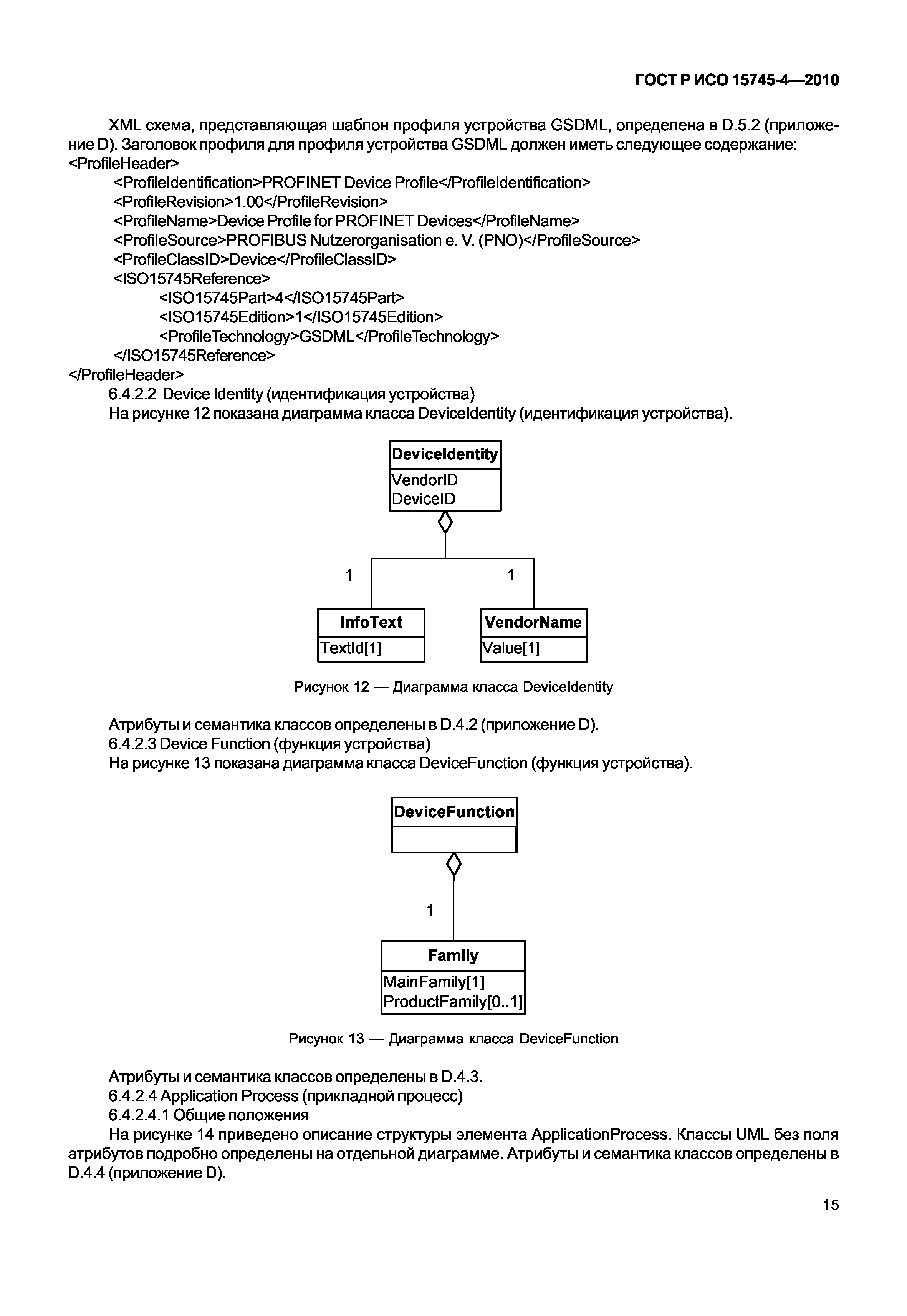
| Оглавление: | 1 Область применения 2 Нормативные ссылки 3 Термины и определения 4 Сокращения и обозначения 5 Специфические для технологии элементы и правила 5.1 Модели интеграции и интерфейсы IAS 5.2 Шаблоны профилей 5.3 Специфические для технологии профили 6 Профили устройств и сетей коммуникаций в системах управления, основанных на Ethernet 6.1 ADS-net 6.2 FL-net 6.3 Ethernet/IP 6.4 PROFINET Приложение А (обязательное) Шаблоны профиля ADS-net Приложение В (обязательное) Шаблоны профиля FL-net Приложение С (обязательное) Шаблоны профиля Ethernet/IP Приложение D (справочное) Шаблоны профиля PROFINET Приложение ДА (справочное) Сведения о соответствии ссылочных международных стандартов ссылочным национальным стандартам Российской Федерации Библиография |
| Разработан: | НТЦ ИНТЕК |
| Утверждён: | 21.12.2010 Федеральное агентство по техническому регулированию и метрологии (863-ст) |
| Издан: | Стандартинформ (2013 г. ) |
| Расположен в: | |
| Чем заменён: |
|





































































































































































