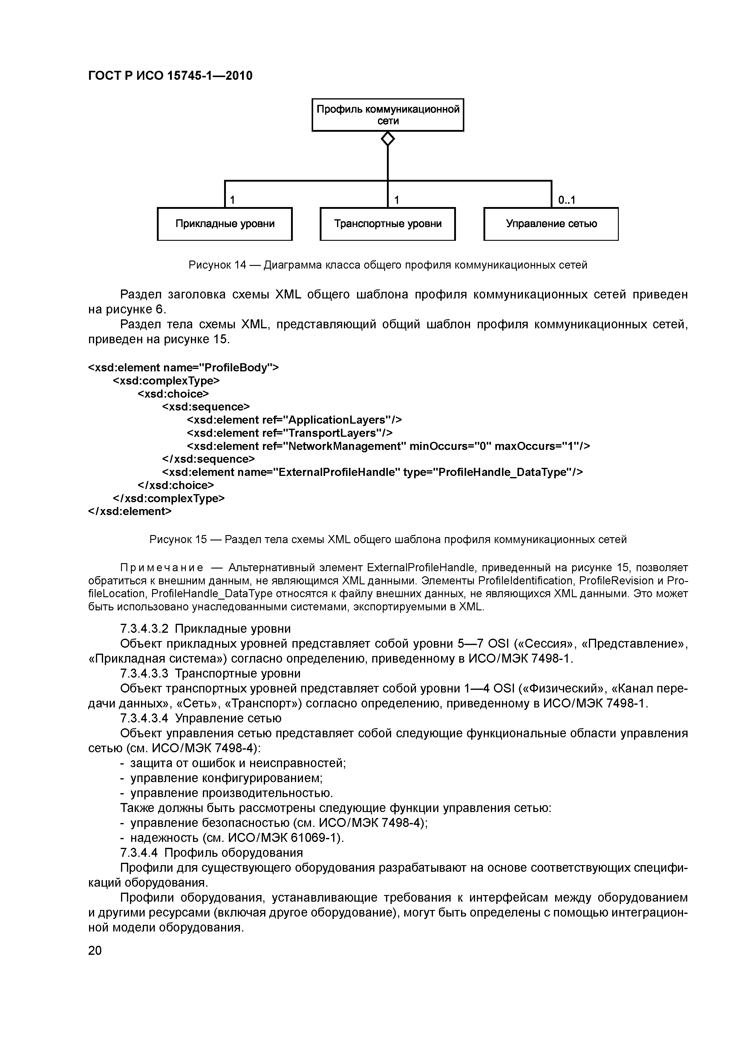
| ||||||||||||||||||||||||||||||||||||
Скачать ГОСТ Р ИСО 15745-1-2010 Системы промышленной автоматизации и интеграция. Прикладная интеграционная среда открытых систем. Часть 1. Общее эталонное описаниеДата актуализации: 10.08.2017
|
| Обозначение: | ГОСТ Р ИСО 15745-1-2010 |
| Обозначение англ: | GOST R ISO 15745-1-2010 |
| Статус: | заменен |
| Название рус.: | Системы промышленной автоматизации и интеграция. Прикладная интеграционная среда открытых систем. Часть 1. Общее эталонное описание |
| Название англ.: | Industrial automation systems and integration. Open systems application integration framework. Part 1. Generic reference description |
| Дата добавления в базу: | 01.10.2014 |
| Дата актуализации: | 05.05.2017 |
| Дата введения: | 01.01.2016 |
| Область применения: | Стандарт распространяется на прикладную интеграционную среду – набор элементов и правил описания интеграционных моделей и профилей интероперабельности прикладных систем. Стандарт устанавливает общие элементы и правила описания интеграционных моделей и профилей интероперабельности прикладных систем вместе с профилями их компонентов, включающими в себя профили процессов, обмена информацией и ресурсов. Стандарт распространяется на системы промышленной автоматизации, процесс сборки электронной аппаратуры, изготовление полупроводников и транспортирование материалов. Его следует использовать также в случае других применений автоматизации и управления, таких как автоматизация коммунальных предприятий, сельского хозяйства, внедорожных транспортных средств, медицинских учреждений и лабораторий, а также системы общественного транспорта. |
| Оглавление: | 1 Область применения 2 Нормативные ссылки 3 Термины и определения 4 Сокращения 4.1 Общие 4.2 Типы интерфейсов IAS 5 Концепция AIF 5.1 Элементы и правила 5.2 Использование AIF для разработки AIP 6 Типы интеграционных моделей 6.1 Интеграционная модель процессов 6.2 Интеграционная модель обмена информацией 6.3 Интеграционная модель ресурсов 7 Шаблоны и типы профилей 7.1 Взаимосвязи шаблонов профилей 7.2 Основной шаблон профилей 7.3 Общие шаблоны профилей 7.4 Контейнер профилей 8 Соответствие Приложение А (справочное) Терминология и нотация UML Приложение В (справочное) Типы интерфейсов IAS Приложение ДА (справочное) Сведения о соответствии ссылочных международных стандартов ссылочным национальным стандартам Российской Федерации Библиография |
| Разработан: | НТЦ ИНТЕК |
| Утверждён: | 21.12.2010 Федеральное агентство по техническому регулированию и метрологии (866-ст) |
| Издан: | Стандартинформ (2014 г. ) |
| Расположен в: | |
| Чем заменён: | |
| Нормативные ссылки: |


































