Скачать ГОСТ Р 55019-2012 Арматура трубопроводная. Сильфоны многослойные металлические. Общие технические условияДата актуализации: 10.08.2017 ГОСТ Р 55019-2012
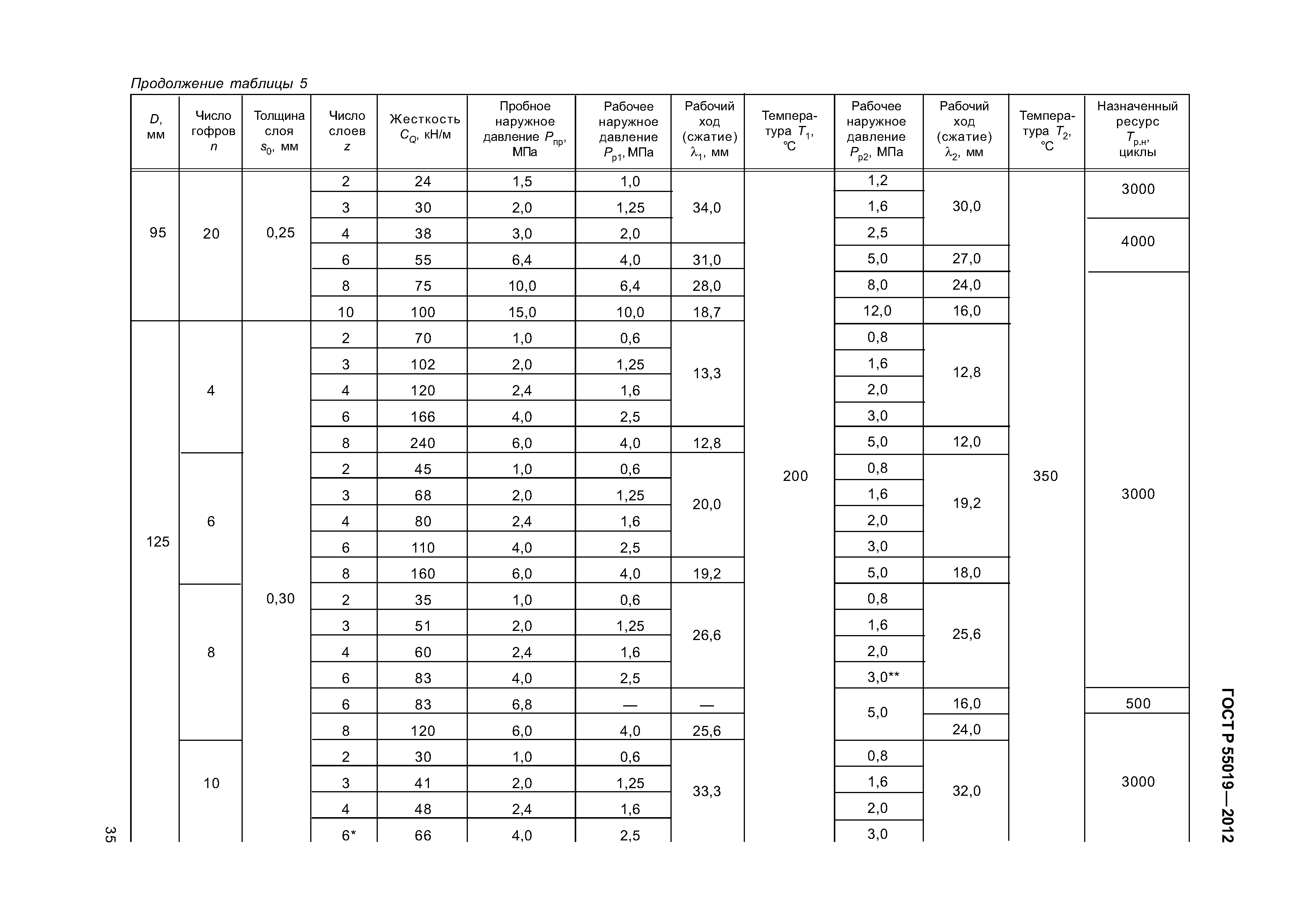
Арматура трубопроводная. Сильфоны многослойные металлические. Общие технические условия| Обозначение: | ГОСТ Р 55019-2012 | | Обозначение англ: | GOST R 55019-2012 | | Статус: | введен впервые | | Название рус.: | Арматура трубопроводная. Сильфоны многослойные металлические. Общие технические условия | | Название англ.: | Pipeline valves. Multiplayer metal bellows. General specifications | | Дата добавления в базу: | 01.10.2014 | | Дата актуализации: | 05.05.2017 | | Дата введения: | 01.05.2013 | | Область применения: | Стандарт распространяется на сильфоны многослойные металлические, предназначенные в качестве герметизирующих, чувствительных или силовых элементов трубопроводной арматуры и других технических устройств при температуре от минус 260 град. С до плюс 550 град. С. Положения стандарта применяются с учетом порядка и правил установления требований и проведения испытаний, действующих у заказчиков и потребителей сильфонов. | | Оглавление: | 1 Область применения 2 Нормативные ссылки 3 Термины, определения, сокращения и обозначения 4 Классификация, основные параметры и размеры 5 Технические требования 6 Требования безопасности 7 Правила приёмки 8 Методы контроля 9 Транспортирование и хранение 10 Указания по эксплуатации 11 Гарантии изготовителя (поставщика) Приложение А (обязательное) Продолжительность контакта сильфонов с рабочими средами Приложение Б (справочное) Расчётные значения эффективной площади и массы сильфонов Приложение В (справочное) Зависимость ресурса сильфонов от сочетания рабочих параметров для температуры 350 град. С Приложение Г (справочное) Зависимость ресурса сильфона от рабочей температуры Приложение Д (обязательное) Расчёт размера L0 и рабочего хода сильфона с изменённым числом гофров Приложение Е (рекомендуемое) Перечень контрольных образцов Приложение Ж (справочное) Зависимость вероятности безотказной работы от искомой наработки Приложение И (рекомендуемое) Форма паспорта Приложение К (справочное) Форма упаковочного листа Приложение Л (рекомендуемое) Форма протокола предъявительских испытаний сильфонов Приложение М (рекомендуемое) Форма протокола приёмо-сдаточных испытаний сильфонов Приложение Н (рекомендуемое) Форма акта о результатах периодических испытаний сильфонов Приложение П (рекомендуемое) Форма протокола периодических испытаний сильфонов Приложение Р (справочное) Перечень испытательного оборудования, средств измерения и контроля Библиография | | Разработан: | ЗАО НПФ ЦКБА
| | Утверждён: | 24.09.2012 Федеральное агентство по техническому регулированию и метрологии (410-ст)
| | Издан: | Стандартинформ (2014 г. ) Стандартинформ (2013 г. )
| | Расположен в: |
| | Нормативные ссылки: |   ГОСТ 5632-72 «Стали высоколегированные и сплавы коррозионно-стойкие, жаростойкие и жаропрочные. Марки»  ГОСТ 10498-82 «Трубы бесшовные особотонкостенные из коррозионно-стойкой стали. Технические условия»  ГОСТ 15150-69 «Машины, приборы и другие технические изделия. Исполнения для различных климатических районов. Категории, условия эксплуатации, хранения и транспортирования в части воздействия климатических факторов внешней среды»  ГОСТ 27.002-89 «Надежность в технике. Основные понятия. Термины и определения»  ГОСТ 24297-87 «Входной контроль продукции. Основные положения»  ГОСТ 14192-96 «Маркировка грузов»  ГОСТ 15.309-98 «Система разработки и постановки продукции на производство. Испытания и приемка выпускаемой продукции. Основные положения»  ГОСТ 12.2.003-91 «Система стандартов безопасности труда. Оборудование производственное. Общие требования безопасности»  ГОСТ 166-89 «Штангенциркули. Технические условия»  ГОСТ 515-77 «Бумага упаковочная битумированная и дегтевая. Технические условия»  ГОСТ 9.014-78 «Единая система защиты от коррозии и старения. Временная противокоррозионная защита изделий. Общие требования»  ГОСТ 28498-90 «Термометры жидкостные стеклянные. Общие технические требования. Методы испытаний»  ГОСТ 356-80 «Арматура и детали трубопроводов. Давления номинальные пробные и рабочие. Ряды»  ГОСТ 17433-80 «Промышленная чистота. Сжатый воздух. Классы загрязненности»  ГОСТ 577-68 «Индикаторы часового типа с ценой деления 0,01 мм. Технические условия»  ГОСТ 5583-78 «Кислород газообразный технический и медицинский. Технические условия»  ГОСТ 2405-88 «Манометры, вакуумметры, мановакуумметры, напоромеры, тягомеры и тягонапоромеры. Общие технические условия»  ГОСТ Р 15.201-2000 «Система разработки и постановки продукции на производство. Продукция производственно-технического назначения. Порядок разработки и постановки продукции на производство»  ГОСТ 305-82 «Топливо дизельное. Технические условия»  ГОСТ 5582-75 «Прокат тонколистовой коррозионно-стойкий, жаростойкий и жаропрочный. Технические условия»  ГОСТ 4986-79 «Лента холоднокатаная из коррозионно-стойкой и жаростойкой стали. Технические условия»  ГОСТ 8050-85 «Двуокись углерода газообразная и жидкая. Технические условия»  ГОСТ 6709-72 «Вода дистиллированная. Технические условия»  ГОСТ 1012-72 «Бензины авиационные. Технические условия» ГОСТ 10219-77 «Ксенон. Технические условия»  ГОСТ 10227-86 «Топлива для реактивных двигателей. Технические условия» ГОСТ 10733-98 «Часы наручные и карманные механические. Общие технические условия»  ГОСТ 12308-89 «Топлива термостабильные Т-6 и Т-8В для реактивных двигателей. Технические условия» ГОСТ 15899-93 «1,1,2,2-тетрафтордибромэтан (хладон 114В2). Технические условия»  ГОСТ 159-52 «Жидкость охлаждающая низкозамерзающая» ГОСТ 19212-87 «Дифтордихлорметан (хладон 12). Технические условия»  ГОСТ 20799-88 «Масла индустриальные. Технические условия»  ГОСТ 2084-77 «Бензины автомобильные. Технические условия» ГОСТ 21557-83 «Втулки и кольца соединительные для металлических сильфонов. Общие технические условия»  ГОСТ 21743-76 «Масла авиационные. Технические условия» ГОСТ 22743-85 «Сильфоны. Термины, определения и буквенные обозначения»  ГОСТ 27.310-95 «Надежность в технике. Анализ видов, последствий и критичности отказов. Основные положения»  ГОСТ 2991-85 «Ящики дощатые неразборные для грузов массой до 500 кг. Общие технические условия»  ГОСТ 32-74 «Масла турбинные. Технические условия» ГОСТ 5959-80 «Ящики из листовых древесных материалов неразборные для грузов массой до 200 кг. Общие технические условия»  ГОСТ 6221-90 «Аммиак безводный сжиженный. Технические условия» ГОСТ 6331-78 «Кислород жидкий технический и медицинский. Технические условия»  ГОСТ 6457-66 «Масла МК-8. Технические условия» ГОСТ 8502-93 «Дифторхлорметан (Хладон 22). Технические условия» ГОСТ 9968-86 «Метилен хлористый технический. Технические условия»  ГОСТ 6032-2003 «Стали и сплавы коррозионно-стойкие. Методы испытаний на стойкость к межкристаллитной коррозии» РД 50-690-89 «Методические указания. Надежность в технике. Методы оценки показателей надежности по экспериментальным данным»  ГОСТ Р 52720-2007 «Арматура трубопроводная. Термины и определения»  ГОСТ Р 52901-2007 «Картон гофрированный для упаковки продукции. Технические условия»  ГОСТ Р 53228-2008 «Весы неавтоматического действия. Часть 1. Метрологические и технические требования. Испытания»  СТ ЦКБА 049-2009 «Арматура трубопроводная. Обеспечение безотказности при изготовлении»  СТ ЦКБА 039-2010 «Арматура трубопроводная. Периодические испытания сильфонов. Общие требования»  ГОСТ Р 27.002-2009 «Надежность в технике. Термины и определения»  ГОСТ Р 53672-2009 «Арматура трубопроводная. Общие требования безопасности»
|
                                                                                
|