Информационная система
«Ёшкин Кот»

Скачать базу одним архивом
Скачать обновления
История создания базы
Карта сайта

Скачать Государственная программа Российской Федерации Обеспечение доступным и комфортным жильем и коммунальными услугами граждан Российской Федерации

Дата актуализации: 10.08.2017

Государственная программа Российской Федерации "Обеспечение доступным и комфортным жильем и коммунальными услугами граждан Российской Федерации"

Статус:утратил силу
Название рус.:Государственная программа Российской Федерации "Обеспечение доступным и комфортным жильем и коммунальными услугами граждан Российской Федерации"
Дата добавления в базу:01.09.2013
Дата актуализации:05.05.2017
Дата введения:02.05.2014
Оглавление:Паспорт государственной программы Российской Федерации "Обеспечение доступным и комфортным жильем и коммунальными услугами граждан Российской Федерации"
1. Общая характеристика текущего состояния жилищной и жилищно-коммунальной сфер
2. Приоритеты и цели государственной политики в жилищной и жилищно-коммунальной сферах
3. Цели и задачи Государственной программы
4. Перечень показателей (индикаторов) Государственной программы
5. Основные ожидаемые конечные результаты Государственной программы
6. Сроки и этапы реализации Государственной программы
7. Обобщенная характеристика основных мероприятий Государственной программы
8. Обобщенная характеристика мер государственного регулирования
9. Обобщенная характеристика основных мероприятий, реализуемых субъектами Российской Федерации
10. Информация об участии государственных корпораций, акционерных обществ с государственным участием, общественных, научных и иных организаций, а также государственных внебюджетных фондов в реализации государственной программы
11. Обоснование выделения подпрограмм и включения в состав государственной программы реализуемых федеральных целевых программ
12. Обоснование объема финансовых ресурсов, необходимых для реализации Государственной программы
13. Анализ рисков реализации государственной программы и описание мер управления рисками реализации государственной программы
14. Методика оценки эффективности Государственной программы
Подпрограмма 1. "Создание условий для обеспечения доступным и комфортным жильем граждан России" государственной программы Российской Федерации "Обеспечение доступным и комфортным жильем и коммунальными услугами граждан Российской Федерации"
   Паспорт подпрограммы
   1. Характеристика жилищной сферы Российской Федерации и прогноз ее развития
   1. Приоритеты государственной политики в жилищной сфере
   2. Цели и задачи подпрограммы
   3. Перечень показателей (индикаторов) подпрограммы
   4. Ожидаемые конечные результаты подпрограммы
   5. Сроки и этапы реализации подпрограммы
   6. Характеристика основных мероприятий подпрограммы
   7. Характеристика мер государственного регулирования
   8. Характеристика основных мероприятий, реализуемых субъектами Российской Федерации
   9. Информация об участии государственных корпораций, акционерных обществ с государственным участием, общественных, научных и иных организаций, а также государственных внебюджетных фондов в реализации подпрограммы
   10. Обоснование объема финансовых ресурсов, необходимых для реализации подпрограммы
   11. Анализ рисков реализации подпрограммы и описание мер управления рисками реализации подпрограммы
Подпрограмма 2 "Создание условий для обеспечения качественными услугами ЖКХ граждан России" государственной программы Российской Федерации "Обеспечение доступным и комфортным жильем и коммунальными услугами граждан Российской Федерации"
   Паспорт подпрограммы
   1. Характеристика жилищно-коммунальной сферы Российской Федерации и прогноз ее развития
   2. Приоритеты государственной политики в жилищно-коммунальной сфере
   3. Цели и задачи подпрограммы
   4. Перечень показателей (индикаторов) подпрограммы
   5. Ожидаемые конечные результаты подпрограммы
   6. Сроки и этапы реализации подпрограммы
   7. Характеристика основных мероприятий подпрограммы
   8. Характеристика мер государственного регулирования
   9. Характеристика основных мероприятий, реализуемых субъектами Российской Федерации
   10. Информация об участии государственных корпораций, акционерных обществ с государственным участием, общественных, научных и иных организаций, а также государственных внебюджетных фондов в реализации подпрограммы
   11. Обоснование объема финансовых ресурсов, необходимых для реализации подпрограммы
   12. Анализ рисков реализации подпрограммы и описание мер управления рисками реализации подпрограммы
Приложение № 1. Сведения о показателях (индикаторах) государственной программы Российской Федерации "Обеспечение доступным и комфортным жильем и коммунальными услугами граждан Российской Федерации", подпрограмм государственной программы, федеральных целевых программ, входящих в состав государственной программы "Обеспечение доступным и комфортным жильем и коммунальными услугами граждан Российской Федерации" и их значениях
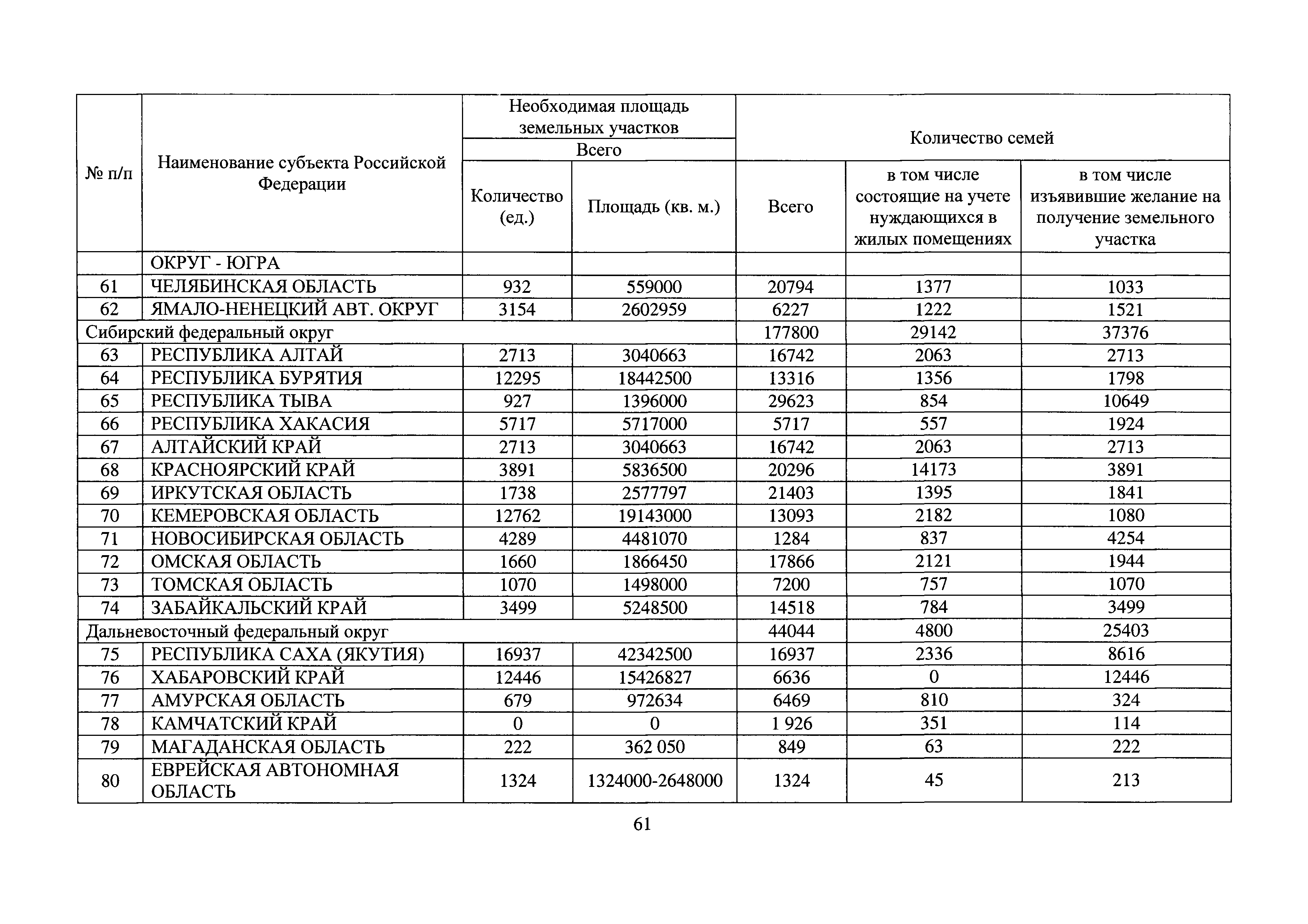
Приложение № 1а. Сведения о показателях в разрезе субъектов Российской Федерации и прогнозируемый объем расходов консолидированных бюджетов субъектов РФ по статье "Жилищно-коммунальное хозяйство"
Приложение № 2. Перечень основных мероприятий государственной программы Российской Федерации "Обеспечение доступным и комфортным жильем и коммунальными услугами граждан Российской Федерации"
Приложение № 3. Оценка применения мер государственного регулирования в сфере реализации государственной программы Российской Федерации "Обеспечение доступным и комфортным жильем и коммунальными услугами граждан Российской Федерации"
Приложение № 4. Сведения об основных мерах правового регулирования в сфере реализации государственной программы Российской Федерации "Обеспечение доступным и комфортным жильем и коммунальными услугами граждан Российской Федерации"
 Приложение № 5. Прогноз сводных показателей государственных заданий на оказание государственных услуг федеральными государственными учреждениями по государственной программе Российской Федерации
Приложение № 6. Ресурсное обеспечение реализации государственной программы Российской Федерации "Обеспечение доступным и комфортным жильем и коммунальными услугами граждан Российской Федерации" за счет средств федерального бюджета (тыс. руб.)
Приложение № 7. Ресурсное обеспечение и прогнозная (справочная) оценка расходов федерального бюджета, бюджетов государственных внебюджетных фондов, консолидированных бюджетов субъектов Российской Федерации и юридических лиц на реализацию целей государственной программы Российской Федерации "Обеспечение доступным и комфортным жильем и коммунальными услугами граждан Российской Федерации" (тыс. руб.)
Приложение № 8. Сведения о показателях государственной программы Российской Федерации "Обеспечение доступным и комфортным жильем и коммунальными услугами граждан Российской Федерации", которые включены в Федеральный план статистических работ или методика расчета которых представлена в федеральных нормативных правовых актах
Приложение № 9. Паспорт федеральной целевой программы "Жилище" на 2011 - 2015 годы
Приложение № 10. Паспорт федеральной целевой программы "Чистая вода" на 2011 - 2017 годы
Приложение № 11. Паспорт федеральной целевой программы "Жилище" на 2016 - 2020 годы
Дополнительные и обосновывающие материалы к государственной программе "Обеспечение доступным и комфортным жильем и коммунальными услугами граждан Российской Федерации"
Утверждён:30.11.2012 Правительство Российской Федерации (2227-р)
Издан: Собрание законодательства Российской Федерации (от 10.12.2012 г. № 50 (часть VI) ст. 7079)
Расположен в:Техническая документация Экология СОЦИОЛОГИЯ. УСЛУГИ. ОРГАНИЗАЦИЯ ФИРМ И УПРАВЛЕНИЕ ИМИ. АДМИНИСТРАЦИЯ. ТРАНСПОРТ Законодательство. Администрация Строительство Нормативно-правовые документы Градостроительство, жилищная политика, жилищное строительство

© 2013 Ёшкин Кот :-) Карта сайта