Скачать Каталог Осевые вертикальные насосы типов ОВ и ОПВДата актуализации: 10.08.2017 Каталог
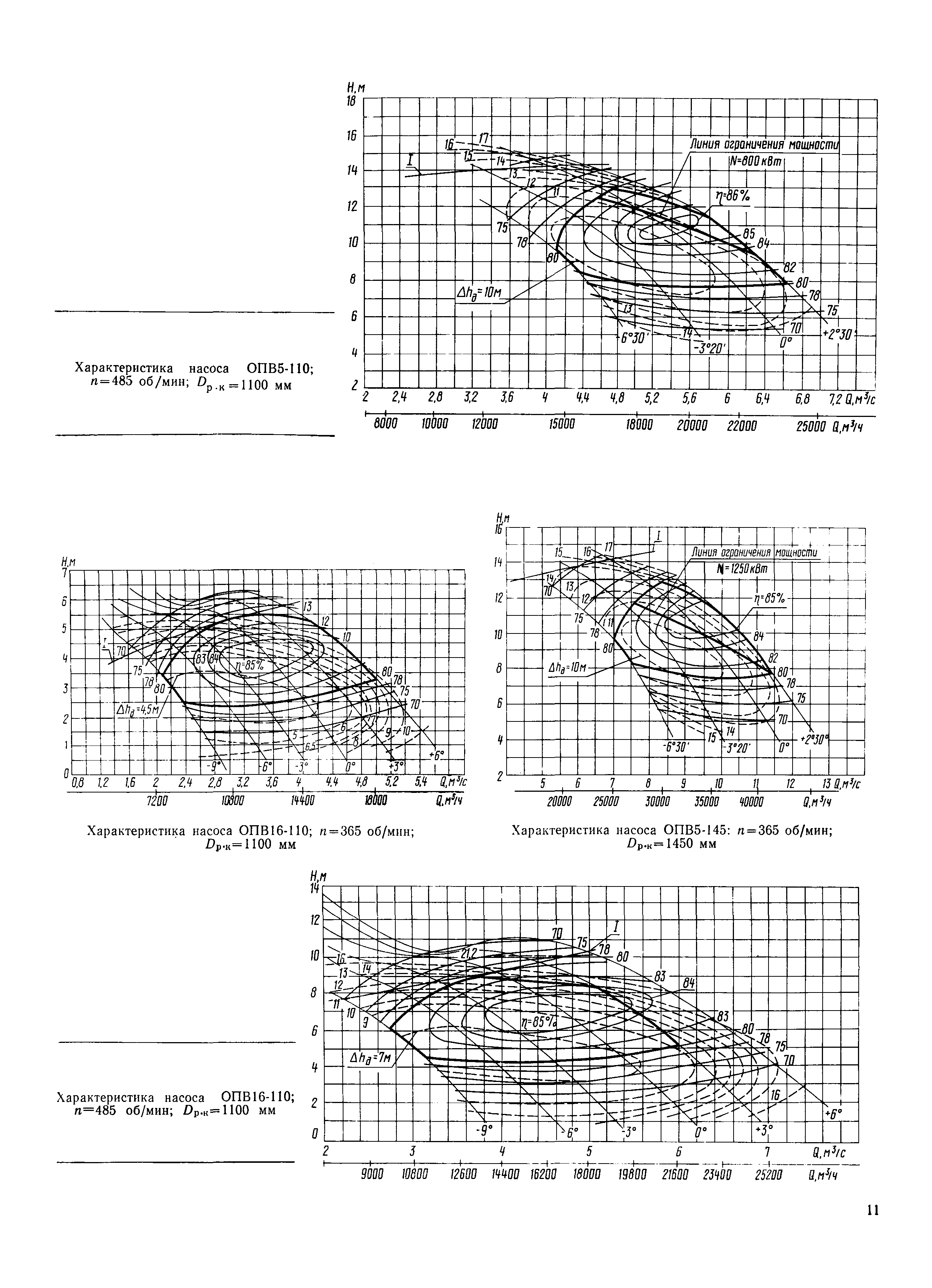
Осевые вертикальные насосы типов ОВ и ОПВ| Обозначение: | Каталог | | Статус: | действует | | Название рус.: | Осевые вертикальные насосы типов ОВ и ОПВ | | Дата добавления в базу: | 01.09.2013 | | Дата актуализации: | 05.05.2017 | | Область применения: | Каталог предназначен для инженерно-технических работников проектных организаций, предприятий, эксплуатирующих эти насосы, а также для работников плановых и сбытовых организаций | | Оглавление: | Введение Общие сведения Приложение. Опросный лист | | Разработан: | ВНИИГидромаш
| | Издан: | ЦИНТИХИМНЕФТЕМАШ (1983 г. )
| | Расположен в: |
|
                           
|