| ||||||||||||||||||||||||||||||||||
Скачать ГОСТ ISO 11140-3-2011 Стерилизация медицинской продукции. Химические индикаторы. Часть 3. Тест-листы к индикаторам 2-го класса для испытаний на проникание параДата актуализации: 10.08.2017
|
| Обозначение: | ГОСТ ISO 11140-3-2011 |
| Обозначение англ: | 11140-3-2011 |
| Статус: | действует |
| Название рус.: | Стерилизация медицинской продукции. Химические индикаторы. Часть 3. Тест-листы к индикаторам 2-го класса для испытаний на проникание пара |
| Название англ.: | Sterilization of care products. Chemical indicators. Part 3. Class 2 indicators for steam penetration test sheets |
| Дата добавления в базу: | 01.10.2014 |
| Дата актуализации: | 05.05.2017 |
| Дата введения: | 01.01.2013 |
| Область применения: | Стандарт устанавливает технические требования к химическим индикаторам, предназначенным для использования в испытаниях на проникание водяного пара в паровых стерилизаторах для упакованной медицинской продукции (инструментов, пористых материалов и т. д.). Индикатор для этой цели - индикатор 2-го класса по ISO 11140-1. Индикаторы, соответствующие требованиям стандарта, предназначены для использования в качестве составной части стандартного тест-пакета по ЕN 285. Настоящий стандарт не устанавливает технических требований к стандартному тест-пакету, но устанавливает технические требования к индикаторам. |
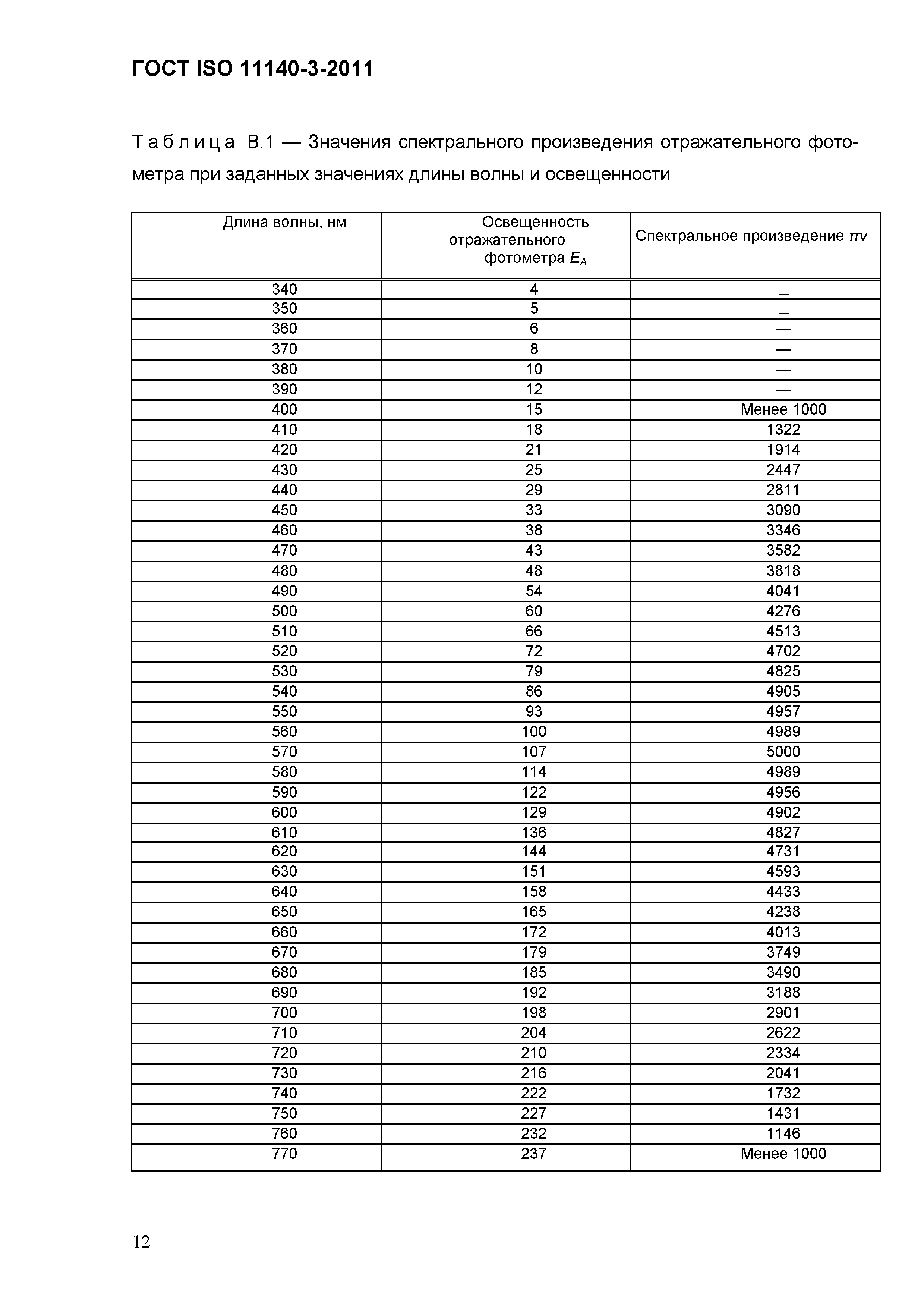
| Оглавление: | 1 Область применения 2 Нормативные ссылки 3 Термины и определения 4 Общие требования 5 Формат индикаторной системы 6 Технические требования (требования работоспособности) 7 Упаковка и маркировка 8 Обеспечение качества Приложение А (обязательное) Определение прочности индикаторной системы после паровой обработки Приложение В (обязательное) Оценка визуального различия между цветом основания и цветом исходной (или изменившейся) индикаторной системы методом определения относительной плотности отражения Приложение С (обязательное) Определение изменения цвета индикатора после обработки сухим насыщенным водяным паром Приложение D (обязательное) Определение изменения цвета индикатора после обработки сухим горячим воздухом Приложение Е (обязательное) Ускоренное старение испытуемых образцов Приложение F (обязательное) Оценка переноса индикатора на стандартный тест-пакет при паровой обработке Приложение G (обязательное) Определение срока хранения продукции Приложение H (обязательное) Аппарат для паровой обработки Приложение I (обязательное) Определение чувствительности индикатора к присутствию воздуха Приложение J (обязательное) Система впрыска воздуха Приложение K (обязательное) Стандартный тест-пакет Библиография Приложение ДА (справочное) Сведения о соответствии межгосударственных стандартов ссылочным международным стандартам |
| Разработан: | ФГУП ВНИИНМАШ |
| Утверждён: | 29.11.2011 Евразийский совет по стандартизации, метрологии и сертификации (ЕАСС) (Eurasian Council for Standardization, Metrology and Certification (EASC) 40-2011) 13.12.2011 Федеральное агентство по техническому регулированию и метрологии (1340-ст) |
| Издан: | Стандартинформ (2013 г. ) |
| Расположен в: | |
| Нормативные ссылки: |































