| ||||||||||||||||||||||||
Скачать Методика определения норм расхода тепловой и электрической энергии в производстве резиновых технических изделийДата актуализации: 10.08.2017 |
| Статус: | не установлен срок действия |
| Название рус.: | Методика определения норм расхода тепловой и электрической энергии в производстве резиновых технических изделий |
| Дата добавления в базу: | 01.09.2013 |
| Дата актуализации: | 05.05.2017 |
| Область применения: | Методика предназначена для установления единой системы расчета технически обоснованных норм расхода тепловой и электрической энергии на предприятиях и производственных объединениях ВПО "Союзрезинотехника". |
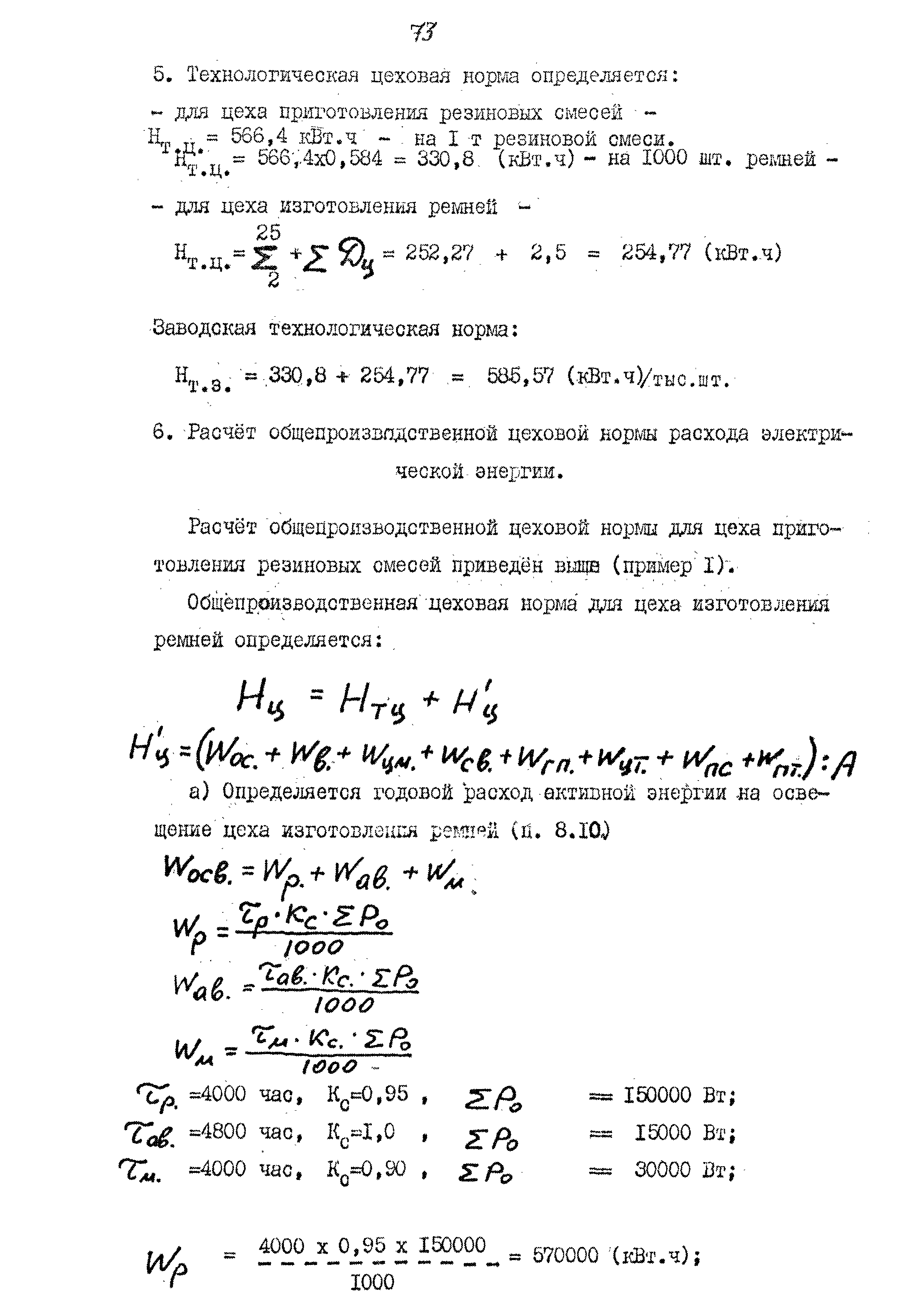
| Оглавление: | Введение 1 Общие положения 2 Классификация норм расхода 3 Состав норм расхода 4 Размерность и номенклатура норм расхода 5 Методы разработки норм расхода 6 Организация нормирования расхода и контроля за использованием тепловой и электрической энергии 7 Нормирование расхода тепловой энергии на единицу продукции 8 Нормирование расхода электрической энергии на единицу продукции 9 Порядок формирования плана организационно-технических мероприятий по экономии норм расхода и заданий по среднему их снижению Приложение 1. Схемы снабжения и структуры технологических норм расхода энергоресурсов на производство основных видов продукции Приложение 2. Годовое число часов использования максимума осветительной нагрузки Литература |
| Разработан: | ВНИКТИРП ВПО Союзрезинотехника ЯПО Ярославрезинотехника |
| Утверждён: | 04.08.1981 ВПО Союзрезинотехника (Soyuzrezinotekhnika VPO ) |
| Принят: | 13.08.1981 Миннефтехимпром СССР (USSR Minneftekhimprom ) 28.07.1981 Главный энергетик ВПО Союзрезинотехника |
| Расположен в: |































































































