| ||||||||||||||||||||||||||||||||||||
Скачать ГОСТ Р 8.612-2011 Государственная система обеспечения единства измерений. Государственная поверочная схема для средств измерений поверхностной плотности покрытий в диапазоне от 0,0001 до 1,000 кг/м2Дата актуализации: 10.08.2017
|
| Обозначение: | ГОСТ Р 8.612-2011 |
| Обозначение англ: | GOST R 8.612-2011 |
| Статус: | взамен |
| Название рус.: | Государственная система обеспечения единства измерений. Государственная поверочная схема для средств измерений поверхностной плотности покрытий в диапазоне от 0,0001 до 1,000 кг/м2 |
| Название англ.: | State system for ensuring the uniformity of measurements. State verification schedule for means of measuring the surface density of coating in the range from 0,0001· to 1,000 kg/m2 |
| Дата добавления в базу: | 01.10.2014 |
| Дата актуализации: | 05.05.2017 |
| Дата введения: | 01.01.2013 |
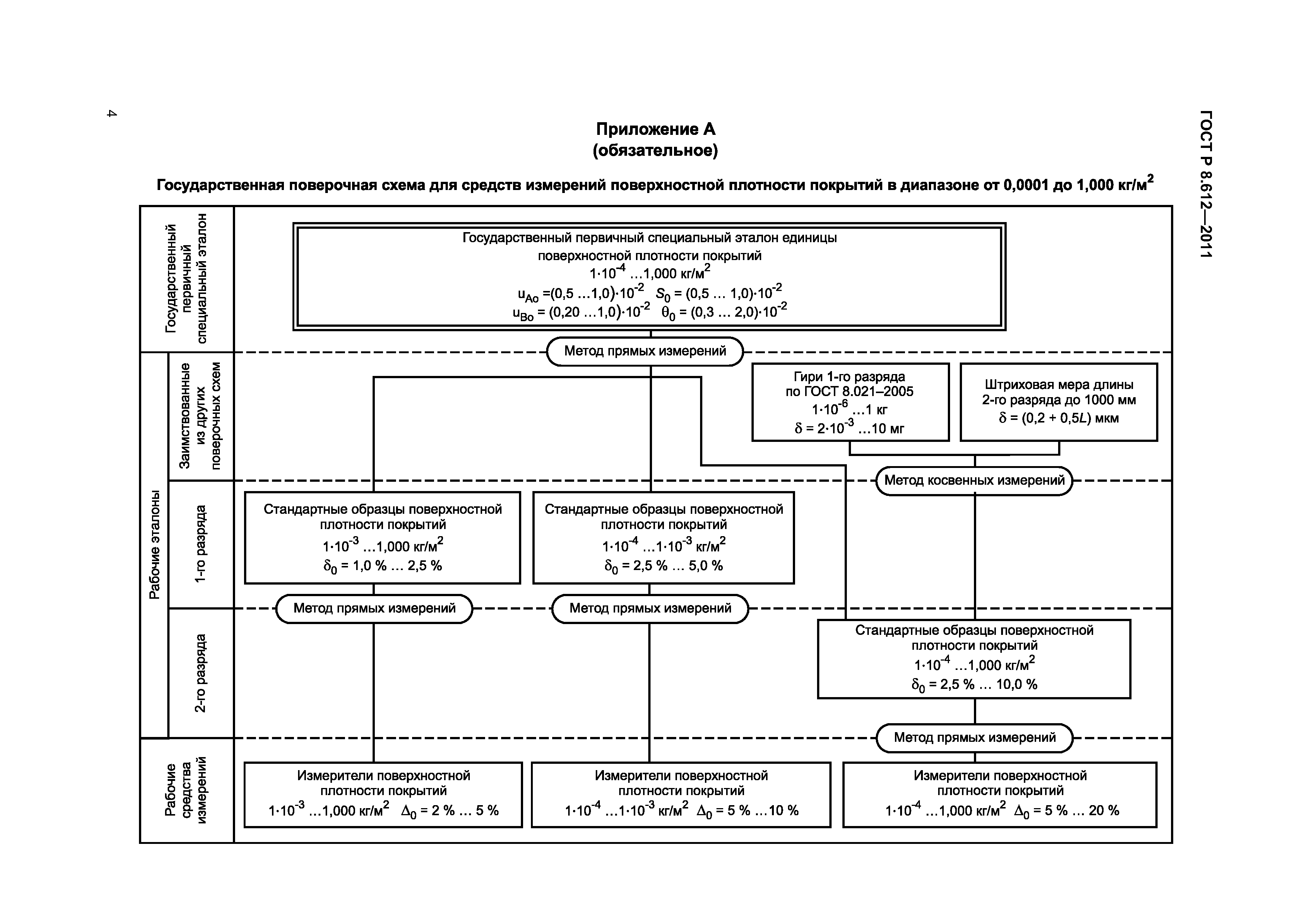
| Область применения: | Стандарт распространяется на государственную поверочную схему для средств измерений поверхностной плотности металлических и неметаллических неорганических покрытий в диапазоне от 0,0001 до 1,000 кг/м2 и устанавливает порядок передачи единицы поверхностной плотности покрытий - килограмма на квадратный метр (кг/м2) от государственного первичного специального эталона единицы поверхностной плотности покрытий с помощью рабочих эталонов рабочим средствам измерений с указанием погрешностей и основных методов поверки. |
| Оглавление: | 1 Область применения 2 Нормативные ссылки 3 Государственный первичный специальный эталон 4 Рабочие эталоны 5 Рабочие средства измерений Приложение А (обязательное) Государственная поверочная схема для средств измерений поверхностей плотности покрытий в диапазоне от 0,0001 до 1,000 кг/м2 Библиография |
| Разработан: | ФГУП УНИИМ |
| Утверждён: | 13.12.2011 Федеральное агентство по техническому регулированию и метрологии (1077-ст) |
| Издан: | Стандартинформ (2014 г. ) |
| Расположен в: | |
| Заменяет собой: | |
| Нормативные ссылки: |
|







