Информационная система
«Ёшкин Кот»

Скачать базу одним архивом
Скачать обновления
История создания базы
Карта сайта

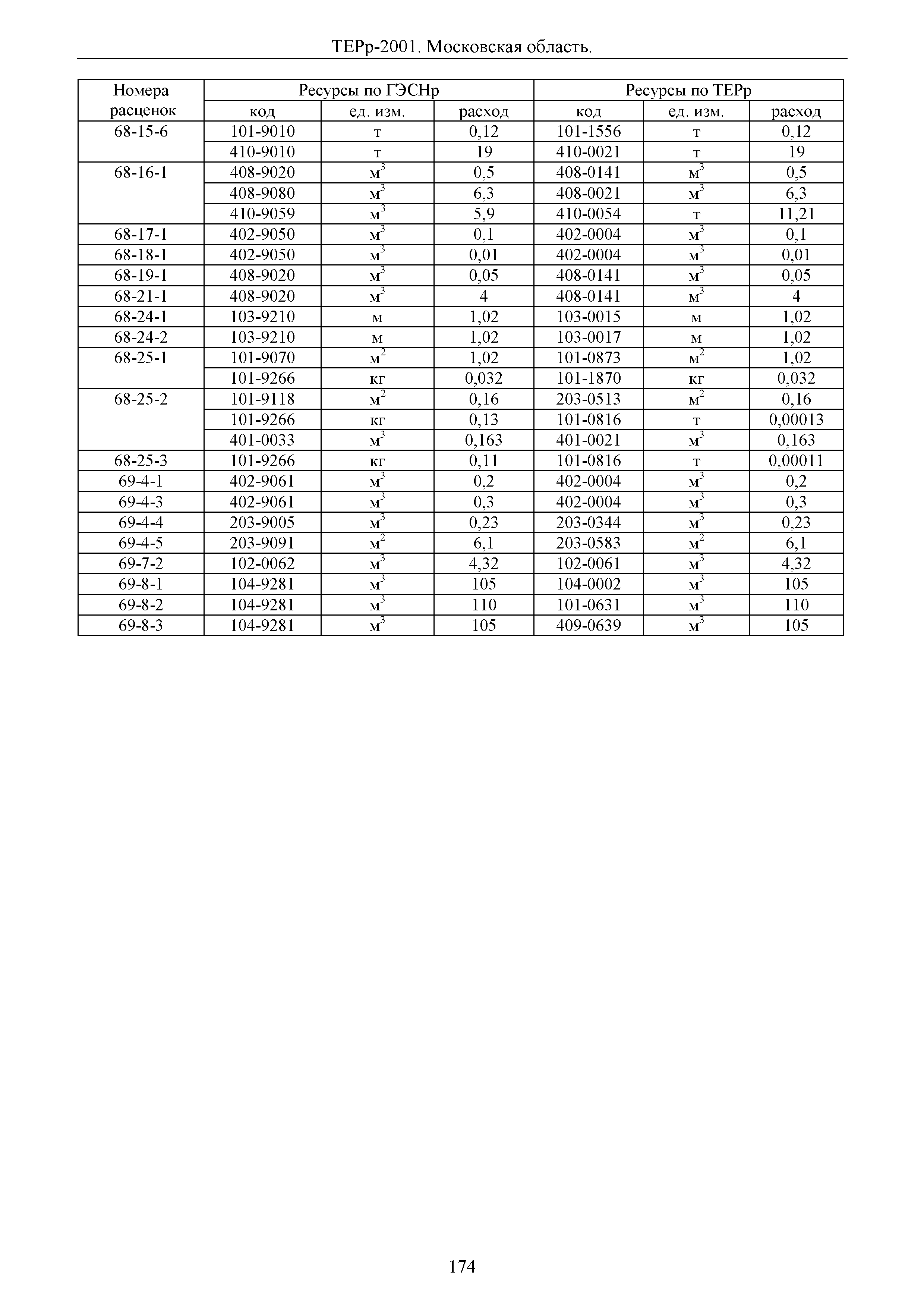
Скачать ТЕРр 2001 Московской области Территориальные единичные расценки на ремонтно-строительные работы (редакция 2011 года)

Дата актуализации: 10.08.2017

ТЕРр 2001 Московской области

Территориальные единичные расценки на ремонтно-строительные работы (редакция 2011 года)

Обозначение: ТЕРр 2001 Московской области
Обозначение англ: TERr 2001 Московской области
Статус:действует
Название рус.:Территориальные единичные расценки на ремонтно-строительные работы (редакция 2011 года)
Дата добавления в базу:01.09.2013
Дата актуализации:05.05.2017
Область применения:Документ предназначен для определения затрат при выполнении ремонтно-строительных работ и составления на их основе сметных расчетов (смет) на производство указанных работ на территории Московской области
Оглавление:1. Общие положения
   Земляные работы
   Фундаменты
   Стены
   Перекрытия
   Перегородки
   Проемы
   Полы
   Крыши, кровли
   Лестницы, крыльца
   Печные работы
   Штукатурные работы
   Малярные работы
   Стекольные, обойные и облицовочные работы
   Лепные работы
   Внутренние санитарно-технические работы
   Наружные инженерные сети
   Электромонтажные работы
   Благоустройство
   Прочие ремонтно-строительные работы
II. Исчисление объемов работ
   Земляные работы
   Фундаменты
   Стены
   Перекрытия
   Перегородки
   Проемы
   Полы
   Крыши, кровли
   Лестницы, крыльца
   Печные работы
   Штукатурные работы
   Малярные работы
   Стекольные, обойные и облицовочные работы
  Лепные работы
   Внутренние санитарно-технические работы
   Наружные инженерные сети
   Электромонтажные работы
   Благоустройство
III. Территориальные единичные расценки на ремонтно-строительные работы
   Раздел 51. Земляные работы
   Раздел 52. Фундаменты
   Раздел 53. Стены
   Раздел 54. Перекрытия
   Раздел 55. Перегородки
   Раздел 56. Проемы
   Раздел 57. Полы
   Раздел 58. Крыши, кровли
   Раздел 59. Лестница, крыльца
   Раздел 60. Печные работы
   Раздел 61. Штукатурные работы
      Подраздел 62.1. Окраска внутренних помещений
      Подраздел 62.2. Окраска фасадов
      Подраздел 62.3. Окраска металлических поверхностей
      Подраздел 62.4. Разные работы
   Раздел 63. Стекольные, обойные и облицовочные работы
   Раздел 64. Лепные работы
      Подраздел 65.1. Водопровод и канализация
      Подраздел 65.2. Центральное отопление
      Подраздел 65.3. Вентиляция
      Подраздел 65.4. Газоснабжение
      Подраздел 65.5. Разные работы
      Подраздел 66.1. Реконструкция и ремонт наружных инженерных сетей
      Подраздел 66.2. Реконструкция и ремонт наружных сетей водопровода бестраншейными методами с применением импортных технологий
      Подраздел 66.3. Реконструкция и ремонт наружных сетей канализации бестраншейными методами с применением импортных технологий
   Раздел 67. Электромонтажные работы
   Раздел 68. Благоустройство
   Раздел 69. Прочие ремонтно-строительные работы
Приложение 1. Окраска водными составами ранее окрашенных поверхностей
Приложение 2. Окраска масляными и водоэмульсионными красками ранее окрашенных поверхностей
Приложение 3. Нормы расхода моделей и выхода деталей одинакового рисунка
Приложение 4. Коэффициенты к стоимости эксплуатации машин (в том числе оплате труда машинистов) при заиленности трубопровода более 30 процентов
Приложение 5. Определение площади окраски потолков
Приложение 6. Определение площади окрашиваемой поверхности заполнения оконных и дверных проемов
Приложение 7. Определение объема работ по окраске лепных изделий
Приложение 8. Определение объема работ по окраске приборов, труб, а также мелких металлических деталей
Приложение 9. Показатели часовой оплаты труда рабочих-строителей в зависимости от среднего разряда работ
Приложение 10. Сметные расценки на эксплуатацию строительных машин и механизмов
Приложение 11. Сметные цены на материалы, изделия и конструкции
Приложение 12. Таблица замены ресурсов
Разработан: Мособлгосэкспертиза
Утверждён:06.09.2011 Министерство строительного комплекса Московской области (Ministry of the Moscow Region Construction Complex 52)
Принят:14.07.2011 Министерство регионального развития Российской Федерации (18577-АП/08)
Расположен в:Техническая документация Строительство Нормативные документы Нормативные документы субъектов Российской Федерации Нормативные документы Московской области
ТЕРр 2001 Московской областиТЕРр 2001 Московской областиТЕРр 2001 Московской областиТЕРр 2001 Московской областиТЕРр 2001 Московской областиТЕРр 2001 Московской областиТЕРр 2001 Московской областиТЕРр 2001 Московской областиТЕРр 2001 Московской областиТЕРр 2001 Московской областиТЕРр 2001 Московской областиТЕРр 2001 Московской областиТЕРр 2001 Московской областиТЕРр 2001 Московской областиТЕРр 2001 Московской областиТЕРр 2001 Московской областиТЕРр 2001 Московской областиТЕРр 2001 Московской областиТЕРр 2001 Московской областиТЕРр 2001 Московской областиТЕРр 2001 Московской областиТЕРр 2001 Московской областиТЕРр 2001 Московской областиТЕРр 2001 Московской областиТЕРр 2001 Московской областиТЕРр 2001 Московской областиТЕРр 2001 Московской областиТЕРр 2001 Московской областиТЕРр 2001 Московской областиТЕРр 2001 Московской областиТЕРр 2001 Московской областиТЕРр 2001 Московской областиТЕРр 2001 Московской областиТЕРр 2001 Московской областиТЕРр 2001 Московской областиТЕРр 2001 Московской областиТЕРр 2001 Московской областиТЕРр 2001 Московской областиТЕРр 2001 Московской областиТЕРр 2001 Московской областиТЕРр 2001 Московской областиТЕРр 2001 Московской областиТЕРр 2001 Московской областиТЕРр 2001 Московской областиТЕРр 2001 Московской областиТЕРр 2001 Московской областиТЕРр 2001 Московской областиТЕРр 2001 Московской областиТЕРр 2001 Московской областиТЕРр 2001 Московской областиТЕРр 2001 Московской областиТЕРр 2001 Московской областиТЕРр 2001 Московской областиТЕРр 2001 Московской областиТЕРр 2001 Московской областиТЕРр 2001 Московской областиТЕРр 2001 Московской областиТЕРр 2001 Московской областиТЕРр 2001 Московской областиТЕРр 2001 Московской областиТЕРр 2001 Московской областиТЕРр 2001 Московской областиТЕРр 2001 Московской областиТЕРр 2001 Московской областиТЕРр 2001 Московской областиТЕРр 2001 Московской областиТЕРр 2001 Московской областиТЕРр 2001 Московской областиТЕРр 2001 Московской областиТЕРр 2001 Московской областиТЕРр 2001 Московской областиТЕРр 2001 Московской областиТЕРр 2001 Московской областиТЕРр 2001 Московской областиТЕРр 2001 Московской областиТЕРр 2001 Московской областиТЕРр 2001 Московской областиТЕРр 2001 Московской областиТЕРр 2001 Московской областиТЕРр 2001 Московской областиТЕРр 2001 Московской областиТЕРр 2001 Московской областиТЕРр 2001 Московской областиТЕРр 2001 Московской областиТЕРр 2001 Московской областиТЕРр 2001 Московской областиТЕРр 2001 Московской областиТЕРр 2001 Московской областиТЕРр 2001 Московской областиТЕРр 2001 Московской областиТЕРр 2001 Московской областиТЕРр 2001 Московской областиТЕРр 2001 Московской областиТЕРр 2001 Московской областиТЕРр 2001 Московской областиТЕРр 2001 Московской областиТЕРр 2001 Московской областиТЕРр 2001 Московской областиТЕРр 2001 Московской областиТЕРр 2001 Московской областиТЕРр 2001 Московской областиТЕРр 2001 Московской областиТЕРр 2001 Московской областиТЕРр 2001 Московской областиТЕРр 2001 Московской областиТЕРр 2001 Московской областиТЕРр 2001 Московской областиТЕРр 2001 Московской областиТЕРр 2001 Московской областиТЕРр 2001 Московской областиТЕРр 2001 Московской областиТЕРр 2001 Московской областиТЕРр 2001 Московской областиТЕРр 2001 Московской областиТЕРр 2001 Московской областиТЕРр 2001 Московской областиТЕРр 2001 Московской областиТЕРр 2001 Московской областиТЕРр 2001 Московской областиТЕРр 2001 Московской областиТЕРр 2001 Московской областиТЕРр 2001 Московской областиТЕРр 2001 Московской областиТЕРр 2001 Московской областиТЕРр 2001 Московской областиТЕРр 2001 Московской областиТЕРр 2001 Московской областиТЕРр 2001 Московской областиТЕРр 2001 Московской областиТЕРр 2001 Московской областиТЕРр 2001 Московской областиТЕРр 2001 Московской областиТЕРр 2001 Московской областиТЕРр 2001 Московской областиТЕРр 2001 Московской областиТЕРр 2001 Московской областиТЕРр 2001 Московской областиТЕРр 2001 Московской областиТЕРр 2001 Московской областиТЕРр 2001 Московской областиТЕРр 2001 Московской областиТЕРр 2001 Московской областиТЕРр 2001 Московской областиТЕРр 2001 Московской областиТЕРр 2001 Московской областиТЕРр 2001 Московской областиТЕРр 2001 Московской областиТЕРр 2001 Московской областиТЕРр 2001 Московской областиТЕРр 2001 Московской областиТЕРр 2001 Московской областиТЕРр 2001 Московской областиТЕРр 2001 Московской областиТЕРр 2001 Московской областиТЕРр 2001 Московской областиТЕРр 2001 Московской областиТЕРр 2001 Московской областиТЕРр 2001 Московской областиТЕРр 2001 Московской областиТЕРр 2001 Московской областиТЕРр 2001 Московской областиТЕРр 2001 Московской областиТЕРр 2001 Московской областиТЕРр 2001 Московской областиТЕРр 2001 Московской областиТЕРр 2001 Московской областиТЕРр 2001 Московской областиТЕРр 2001 Московской областиТЕРр 2001 Московской областиТЕРр 2001 Московской областиТЕРр 2001 Московской областиТЕРр 2001 Московской областиТЕРр 2001 Московской областиТЕРр 2001 Московской областиТЕРр 2001 Московской областиТЕРр 2001 Московской областиТЕРр 2001 Московской областиТЕРр 2001 Московской областиТЕРр 2001 Московской областиТЕРр 2001 Московской областиТЕРр 2001 Московской областиТЕРр 2001 Московской областиТЕРр 2001 Московской областиТЕРр 2001 Московской областиТЕРр 2001 Московской областиТЕРр 2001 Московской области

© 2013 Ёшкин Кот :-) Карта сайта