Информационная система
«Ёшкин Кот»

Скачать базу одним архивом
Скачать обновления
История создания базы
Карта сайта

Скачать ГОСТ Р 54510-2011 Классификация химической продукции, опасность которой обусловлена физико-химическими свойствами. Метод испытания на воспламеняемость аэрозольной пены

Дата актуализации: 10.08.2017

ГОСТ Р 54510-2011

Классификация химической продукции, опасность которой обусловлена физико-химическими свойствами. Метод испытания на воспламеняемость аэрозольной пены

Обозначение: ГОСТ Р 54510-2011
Обозначение англ: GOST R 54510-2011
Статус:действует
Название рус.:Классификация химической продукции, опасность которой обусловлена физико-химическими свойствами. Метод испытания на воспламеняемость аэрозольной пены
Название англ.:Classification of chemicals hazardous due to their physical and chemical properties. Test method for flammability of aerosol foam
Дата добавления в базу:01.09.2013
Дата актуализации:05.05.2017
Дата введения:01.01.2012
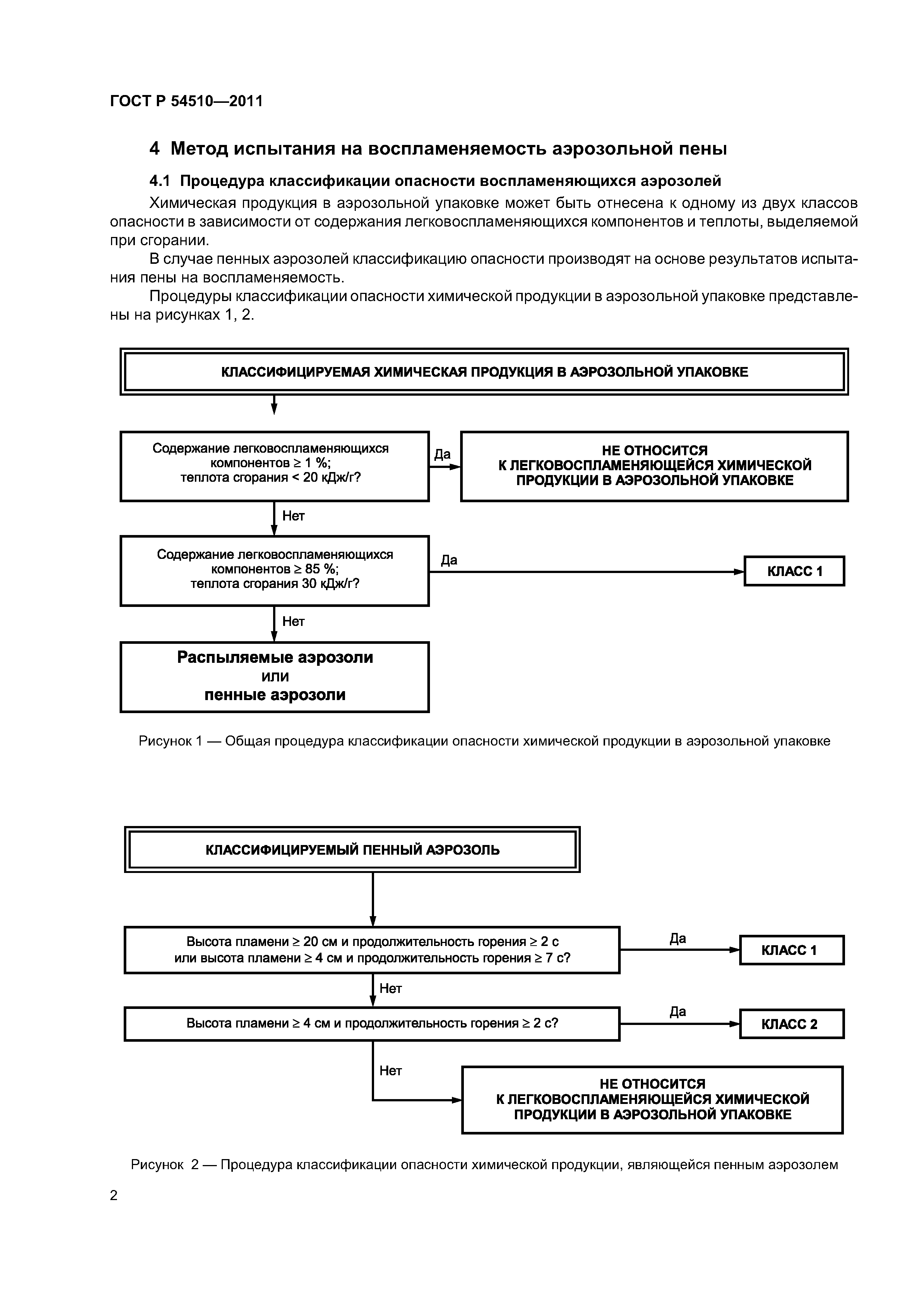
Область применения:Стандарт определяет процедуру и метод испытания на воспламеняемость аэрозоля, выходящего в виде пены, мусса, геля или пасты.
Оглавление:1 Область применения
2 Нормативные ссылки
3 Термины и определения
4 Метод испытания на воспламеняемость аэрозольной пены
Разработан: ФГУП ВНИЦ СМВ
Утверждён:23.11.2011 Федеральное агентство по техническому регулированию и метрологии (577-ст)
Издан: Стандартинформ (2012 г. )
Расположен в:Техническая документация Электроэнергия ОХРАНА ОКРУЖАЮЩЕЙ СРЕДЫ, ЗАЩИТА ЧЕЛОВЕКА ОТ ВОЗДЕЙСТВИЯ ОКРУЖАЮЩЕЙ СРЕДЫ. БЕЗОПАСНОСТЬ Безопасность профессиональной деятельности. Промышленная гигиена Экология ОХРАНА ОКРУЖАЮЩЕЙ СРЕДЫ, ЗАЩИТА ЧЕЛОВЕКА ОТ ВОЗДЕЙСТВИЯ ОКРУЖАЮЩЕЙ СРЕДЫ. БЕЗОПАСНОСТЬ Безопасность профессиональной деятельности. Промышленная гигиена Строительство Стандарты Другие государственные стандарты, применяемые в строительстве Охрана окружающей среды, защита человека от воздействия окружающей среды. Безопасность
Нормативные ссылки:
ГОСТ Р 54510-2011ГОСТ Р 54510-2011ГОСТ Р 54510-2011ГОСТ Р 54510-2011ГОСТ Р 54510-2011ГОСТ Р 54510-2011ГОСТ Р 54510-2011ГОСТ Р 54510-2011

© 2013 Ёшкин Кот :-) Карта сайта