| ||||||||||||||||||||||||||||||
 Скачать Р 609-86 Рекомендации по прогнозированию динамики теплового и механического взаимодействия трубопроводов с промерзающими и протаивающими грунтамиДата актуализации: 10.08.2017
 | 
| Обозначение: |   Р 609-86 | 
| Обозначение англ: |   R 609-86 | 
| Статус: | действует | 
| Название рус.: | Рекомендации по прогнозированию динамики теплового и механического взаимодействия трубопроводов с промерзающими и протаивающими грунтами | 
| Дата добавления в базу: | 01.09.2013 | 
| Дата актуализации: | 05.05.2017 | 
| Дата введения: | 01.05.1987 | 
| Область применения: | Рекомендации распространяются на трубопроводы, эксплуатирующийся в нестационарном установившемся режиме. Настоящие Рекомендации не позволяют рассчитывать переходные процессы, имеющие место в первые часы с момента пуска трубопроводной системы. | 
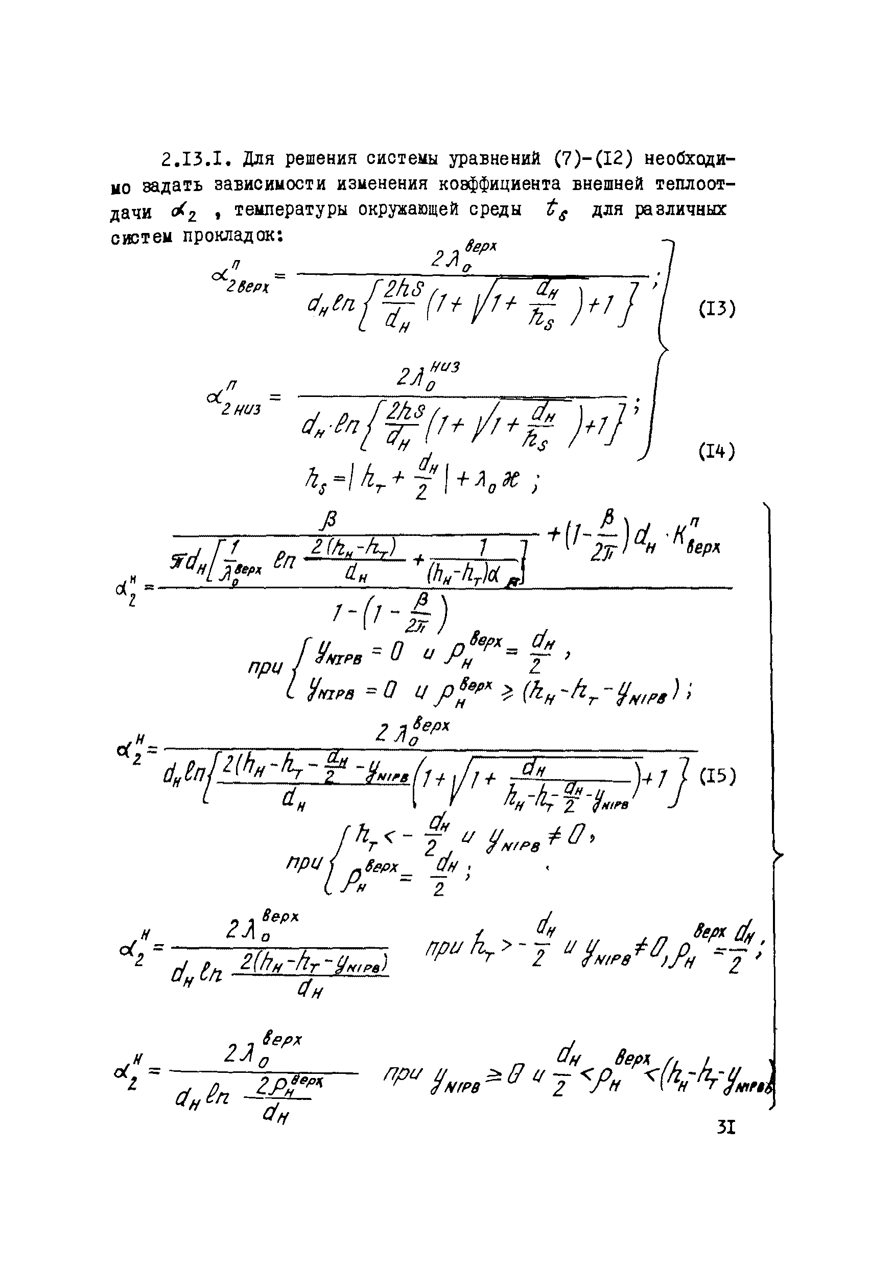
| Оглавление: | 1. Общие положения 2. Методика прогнозирования динамики теплового взаимодействия трубопровода с промерзающими и протаивающими грунтами 3. Расчет механического взаимодействия трубопроводов с пучинистыми грунтами 4. Расчет механического взаимодействия трубопроводов с оттаивающими мерзлыми грунтами 5. Реализация методики на ЭВМ 6. Контрольный пример Приложения Литература  | 
| Разработан: |  ВНИИСТ ВНИПИГАздобыча  | 
| Утверждён: | 04.12.1986 ВНИИСТ (VNIIST ) | 
| Расположен в: | |
| Нормативные ссылки: | 
  | 
























































































































