| ||||||||||||||||||||||||||||||||||
Скачать ГОСТ ISO 16140-2011 Микробиология продуктов питания и кормов для животных. Протокол валидации альтернативных методовДата актуализации: 10.08.2017
|
| Обозначение: | ГОСТ ISO 16140-2011 |
| Обозначение англ: | 16140-2011 |
| Статус: | действует |
| Название рус.: | Микробиология продуктов питания и кормов для животных. Протокол валидации альтернативных методов |
| Название англ.: | Microbiology of food and animal feeding stuffs. Protocol for the validation of alternative methods |
| Дата добавления в базу: | 01.10.2014 |
| Дата актуализации: | 05.05.2017 |
| Дата введения: | 01.01.2013 |
| Область применения: | Стандарт устанавливает основной принцип и технический протокол валидации альтернативных методов в сфере микробиологического анализа пищевых продуктов, кормов для животных, образцов окружающей среды и ветеринарных образцов для: - валидации альтернативных методов, которые можно использовать, в частности, в рамках официального контроля; - международного признания результатов, полученных альтернативным методом. |
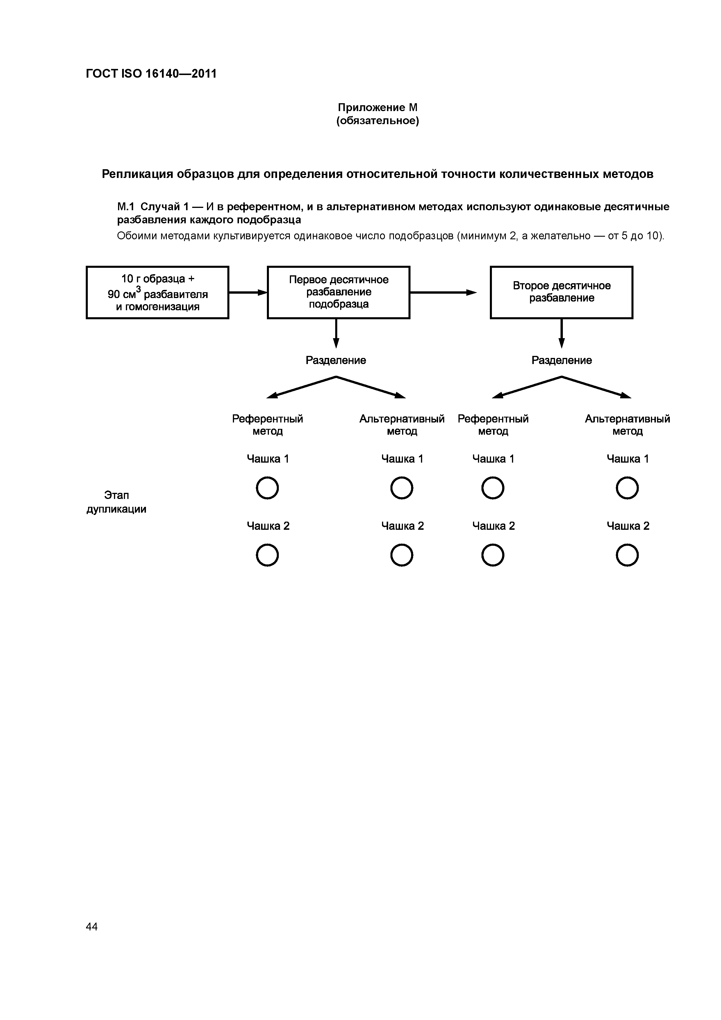
| Оглавление: | 1 Область применения 2 Нормативные ссылки 3 Термины и определения 4 Общие принципы валидации и сертификации альтернативных методов 5 Качественные методы. Технический протокол валидации 6 Количественные методы. Технический протокол валидации Приложение А (обязательное) Особые правила для признания сторонних результатов, полученных ранее при использовании прежней системы валидации Приложение В (справочное) Классификация типов образцов для исследований по валидации Приложение С (обязательное) Использование естественно контаминированных образцов и приготовление искусственно контаминированных образцов для исследований по валидации Приложение D (обязательное) дупликация образцов для определения относительной точности и относительного уровня обнаружения для качественных методов Приложение Е (обязательное) Вычисление доверительных интервалов, связанных с числом испытуемых образцов Приложение F (обязательное) Критерий, используемый для анализа несогласующихся результатов Приложение G (обязательное) Аспекты, подлежащие учету при выборе штаммов для испытания избирательности Приложение Н (обязательное) Рекомендации по организации и проведению совместных исследований Приложение I (обязательное) Определение отсутствия целевого аналита в отрицательных контрольных образцах Приложение J (обязательное) Репликация образцов для межлабораторных исследований качественных методов Приложение К (обязательное) Учет и обсуждение данных Приложение L (справочное) Межлабораторное исследование качественных методов: критерии согласованности, соответствия и коэффициент расхождения между согласованностью и соответствием Приложение М (обязательное) Репликация образцов для определения относительной точности количественных методов Приложение N (обязательное) Примеры приемлемых и неприемлемых ситуаций и диапазон измерений для оценки линии регрессии для количественных методов Приложение О (обязательное) Оценка линейности количественных методов при помощи графического представления Приложение Р (обязательное) Предел обнаружения и предел количественного определения числа микроорганизмов Приложение Q (обязательное) Устойчивая оценка дисперсии, основанная на рекурсивной медиане Sn,[1] Приложение T (обязательное) Вычисления с помощью метода регрессии Приложение U (обязательное) Примеры вычислений для количественных методов Приложение Т (обязательное) Совместное исследование - результаты круговых испытаний на дупликатах Приложение U (справочное) Список обозначений и сокращений Приложение ДА (справочное) Сведения о соответствии межгосударственных стандартов ссылочным международным стандартам и документу Библиография |
| Разработан: | ГНУ ВНИИМП им. В.М. Горбатова Россельхозакадемии |
| Утверждён: | 29.11.2011 Межгосударственный Совет по стандартизации, метрологии и сертификации (Inter-Governmental Council on Standardization, Metrology, and Certification 40) 13.12.2011 Федеральное агентство по техническому регулированию и метрологии (1474-ст) |
| Издан: | Стандартинформ (2013 г. ) |
| Расположен в: | |
| Нормативные ссылки: |
































































