| ||||||||||||||||||||||||||||||||||
Скачать ГОСТ Р ИСО/ТС 10303-1025-2011 Системы автоматизации производства и их интеграция. Представление данных об изделии и обмен этими данными. Часть 1025. Прикладной модуль. Идентификация альтернативных именДата актуализации: 10.08.2017
|
| Обозначение: | ГОСТ Р ИСО/ТС 10303-1025-2011 |
| Обозначение англ: | GOST R ISO/TS 10303-1025-2011 |
| Статус: | действует |
| Название рус.: | Системы автоматизации производства и их интеграция. Представление данных об изделии и обмен этими данными. Часть 1025. Прикладной модуль. Идентификация альтернативных имен |
| Название англ.: | Industrial automation systems and integration. Product data representation and exchange. Part 1025. Application module. Alias identification |
| Дата добавления в базу: | 01.09.2013 |
| Дата актуализации: | 05.05.2017 |
| Дата введения: | 01.08.2012 |
| Область применения: | Стандарт определяет прикладной модуль «Идентификация альтернативных имен». Требования стандарта распространяются на: - назначение идентификатора альтернативного имени данным об изделии или действии; - объекты, относящиеся к области применения прикладного модуля «Назначение идентифицирующего кода», установленного в ИСО/ТС 10303-1021. |
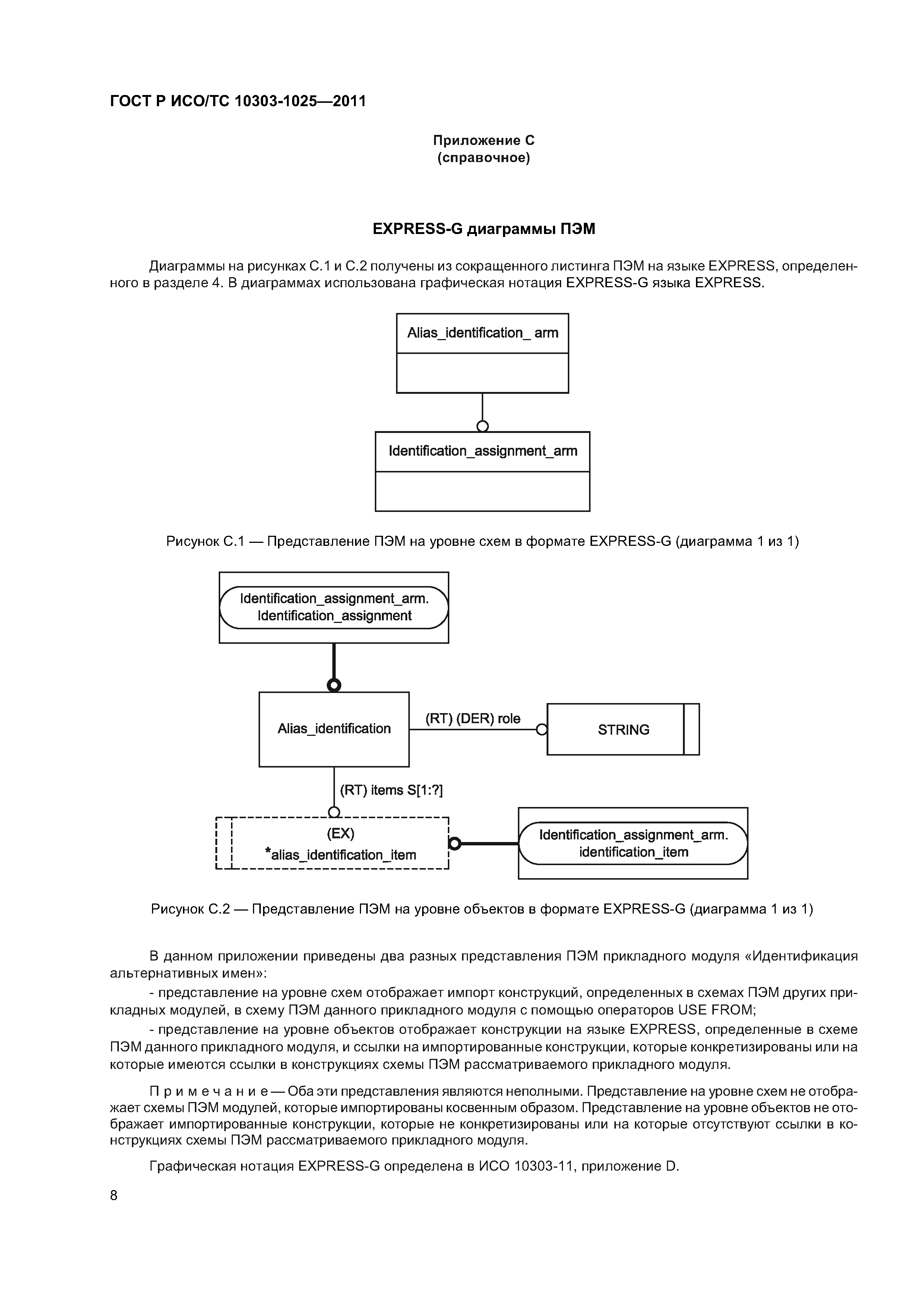
| Оглавление: | 1 Область применения 2 Нормативные ссылки 3 Термины 3.1 Термины, определенные в ИСО 10303-1 3.2 Термин, определенный в ИСО 10303-202 3.3 Термины, определенные в ИСО/ТС 10303-1 001 3.4 Термин, определенный в ИСО/ТС 10303-1017 4 Информационные требования 4.1 Необходимые ПЭМ прикладных модулей 4.2 Определение типа данных ПЭМ 4.2.1 Тип данных alias_identification_item 4.3 Определение объекта ПЭМ 4.3.1 Объект Alias_identification 5 Интерпретированная модель модуля 5.1 Спецификация отображения 5.1.1 Объект Alias_identification 5.2 Сокращенный листинг ИММ на языке ЕХРRESS 5.2.1 Определение типа данных ИММ Приложение А (обязательное) Сокращенные наименования объектов ИММ Приложение В (обязательное) Регистрация информационных объектов Приложение С (справочное) ЕХРRESS-G диаграммы ПЭМ Приложение D (справочное) ЕХРRESS-G диаграммы ИММ Приложение Е (справочное) Машинно-интерпретируемые листинги Приложение ДА (справочное) Сведения о соответствии ссылочных международных стандартов и документов ссылочным национальным стандартам Российской Федерации Библиография |
| Разработан: | ГНУ ЦНИ и опытно-конструкторский институт робототехники и технической кибернетики |
| Утверждён: | 25.10.2011 Федеральное агентство по техническому регулированию и метрологии (485-ст) |
| Издан: | Стандартинформ (2012 г. ) |
| Расположен в: | |
| Нормативные ссылки: |
|















