Информационная система
«Ёшкин Кот»

Скачать базу одним архивом
Скачать обновления
История создания базы
Карта сайта

Скачать Типовой проект 901-6-81.86 Альбом VI. Ведомости потребности в материалах

Дата актуализации: 10.08.2017

Типовой проект 901-6-81.86

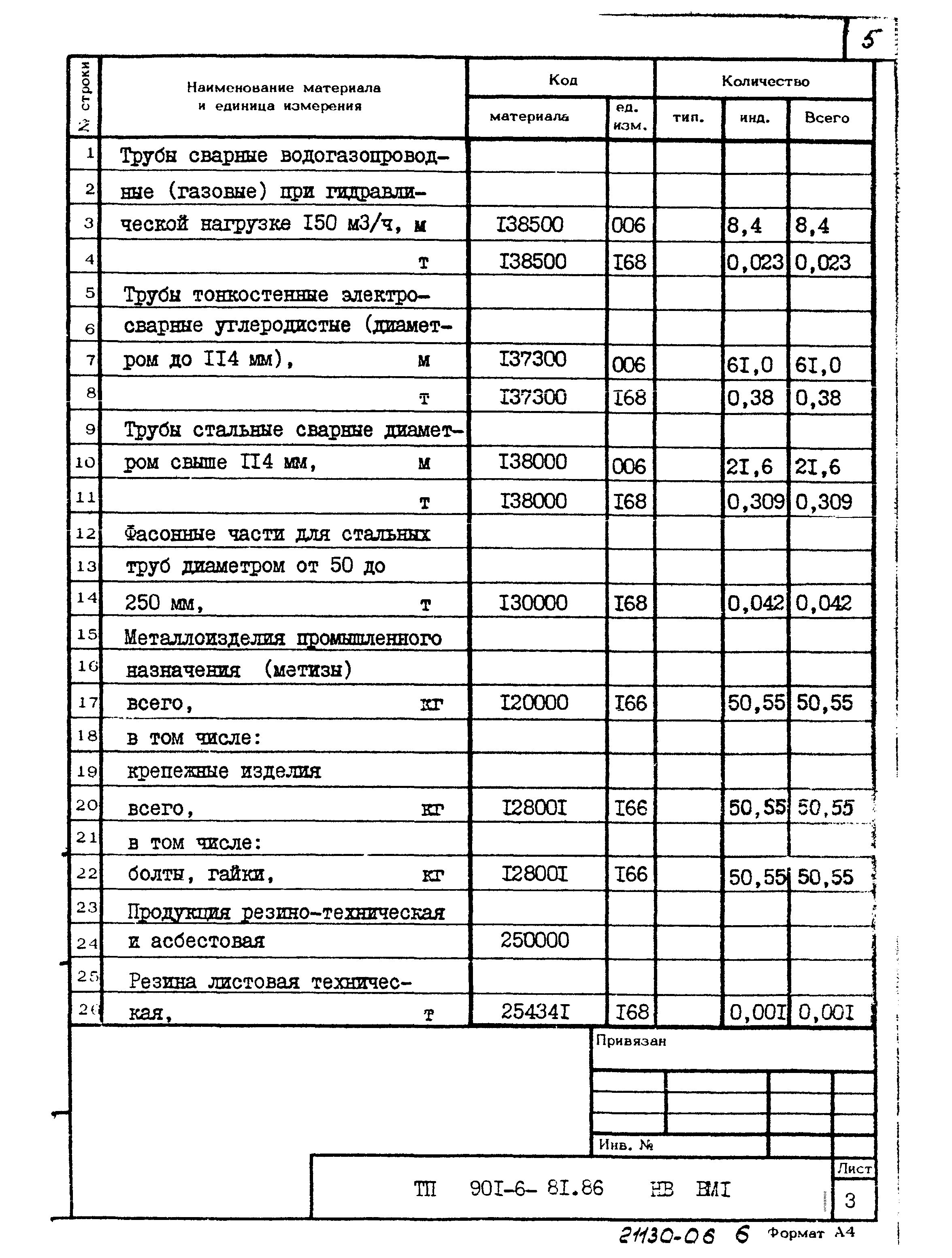
Альбом VI. Ведомости потребности в материалах

Обозначение: Типовой проект 901-6-81.86
Обозначение англ: 901-6-81.86
Статус:действует
Название рус.:Альбом VI. Ведомости потребности в материалах
Дата добавления в базу:01.09.2013
Дата актуализации:05.05.2017
Оглавление:НВ.ВМ Ведомость материалов по рабочим чертежам основного комплекта марки НВ
КЖ.ВМ Ведомость материалов по рабочим чертежам основного комплекта марки КЖ
ЭЛ.ВМ Ведомость материалов по рабочим чертежам основного комплекта марки ЭЛ
Разработан: Союзводоканалпроект
Утверждён:03.12.1984 Госстрой СССР (Государственный комитет Совета Министров СССР по делам строительства) (USSR Gosstroy 37)
Расположен в:Техническая документация Строительство Справочные документы Типовые строительные конструкции, изделия и узлы Общероссийский строительный каталог Промышленные предприятия, здания и сооружения Здания и сооружения санитарно-технические Водоснабжение Градирни
Типовой проект 901-6-81.86Типовой проект 901-6-81.86Типовой проект 901-6-81.86Типовой проект 901-6-81.86Типовой проект 901-6-81.86Типовой проект 901-6-81.86Типовой проект 901-6-81.86Типовой проект 901-6-81.86Типовой проект 901-6-81.86Типовой проект 901-6-81.86Типовой проект 901-6-81.86Типовой проект 901-6-81.86Типовой проект 901-6-81.86Типовой проект 901-6-81.86Типовой проект 901-6-81.86Типовой проект 901-6-81.86Типовой проект 901-6-81.86Типовой проект 901-6-81.86Типовой проект 901-6-81.86Типовой проект 901-6-81.86Типовой проект 901-6-81.86

© 2013 Ёшкин Кот :-) Карта сайта