Информационная система
«Ёшкин Кот»

Скачать базу одним архивом
Скачать обновления
История создания базы
Карта сайта

Скачать Типовой проект 816-1-74.86 Альбом 6. Ведомости потребности в материалах

Дата актуализации: 10.08.2017

Типовой проект 816-1-74.86

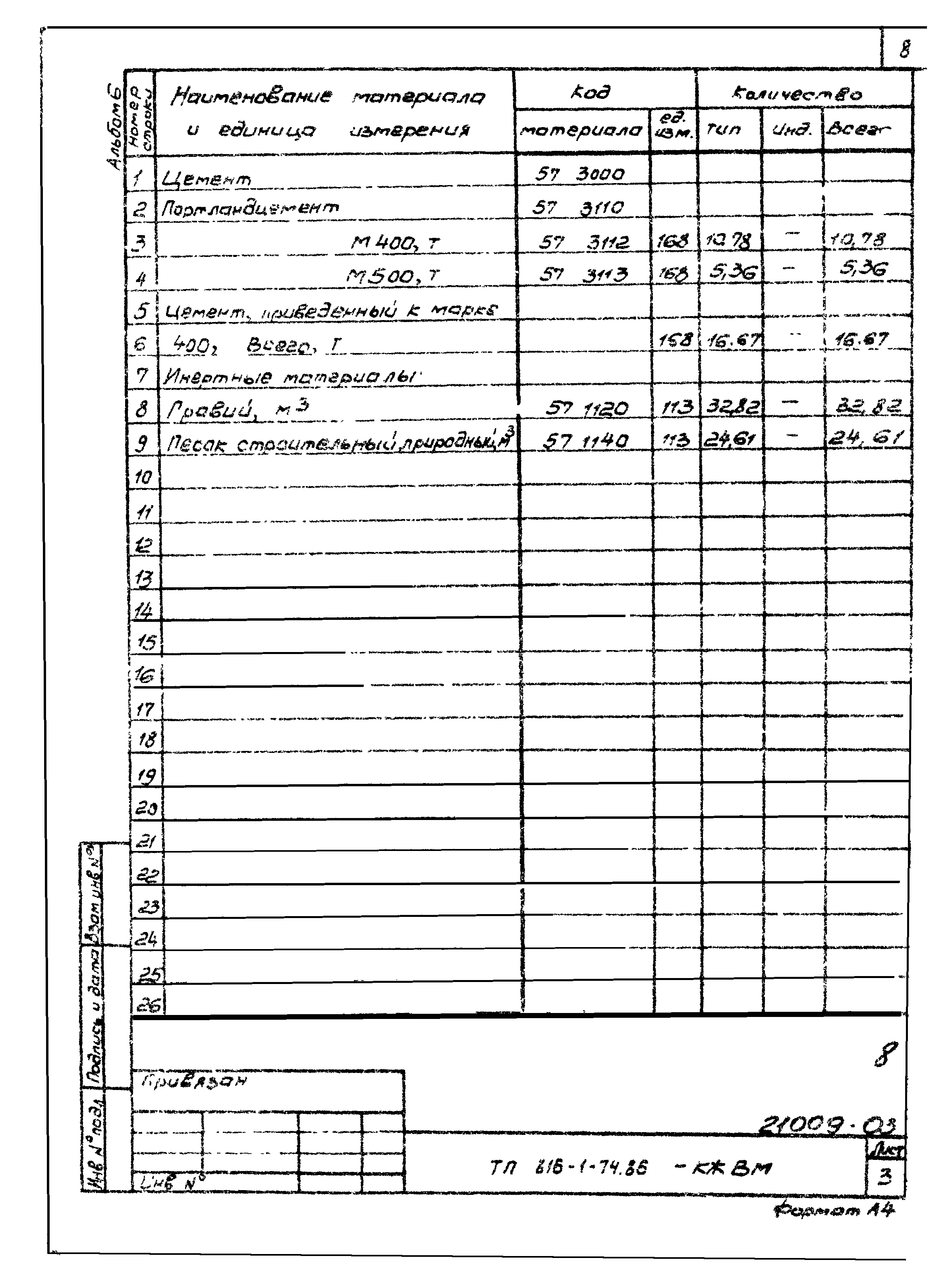
Альбом 6. Ведомости потребности в материалах

Обозначение: Типовой проект 816-1-74.86
Обозначение англ: 816-1-74.86
Статус:не определен законодательством
Название рус.:Альбом 6. Ведомости потребности в материалах
Дата добавления в базу:01.09.2013
Дата актуализации:05.05.2017
Дата введения:14.01.1986
Оглавление:АР.ВМ Ведомость материалов по рабочим чертежам основного комплекта марки АР
КЖ.ВМ Ведомость материалов по рабочим чертежам основного комплекта марки КЖ
ВК.ВМ Ведомость материалов по рабочим чертежам основного комплекта марки ВК
ОВ.ВМ Ведомость материалов по рабочим чертежам основного комплекта марки ОВ
ЭМ.ВМ Ведомость материалов по рабочим чертежам основного комплекта марки ЭМ
АОВ.ВМ Ведомость материалов по рабочим чертежам основного комплекта марки АОВ
СС.ВМ Ведомость материалов по рабочим чертежам основного комплекта марки СС
Разработан: ЦИТЭПсельхозпрома
Утверждён:11.09.1985 Минсельхоз СССР (USSR Minselkhoz 62-ЭГ)
Расположен в:Техническая документация Строительство Справочные документы Типовые строительные конструкции, изделия и узлы Общероссийский строительный каталог Сельскохозяйственные предприятия, здания и сооружения Предприятия, здания и сооружения по ремонту, техническому обслуживанию, хранению и обеспечению горюче-смазочными материалами сельхозтехники Гаражи, профилактории, стоянки
Типовой проект 816-1-74.86Типовой проект 816-1-74.86Типовой проект 816-1-74.86Типовой проект 816-1-74.86Типовой проект 816-1-74.86Типовой проект 816-1-74.86Типовой проект 816-1-74.86Типовой проект 816-1-74.86Типовой проект 816-1-74.86Типовой проект 816-1-74.86Типовой проект 816-1-74.86Типовой проект 816-1-74.86Типовой проект 816-1-74.86Типовой проект 816-1-74.86Типовой проект 816-1-74.86Типовой проект 816-1-74.86Типовой проект 816-1-74.86Типовой проект 816-1-74.86Типовой проект 816-1-74.86Типовой проект 816-1-74.86

© 2013 Ёшкин Кот :-) Карта сайта