Информационная система
«Ёшкин Кот»

Скачать базу одним архивом
Скачать обновления
История создания базы
Карта сайта

Скачать ГОСТ Р ИСО 31000-2010 Менеджмент риска. Принципы и руководство

Дата актуализации: 10.08.2017

ГОСТ Р ИСО 31000-2010

Менеджмент риска. Принципы и руководство

Обозначение: ГОСТ Р ИСО 31000-2010
Обозначение англ: GOST R ISO 31000-2010
Статус:введен впервые
Название рус.:Менеджмент риска. Принципы и руководство
Название англ.:Risk management. Principles and guidelines
Дата добавления в базу:01.09.2013
Дата актуализации:05.05.2017
Дата введения:01.09.2011
Область применения:Стандарт устанавливает принципы и общее руководство по риск-менеджменту. Стандарт может использовать любое государственное, частное или общественное предприятие, ассоциация, группа лиц или отдельное лицо. Этот стандарт не является специфическим для какой-либо промышленности или отрасли.
Оглавление:1 Область применения
2 Термины и определения
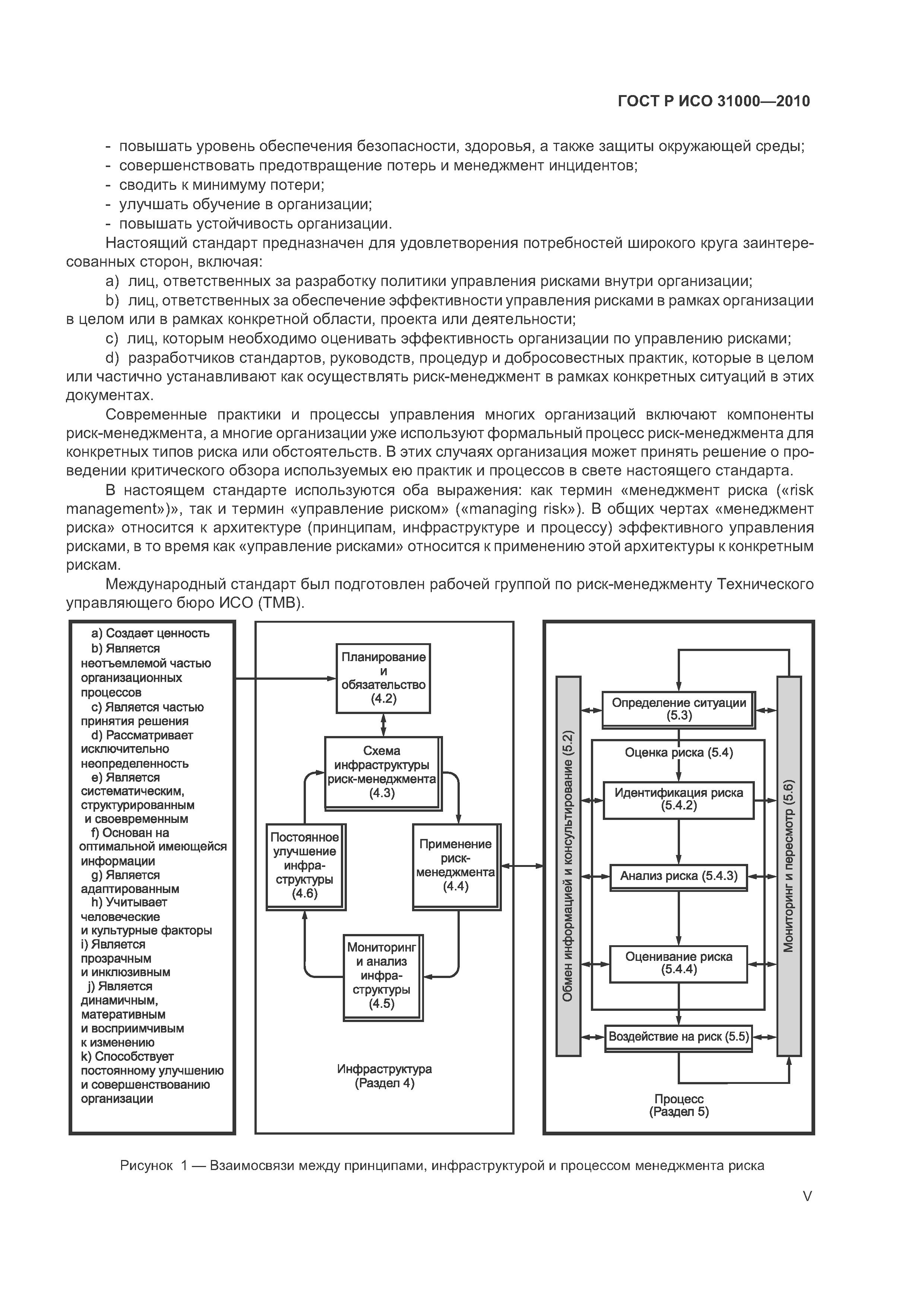
3 Принципы
4 Инфраструктура
   4.1 Общие положения
   4.2 Полномочия и обязательства
   4.3 Разработка инфраструктуры менеджмента риска
   4.4 Внедрение менеджмента риска
   4.5 Мониторинг и пересмотр инфраструктуры менеджмента риска
   4.6 Постоянное улучшение инфраструктуры
5 Процесс
   5.1 Общие положения
   5.2 Обмен информацией и консультирование
   5.3 Определение ситуации
   5.4 Оценка риска
   5.5 Воздействие на риск
   5.6 Мониторинг и пересмотр
   5.7 Регистрация процесса менеджмента риска
Приложение А (справочное) Признаки улучшенного менеджмента риска
Библиография
Разработан: НТЦ ИНТЕК
Утверждён:21.12.2010 Федеральное агентство по техническому регулированию и метрологии (883-ст)
Издан: Стандартинформ (2012 г. )
Расположен в:Техническая документация Электроэнергия СОЦИОЛОГИЯ. УСЛУГИ. ОРГАНИЗАЦИЯ ФИРМ И УПРАВЛЕНИЕ ИМИ. АДМИНИСТРАЦИЯ. ТРАНСПОРТ Организация фирм и управление ими Организация фирм и управление ими в целом Экология СОЦИОЛОГИЯ. УСЛУГИ. ОРГАНИЗАЦИЯ ФИРМ И УПРАВЛЕНИЕ ИМИ. АДМИНИСТРАЦИЯ. ТРАНСПОРТ Организация фирм и управление ими Организация фирм и управление ими в целом Строительство Стандарты Другие государственные стандарты, применяемые в строительстве Социология. Услуги. Организация фирм и управление ими. Администрация. Транспорт
Нормативные ссылки:
ГОСТ Р ИСО 31000-2010ГОСТ Р ИСО 31000-2010ГОСТ Р ИСО 31000-2010ГОСТ Р ИСО 31000-2010ГОСТ Р ИСО 31000-2010ГОСТ Р ИСО 31000-2010ГОСТ Р ИСО 31000-2010ГОСТ Р ИСО 31000-2010ГОСТ Р ИСО 31000-2010ГОСТ Р ИСО 31000-2010ГОСТ Р ИСО 31000-2010ГОСТ Р ИСО 31000-2010ГОСТ Р ИСО 31000-2010ГОСТ Р ИСО 31000-2010ГОСТ Р ИСО 31000-2010ГОСТ Р ИСО 31000-2010ГОСТ Р ИСО 31000-2010ГОСТ Р ИСО 31000-2010ГОСТ Р ИСО 31000-2010ГОСТ Р ИСО 31000-2010ГОСТ Р ИСО 31000-2010ГОСТ Р ИСО 31000-2010ГОСТ Р ИСО 31000-2010ГОСТ Р ИСО 31000-2010ГОСТ Р ИСО 31000-2010ГОСТ Р ИСО 31000-2010

© 2013 Ёшкин Кот :-) Карта сайта