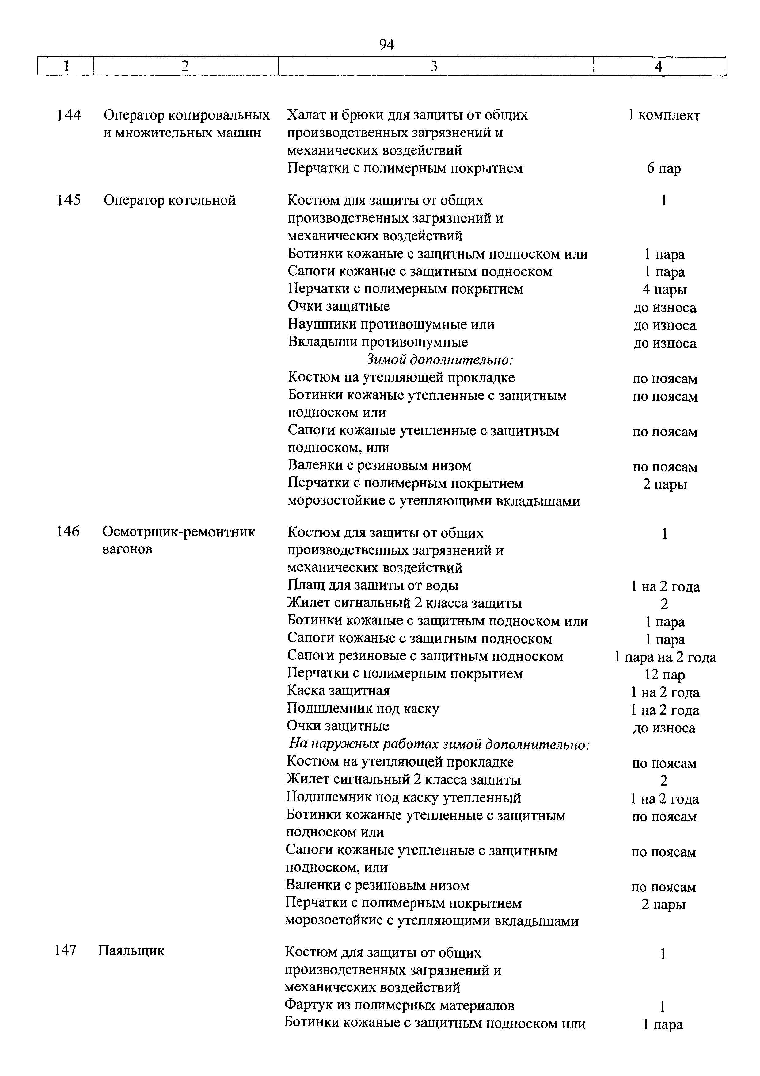
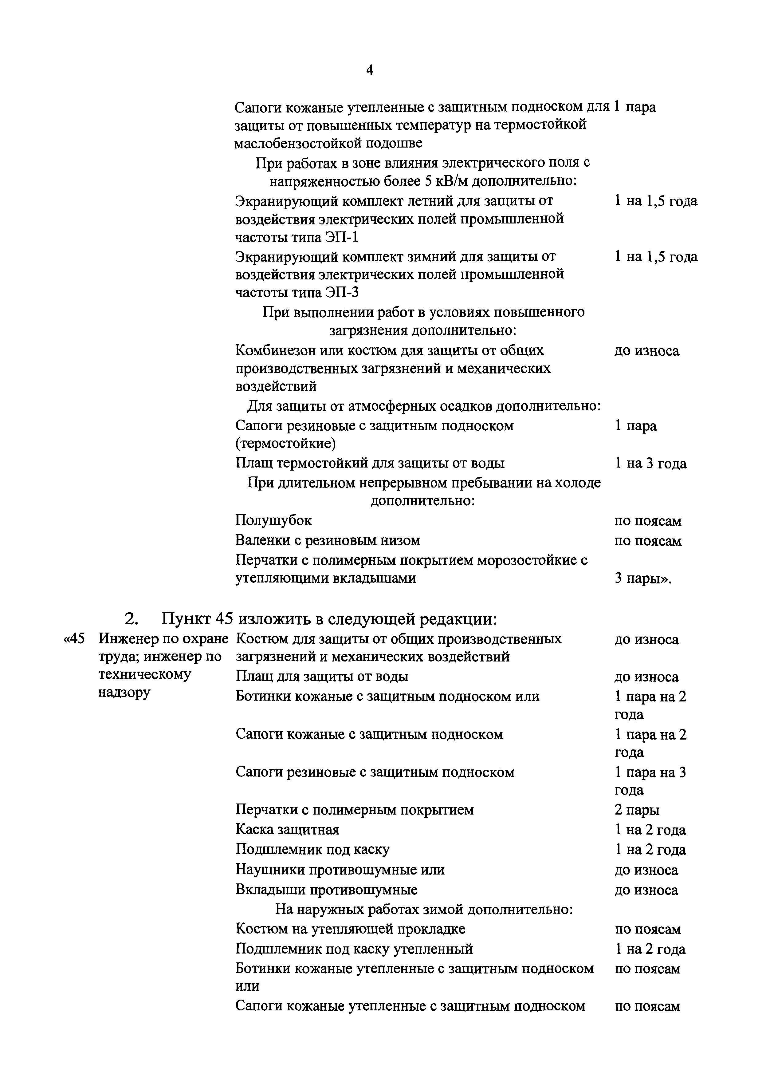
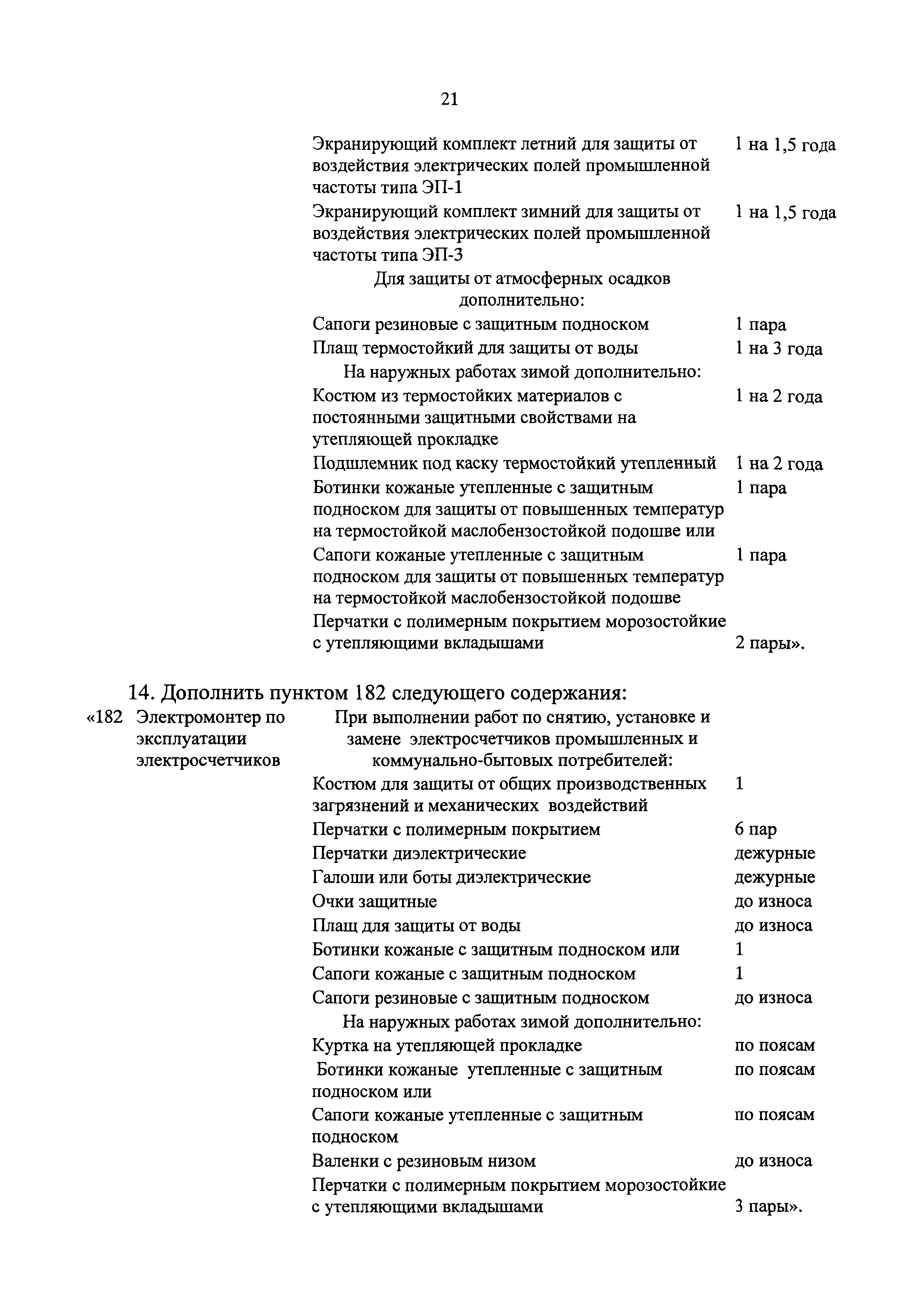
| ||||||||||||||||||||||
Скачать Типовые нормы бесплатной выдачи специальной одежды, специальной обуви и других средств индивидуальной защиты работникам организаций электроэнергетической промышленности, занятым на работах с вредными и (или) опасными условиями труда, а также на работах, выполняемых в особых температурных условиях или связанных с загрязнениемДата актуализации: 10.08.2017 |
| Статус: | действует |
| Название рус.: | Типовые нормы бесплатной выдачи специальной одежды, специальной обуви и других средств индивидуальной защиты работникам организаций электроэнергетической промышленности, занятым на работах с вредными и (или) опасными условиями труда, а также на работах, выполняемых в особых температурных условиях или связанных с загрязнением |
| Дата добавления в базу: | 01.09.2013 |
| Дата актуализации: | 05.05.2017 |
| Оглавление: | 1. Тепловые электростанции (паротурбинные, дизельные, локомобильные и другие) 2. Серогазоулавливающие установки на тепловых электростанциях 3. Гидроэлектростанции 4. Предприятия электрических сетей 5. Предприятия тепловых сетей 6. Общие профессии Примечания |
| Утверждён: | 25.04.2011 Минздравсоцразвития России (340н) |
| Расположен в: | |
| Список изменений: |
|
| Нормативные ссылки: |
























































































































Текстовое изменение № 1 от 06.06.2014






















