Информационная система
«Ёшкин Кот»

Скачать базу одним архивом
Скачать обновления
История создания базы
Карта сайта

Скачать ККТ 10-0.1 Карты трудовых процессов строительного производства. Монтаж наружных сетей канализации

Дата актуализации: 10.08.2017

ККТ 10-0.1

Карты трудовых процессов строительного производства. Монтаж наружных сетей канализации

Обозначение: ККТ 10-0.1
Обозначение англ: 10-0.1
Статус:не установлен срок действия
Название рус.:Карты трудовых процессов строительного производства. Монтаж наружных сетей канализации
Дата добавления в базу:01.09.2013
Дата актуализации:05.05.2017
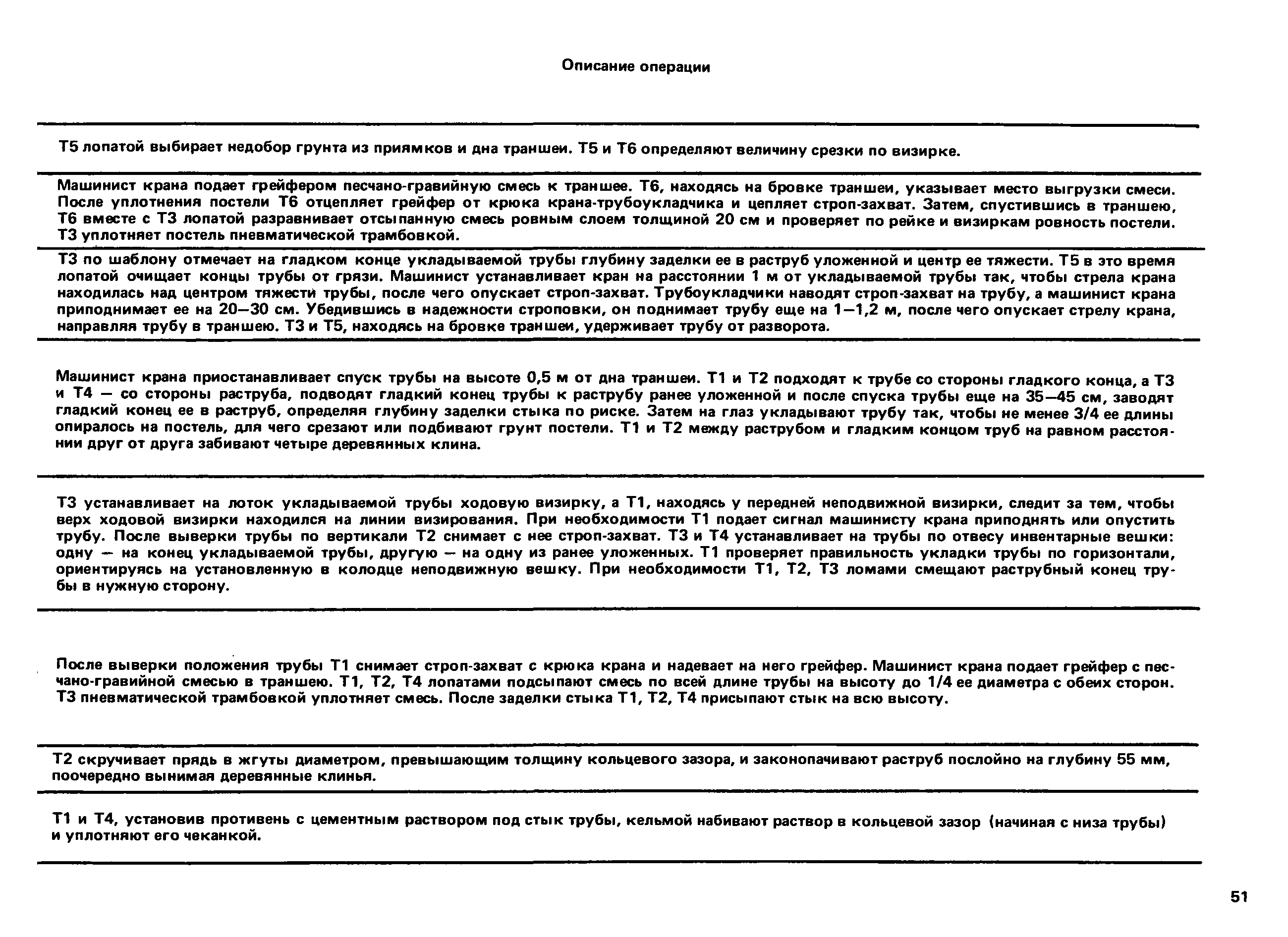
Область применения:Карты трудовых процессов строительного производства являются основным документом, регламентирующим создание на стройках необходимых исходных условий улучшения организации труда рабочих на научной основе.
Оглавление:Рытье траншей одноковшовым экскаватором, оснащенным обратной лопатой (КТ-2.1-11.1-85)
Устройство типовых сборных железобетонных колодцев диаметром 1500 мм (КТ-10.0-27.3-85)
Монтаж сборного железобетонного колодца диаметром 1000 мм (КТ-10.0-27.4-85)
Монтаж сборного железобетонного колодца диаметром 1500 мм (КТ-10.0-27.5-85)
Устройство бетонной подготовки и железобетонного основания под безнапорные трубы диаметром 2000 мм (КТ-10.0-30.7-85)
Укладка безнапорных трубопроводов из железобетонных фальцевых труб диаметром 2000 мм (КТ-10.0-5.9-85)
Подбивка бетонной смесью железобетонных труб диаметром 2000 мм (КТ-10.0-5.10-85)
Укладка трубопроводов из гладких железобетонных труб диаметром 250 мм (КТ-5.2-85)
Укладка трубопроводов из гладких железобетонных труб диаметром 400 мм (КТ-10.0-5.3-85)
Укладка трубопроводов из железобетонных фальцевых труб диаметром 400 мм (КТ-10.0-5.8-85)
Укладка трубопроводов из чугунных раструбных труб диаметром 400 мм (КТ-10.0-2.4-85)
Укладка трубопроводов из железобетонных раструбных труб диаметром 700 мм (КТ-10.0-5.4-85)
Укладка трубопроводов из железобетонных раструбных труб диаметром 1000 мм (КТ-10.0-5.5-85)
Устройство типовых сборных железобетонных колодцев диаметром 1000 мм (КТ-10.27.1-85)
Устройство типовых сборных железобетонных колодцев диаметром 1250 мм (КТ-10.0-27.2-85)
Разработан: Трест Леноргинжстрой
Ленинградоргстрой Главленинградстроя
Оргтехстрой Главмурманскстроя
Издан: Стройиздат (1985 г. )
Расположен в:Техническая документация Экология СТРОИТЕЛЬНЫЕ МАТЕРИАЛЫ И СТРОИТЕЛЬСТВО Технология строительства Технология строительства, прочие аспекты
Нормативные ссылки:
ККТ 10-0.1ККТ 10-0.1ККТ 10-0.1ККТ 10-0.1ККТ 10-0.1ККТ 10-0.1ККТ 10-0.1ККТ 10-0.1ККТ 10-0.1ККТ 10-0.1ККТ 10-0.1ККТ 10-0.1ККТ 10-0.1ККТ 10-0.1ККТ 10-0.1ККТ 10-0.1ККТ 10-0.1ККТ 10-0.1ККТ 10-0.1ККТ 10-0.1ККТ 10-0.1ККТ 10-0.1ККТ 10-0.1ККТ 10-0.1ККТ 10-0.1ККТ 10-0.1ККТ 10-0.1ККТ 10-0.1ККТ 10-0.1ККТ 10-0.1ККТ 10-0.1ККТ 10-0.1ККТ 10-0.1ККТ 10-0.1ККТ 10-0.1ККТ 10-0.1ККТ 10-0.1ККТ 10-0.1ККТ 10-0.1ККТ 10-0.1ККТ 10-0.1ККТ 10-0.1ККТ 10-0.1ККТ 10-0.1ККТ 10-0.1ККТ 10-0.1ККТ 10-0.1ККТ 10-0.1ККТ 10-0.1ККТ 10-0.1ККТ 10-0.1ККТ 10-0.1ККТ 10-0.1ККТ 10-0.1ККТ 10-0.1ККТ 10-0.1ККТ 10-0.1ККТ 10-0.1ККТ 10-0.1ККТ 10-0.1ККТ 10-0.1ККТ 10-0.1ККТ 10-0.1ККТ 10-0.1

© 2013 Ёшкин Кот :-) Карта сайта